Микроволновые печи Electrolux EMS26204OX - инструкция пользователя по применению, эксплуатации и установке на русском языке. Мы надеемся, она поможет вам решить возникшие у вас вопросы при эксплуатации техники.
Если остались вопросы, задайте их в комментариях после инструкции.
"Загружаем инструкцию", означает, что нужно подождать пока файл загрузится и можно будет его читать онлайн. Некоторые инструкции очень большие и время их появления зависит от вашей скорости интернета.

53
POLSKI
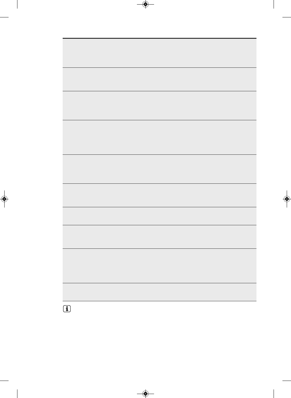
Gotowanie,
grillowanie
i
przyrumie-
nianie
Ilość
-g-
Usta-
wienie
Ustaw-
ienie
mocy
Czas
-min-
Metoda
Czas
pozosta-
wienia
-min-
Brokuły/
Groszek
500 Mikrofale
900 W
6-8
dodać 4–5 łyżek
stołowych wody,
przykryć, wymieszać w
połowie gotowania
-
Marchewka
500 Mikrofale
900 W
9-11 pokroić w plasterki,
dodać 4–5 łyżek
stołowych wody,
przykryć, wymieszać w
połowie gotowania
-
pieczeń
(wieprzowin
a, cielęcina,
jagnięcina)
1000 Mikrofale
podwójne-
grillowanie
Mikrofale
podwójne-
grillowanie
450 W
450 W
450 W
450 W
16-18
5-7
1)
14-16
4-6
doprawić do smaku,
umieścić na niskim
ruszcie, odwrócić po
1)
10
pieczeń
wołowa
(średnia)
1000 Mikrofale
podwójne-
grillowanie
podwójne-
grillowanie
630 W
630 W
630 W
5-8
8-10
1)
3-5
doprawić do smaku,
umieścić na niskim
ruszcie, odwrócić po
1)
10
Udka kurze
200 podwójne-
grillowanie
Grill
450 W
6-7
1)
4-6
doprawić do smaku,
umieścić skórą w dół na
wysokim ruszcie,
odwrócić po
1)
3
rumsztyki
2 kawałki,
średnie
400
Grill
Grill
11-12
1)
6-8
umieścić na wysokim
ruszcie, odwrócić po
1)
,
doprawić po grillowaniu
przyrumieni
anie w
naczyniu do
zapiekania
Grill
8-13 umieścić naczynie na
niskim ruszcie
Tosty
z serem
1 piece Mikrofale
Grill
450 W
½
5-6
pokroić chleb i
posmarować masłem,
położyć plasterek
gotowanej szynki,
plasterek ananasa i
plasterek sera
Mrożona
pizza
400 Mikrofale
podwójne-
grillowanie
450 W
450 W
6-7
6-7
umieścić na niskim
ruszcie
czasy podane w tabeli są przykładowe i mogą się różnić w zależności od
temperatury zamrożenia, jakości i wagi potraw.
2_Electrolux_Polish_MG_BASE_AJ26_Layout 1 13/07/2015 12:57 Page 53
Содержание
- 3 ИНСТРУКцИИ ПО БЕЗОПАСНОСТИ
- 7 Это оборудование не предназначено для; Предостережение о
- 9 Меры по обеспечению
- 10 СхЕМА УСТРОЙСТВА; АКСЕССУАРЫ
- 11 ПАНЕЛЬ УПРАВЛЕНИя; ЭКОНОМИЧНЫЙ
- 14 ИСПОЛЬЗОВАНИЕ СВЧ-ПЕЧИ
- 15 УРОВНИ МОЩНОСТИ СВЧ-ИЗЛУЧЕНИя; ПРИгОТОВЛЕНИЕ ПИЩИ В МИКРОВОЛНОВОЙ ПЕЧИ
- 16 Прямой запуск
- 17 Приготовление пищи только
- 19 ТАБЛИцЫ ПРОгРАММ
- 21 РЕцЕПТЫ ДЛя АВТОМАТИЧЕСКОгО ПРИгОТОВЛЕНИя
- 26 УхОД И ОЧИСТКА
- 28 УСТАНОВКА; УСТАНОВКА ОБОРУДОВАНИя
- 29 ПОДКЛюЧЕНИЕ УСТРОЙСТВА
Характеристики
Остались вопросы?Не нашли свой ответ в руководстве или возникли другие проблемы? Задайте свой вопрос в форме ниже с подробным описанием вашей ситуации, чтобы другие люди и специалисты смогли дать на него ответ. Если вы знаете как решить проблему другого человека, пожалуйста, подскажите ему :)