Микроволновые печи Electrolux EMS26204OX - инструкция пользователя по применению, эксплуатации и установке на русском языке. Мы надеемся, она поможет вам решить возникшие у вас вопросы при эксплуатации техники.
Если остались вопросы, задайте их в комментариях после инструкции.
"Загружаем инструкцию", означает, что нужно подождать пока файл загрузится и можно будет его читать онлайн. Некоторые инструкции очень большие и время их появления зависит от вашей скорости интернета.

25
PYCCKИЙ
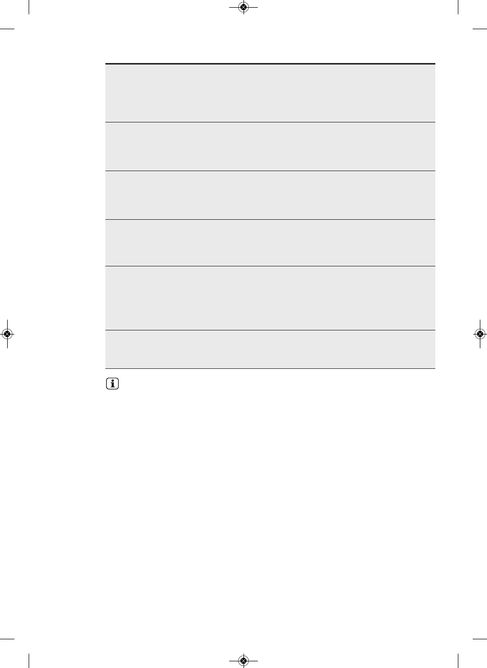
Приготов
ление,
поджарив
ание и
подрумян
ивание
Количе
-ство
-г-
Настр-
ойка
Уровень
мощнос
ти
Время
-мин-
Метод
Время
настаив
ания
-мин-
Куриные
ножки
200
Двойно-
й гриль
гриль
450 Вт
6-7
1)
4-6
добавьте приправы по
вкусу, положите на
верхнюю решетку
кожицей вниз,
переверните через
1)
3
Ромштекс
2 куска,
средний
400
гриль
гриль
11-12
1)
6-8
положите на верхнюю
решетку, переверните
через
1)
, добавьте
приправы после
поджаривания
Подрумя-
нивание
блюд в
форме для
запекания
гриль
8-13 поставьте блюдо на
нижнюю решетку
Жареный
сыр
1 кусок
СВЧ-
излучение
гриль
450 Вт
½
5-6
поджарьте хлеб,
намажьте его
сливочным маслом,
положите сверху
приготовленную
ветчину, дольку
ананаса и ломтик сыра
Заморожен
ная пицца
400
СВЧ-
излучение
Двойно-
йгриль
450 Вт
450 Вт
6-7
6-7
поставьте блюдо на
нижнюю решетку
Значения времени, приведенные в таблице, даются для примера. Они могут
варьироваться в зависимости от температуры замерзания, качества и веса продуктов.
1_Electrolux_Russian_MG_BASE_AJ26_Layout 1 15/07/2015 07:18 Page 25
Содержание
- 3 ИНСТРУКцИИ ПО БЕЗОПАСНОСТИ
- 7 Это оборудование не предназначено для; Предостережение о
- 9 Меры по обеспечению
- 10 СхЕМА УСТРОЙСТВА; АКСЕССУАРЫ
- 11 ПАНЕЛЬ УПРАВЛЕНИя; ЭКОНОМИЧНЫЙ
- 14 ИСПОЛЬЗОВАНИЕ СВЧ-ПЕЧИ
- 15 УРОВНИ МОЩНОСТИ СВЧ-ИЗЛУЧЕНИя; ПРИгОТОВЛЕНИЕ ПИЩИ В МИКРОВОЛНОВОЙ ПЕЧИ
- 16 Прямой запуск
- 17 Приготовление пищи только
- 19 ТАБЛИцЫ ПРОгРАММ
- 21 РЕцЕПТЫ ДЛя АВТОМАТИЧЕСКОгО ПРИгОТОВЛЕНИя
- 26 УхОД И ОЧИСТКА
- 28 УСТАНОВКА; УСТАНОВКА ОБОРУДОВАНИя
- 29 ПОДКЛюЧЕНИЕ УСТРОЙСТВА
Характеристики
Остались вопросы?Не нашли свой ответ в руководстве или возникли другие проблемы? Задайте свой вопрос в форме ниже с подробным описанием вашей ситуации, чтобы другие люди и специалисты смогли дать на него ответ. Если вы знаете как решить проблему другого человека, пожалуйста, подскажите ему :)