Котел Stropuva S15P - инструкция пользователя по применению, эксплуатации и установке на русском языке. Мы надеемся, она поможет вам решить возникшие у вас вопросы при эксплуатации техники.
Если остались вопросы, задайте их в комментариях после инструкции.
"Загружаем инструкцию", означает, что нужно подождать пока файл загрузится и можно будет его читать онлайн. Некоторые инструкции очень большие и время их появления зависит от вашей скорости интернета.

8
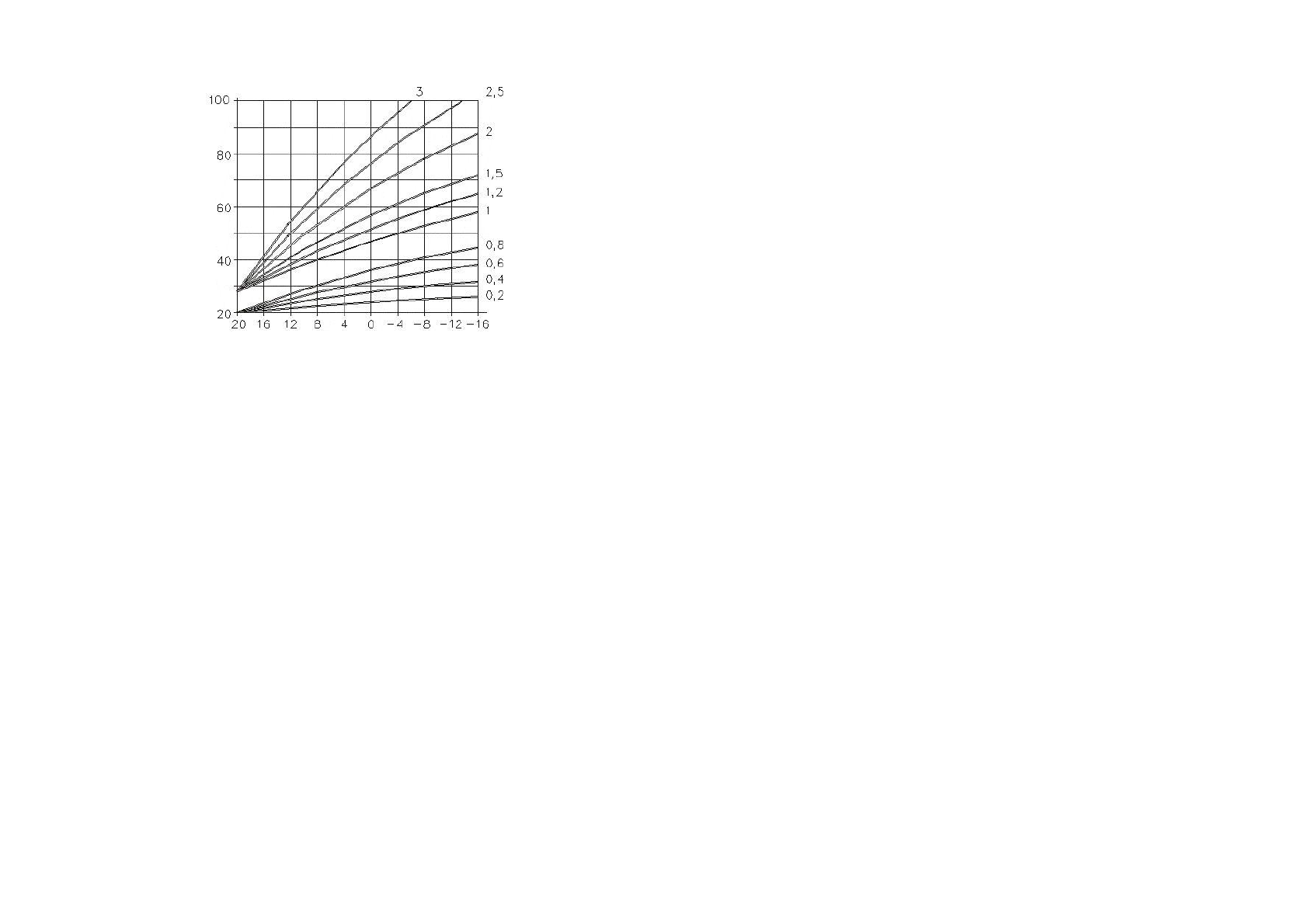
Кривые нагрева заводской установки
Если кривая нагрева для отопления вашей квартиры задана
оптимально, то дополнительных регулировок не требуется.
1.4.3. Для чего необходимо задавать характеристики кривой
нагрева.
После первых установок кривой нагрева только уполномоченное на то
лицо может настраивать и корректировать кривую.
Каждая комната, предназначенная для отопления, спроектирована по-
разному. Поэтому могут быть использованы различные
нагревательные элементы и системы (радиаторы, напольное или
комбинированное отопление); также в каждом здании установлена своя
теплоизоляция.
Для максимальной эксплуатации отопления, а также для
максимального сбережения энергии кривая нагрева должна быть
установлена с помощью параметра на панели управления таким
образом, чтобы выбранная кривая нагрева соответствовала
отопительной системе и особенностям здания.
1.4.4. Корректировка комнатной температуры
На основе полученного опыта можно утверждать, что заводские
настройки прибора рассчитаны на среднестатистический объект и
комнатную температуру 22°C. Если заводские настройки не позволяют
достичь необходимой комнатной температуры, можно произвести
дополнительные настройки стандартных кривых нагрева.
Т
Е
М
П
Е
Р
А
Т
У
Р
А
Н
А
В
Ы
Х
О
Д
Е
,
°C
НАРУЖНАЯ ТЕМПЕРАТУРА, °C
61
8.
Условия гарантии
1. Предприятие изготовитель Al. Winter гарантирует покупателю-пользователю
безотказную работу устройства в течение 18 месяцев со дня первоначального
пуска, но не более 24 месяцев со дня продажи.
2. Покупатель-пользователь лишается права гарантийного ремонта если уста-
новка произведена не сервисным (специализированным) центром. При наличии
в регионе установки котла авторизованного сервисного центра, первоначаль-
ный пуск осуществляется авторизованным сервисным центром. В случае отсут-
ствия в регионе установки котла авторизованного сервисного центра, первона-
чальный пуск необходимо поручить специализированному обслуживающему
персоналу.
Выполнение первоначального пуска, подтвержденного в гарантийном
талоне, является условием получения гарантии.
3. В случае обнаружения неисправности покупатель-пользователь обязан об-
ратиться в уполномоченный сервисный центр (перечень в приложении) или в
пункт продажи.
4. Изготовитель несет гарантийную ответственность только тогда, когда неис-
правность возникла вследствие производственного дефекта
5. Гарантийный ремонт осуществляется бесплатно
6. Изготовитель обязуется осуществить гарантийный ремонт в течение 14 дней
от даты заявления или доставки неисправного котла в уполномоченный сер-
висный центр (см. пункт 3), при наличии запасных частей на складе сервисного
центра. В случае отсутствия необходимых для ремонта запасных частей на
складе сервисный центр немедленно производит заказ необходимых запчастей
и устраняет неисправность в течении 1 рабочего дня с момента их получения,
но не более чем 21 дня с момента обращения потребителя в сервисный центр.
7. Гарантийный срок продлевается на отрезок времени, в течение которого
покупатель-пользователь не мог пользоваться котлом вследствие производст-
венного дефекта
8. Незаполненный талон гарантийных работ не дает права на выполнение га-
рантийных обязательств. Допускается выполнение условий гарантии на осно-
вании документа, подтверждающего покупку.
9. Для выполнения гарантийного ремонта необходимо иметь:
- полностью заполненную карту гарантии (гарантийный талон);
- накладную и квитанцию, подтверждающие покупку;
- заполненное сервисным (специализированным) центром свидетельство о
первоначальном пуске;
- заявление общего характера.
10.
Гарантия не распространяется на:
Содержание
- 2 Дата продажи
- 3 Протокол изменений; СОДЕРЖАНИЕ
- 4 ских регуляторов...............................................................34; WH Industrial; Отметки сервисного центра
- 6 Печать торговой организации
- 8 Условия гарантии; первоначальном пуске
- 11 Список возможных неисправностей и сбоев в работе; НЕИСПРАВНОСТЬ ПРИЧИНА
- 12 отопительным сезоном). Данное обслуживание не входит в гарантию.
- 13 Техническое обслуживание
- 15 Технические характеристики электрокотла; Wespe Heizung Complete U; ТЕХНИЧЕСКИЕ ДАННЫЕ ДЛЯ ЭЛЕКТРОКОТЛОВ Wespe
- 16 Wespe Heizung Complete Only; Функциональные характеристики центрального отопления с
- 17 Hz
- 18 Wespe Heizung Industrial, Wespe Heizung Industrial C/W; Продолжение
- 19 бытового водоснабжения (панель управления тип 2); Характеристики расширительного бака (Электрокотлы; Значения относятся к диапазону рабочей температуры от 10 С до 90 С.
- 20 Внутри; Продолжение...
- 21 Функциональные элементы котлов Wespe Heizung
- 22 Вывод линии подачи
- 24 Компоненты, входящие в объем поставки; Наименование; Таблица компонентов комплекта поставки; Тип 1 – Внешний температурный регулятор Industrial С
- 25 Предварительные замечания
- 26 Минимальные расстояния; Обеспечить доступ к панели управления в нижней части котла; Работа со стандартной панелью управления; Стандартная электромеханическая панель управления
- 27 Выбор скорости работы насоса
- 28 Заполнение отопительной системы; Ввод в эксплуатацию; Проверка системы центрального отопления
- 29 Расположение двухрядного переключателя на задней панели; Диаграмма подбора циркуляционного насоса
- 30 Порядок установки котла; Котел не подвергался риску погружения в воду; Установка котла на подвесной кронштейн; Соединительная планка
- 31 Heizung; Установка на стену
- 32 WH Industrial, WH Complete U, WH Complete Only; Датчик температуры емкости с
- 33 Подключение источника питания
- 34 Подключение устройства защитного отключения (RCD); электрических регуляторов; Доступ к соединительной планке; Датчик температуры внешней