Ноутбуки Lenovo ThinkPad 13 - инструкция пользователя по применению, эксплуатации и установке на русском языке. Мы надеемся, она поможет вам решить возникшие у вас вопросы при эксплуатации техники.
Если остались вопросы, задайте их в комментариях после инструкции.
"Загружаем инструкцию", означает, что нужно подождать пока файл загрузится и можно будет его читать онлайн. Некоторые инструкции очень большие и время их появления зависит от вашей скорости интернета.

2
Камера
С помощью этой камеры можно делать фотографии и вести видеоконференции. Дополнительную
информацию см. в разделе «Использование камеры» на странице 34.
3
Кнопка питания
Нажмите кнопку питания, чтобы включить компьютер или перевести его в режим сна. Сведения о
выключении компьютера см. в разделе «Часто задаваемые вопросы» на странице 15.
Если компьютер совсем не реагирует на ваши действия, то для того, чтобы его выключить, нажмите
кнопку питания и удерживайте ее в течение четырех секунд или больше. Если компьютер не
выключается, для получения дополнительной информации обратитесь к разделу «Компьютер
перестал отвечать на команды» на странице 85.
Можно также указать действия, которые должны выполняться при нажатии кнопки питания.
Например, можно запрограммировать кнопку питания на выключение компьютера, его перевод в
режим сна или гибернации при нажатии кнопки питания. Чтобы изменить действие, выполняемое при
нажатии кнопки питания, сделайте следующее:
1. Откройте панель управления и измените ее представление, выбрав вместо категорий крупные
или мелкие значки.
2. Щелкните
Управление электропитанием
➙
Действия кнопок питания
.
3. Следуйте инструкциям на экране.
4
Индикатор состояния системы
Светящаяся точка в логотипе ThinkPad
®
служит индикатором состояния системы. Дополнительную
информацию см. в разделе «Индикаторы состояния» на странице 6.
5
Устройство распознавания отпечатков пальцев (доступно лишь в некоторых моделях)
Технология аутентификации по отпечатку пальца обеспечивает простой и безопасный доступ
пользователя с помощью привязки отпечатка пальца к паролю. Дополнительную информацию см. в
разделе «Использование устройства распознавания отпечатков пальцев» на странице 52.
Манипулятор ThinkPad
6
Сенсорная панель
7
Кнопки TrackPoint
8
Манипулятор TrackPoint
На клавиатуре установлены уникальные манипуляторы Lenovo ThinkPad. Это устройство дает
возможность наводить указатель, выделять и перетаскивать элементы, не снимая рук с
клавиатуры. Дополнительную информацию см. в разделе «Манипулятор ThinkPad» на странице
21.
9
Экран (мультисенсорный экран в некоторых моделях)
Дополнительную информацию см. в разделе «Использование мультисенсорного экрана» на странице
17.
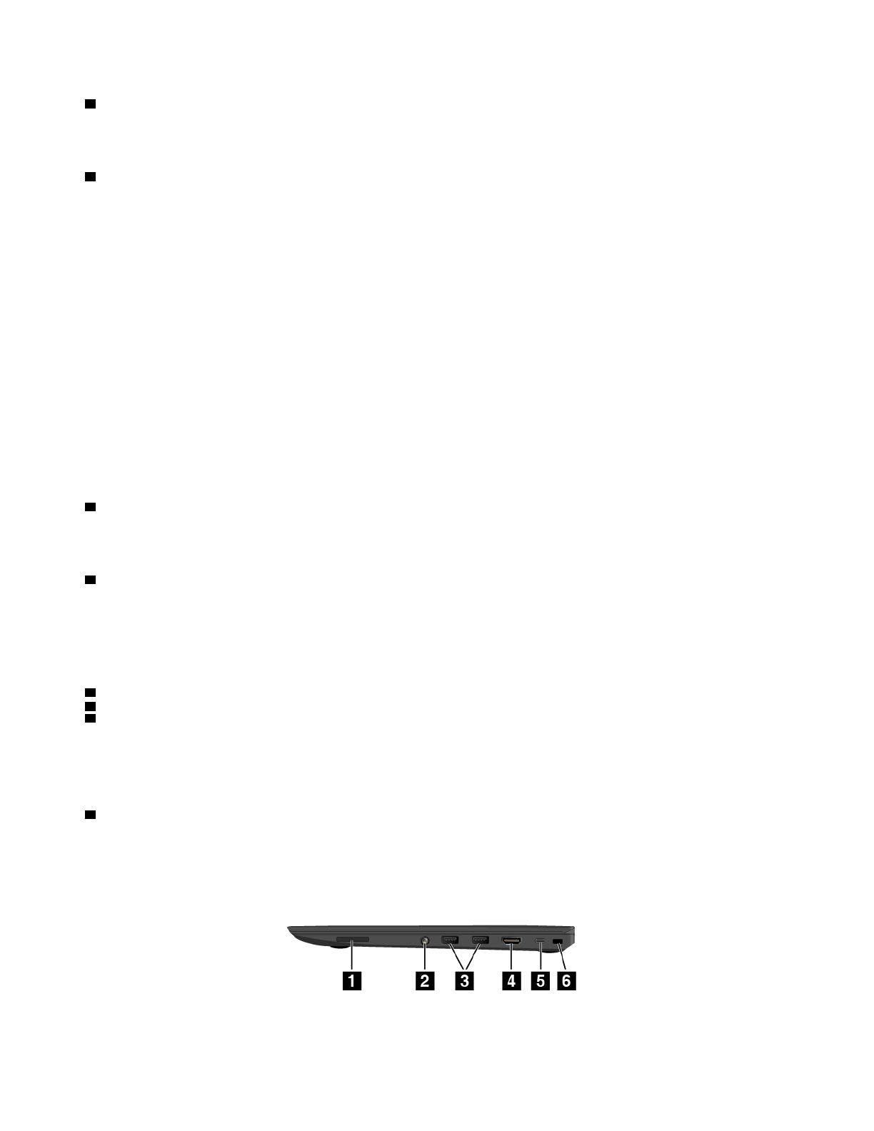
Вид справа
2
Руководство пользователя ThinkPad 13
Содержание
- 3 Содержание
- 4 ii
- 5 iii
- 7 Прочтите вначале; Будьте осторожны: при работе компьютер нагревается.; Будьте осторожны: в процессе работы адаптер питания нагревается.; Берегите компьютер от влаги.
- 8 Будьте аккуратны при переноске компьютера.; Обращайтесь с компьютером аккуратно.; Важная информация по технике безопасности
- 9 Состояния, требующие немедленных действий; vii
- 10 Техника безопасности; Обслуживание и модернизация; viii
- 11 Шнуры и адаптеры питания; ОПАСНО; Удлинители и связанные устройства; ix
- 12 Электрические вилки и розетки; Заявление в отношении источника питания
- 14 Примечание о плоской круглой батарейке
- 15 Тепловыделение и вентиляция
- 17 Замечания по пластиковым пакетам
- 19 Глава 1. Обзор продукта; Вид спереди; Микрофоны
- 20 Вид справа
- 22 Вид слева; Разъем питания
- 23 Вид снизу
- 24 Индикаторы состояния; Индикатор Fn Lock
- 25 Расположение наклеек с важной информацией о продукте
- 26 Сертификат подлинности Windows 7.; Наклейка подлинного ПО Microsoft Windows 10.
- 27 Компоненты и функции компьютера
- 28 Спецификации компьютера
- 29 Условия эксплуатации; Программы Lenovo
- 30 Все программы; Обзор программ Lenovo
- 33 Глава 2. Работа на компьютере; Регистрация компьютера; Можно ли найти руководство пользователя на другом языке?; Как выключить компьютер?
- 35 Получение справки по операционной системе Windows; Для Windows 7; Справка и поддержка; Начало работы; Использование мультисенсорного экрана
- 37 Советы по использованию мультисенсорного экрана
- 38 Специальные клавиши
- 39 Манипулятор ThinkPad
- 40 Манипулятор TrackPoint
- 41 Сенсорная панель
- 42 Правый щелчок; Прокрутка; Жесты для сенсорной панели
- 43 Настройка манипулятора ThinkPad; Оборудование и звук; Замена колпачка на джойстике
- 44 Подключение к источнику переменного тока
- 45 Использование питания от аккумулятора; Проверка состояния аккумулятора
- 46 Режимы энергосбережения
- 48 Использование подключения к беспроводной локальной сети
- 49 Использование соединения Bluetooth
- 52 Использование звуковых функций; Использование камеры; Камера
- 53 Использование мультимедийной флэш-карты
- 54 Действие; Добавить устаревшее оборудование
- 55 Глава 3. Расширение возможностей компьютера; Подбор дополнительных аксессуаров ThinkPad; ThinkPad OneLink+ Dock; Аудиоразъем
- 57 Глава 4. Вы и ваш компьютер; Специальные возможности и удобство работы; Общая посадка
- 58 Рекомендации путешественникам; Создание комфортных условий; Информация о специальных возможностях
- 59 Сочетания клавиш; Центр специальных возможностей
- 62 Дорожные аксессуары
- 63 Глава 5. Безопасность; Использование паролей; Установка, смена или удаление пароля на включение
- 64 Пароль администратора
- 66 Пароли на доступ к жесткому диску
- 68 Защита жесткого диска
- 69 Установка микросхемы защиты
- 70 Использование устройства распознавания отпечатков пальцев
- 71 Эксплуатация устройства распознавания отпечатков пальцев
- 72 Замечания относительно удаления данных с устройств хранения; Использование брандмауэров
- 73 Защита данных от вирусов
- 75 Глава 6. Расширенные настройки; Установка новой операционной системы
- 76 Legacy Boot; Установка операционной системы Windows 10; Startup
- 77 Установка драйверов устройств
- 78 Меню Main; Main
- 79 Меню Config; Config; жирным шрифтом
- 85 Time; System Date; System Time; Меню Security; Security
- 90 Меню Startup
- 91 Boot
- 92 Меню Restart
- 93 Save Changes; Обновление UEFI BIOS; Использование средств управления системой; Desktop Management Interface; Wake on LAN
- 94 Настройка средств управления компьютером
- 95 Yes; Проверка требований к обновлениям встроенного ПО
- 97 Глава 7. Предотвращение проблем; Общие советы по предотвращению проблем; Пуск
- 98 Поддержание драйверов устройств в обновленном состоянии; Загрузка последних версий драйверов с веб-сайта
- 99 Уход за компьютером
- 100 Обращайтесь с компьютером осторожно и бережно; Правильно носите ваш компьютер; Будьте внимательны, задавая пароли
- 101 Чистка кожуха компьютера; Чистка клавиатуры; Чистка дисплея
- 103 Глава 8. Устранение неполадок компьютера; Диагностика неполадок
- 104 Попадание жидкости на клавиатуру; Если вы пролили жидкость на компьютер:; Сообщения об ошибках; Сообщение
- 106 Ошибки, при которых сообщения не выводятся
- 107 Проблема; Решение; Звуковые сигналы, сообщающие об ошибках; Неполадки модулей памяти
- 108 Проблемы с сетью; Проблемы, связанные с Ethernet
- 110 Проблемы с клавиатурой и другими манипуляторами; Проблемы с манипулятором TrackPoint; Проблемы с дисплеем и мультимедийными устройствами; Неполадки с экраном компьютера
- 113 Проблемы с внешним монитором
- 114 Проблемы с воспроизведением звука
- 116 Неполадки устройства распознавания отпечатков пальцев; Проблемы с аккумулятором
- 117 Проблема с адаптером питания от сети переменного тока; Проблемы с электропитанием
- 119 Проблемы с дисками и другими устройствами для хранения данных; Проблема с твердотельными накопителями; Проблема с программным обеспечением
- 120 Проблемы с портами и разъемами; Проблема с USB
- 121 Создание носителей восстановления
- 122 Резервное копирование и восстановление
- 123 Использование рабочего пространства Rescue and Recovery
- 124 Создание и использование резервного носителя
- 126 Установить с диска; Обзор; Решение проблем, связанных с восстановлением; Информация о восстановлении операционной системы Windows 10
- 128 Создание и использование USB-накопителя восстановления
- 129 Глава 10. Замена устройств; Меры защиты от разрядов статического электричества
- 130 Замена узла крышки корпуса
- 132 Замена клавиатуры
- 137 Замена твердотельного диска M.2
- 139 Замена модуля памяти
- 140 Замена плоской круглой батарейки
- 142 Замена блока динамика
- 145 Глава 11. Получение технической поддержки; Перед тем как связаться с Lenovo
- 147 Как обратиться в центр поддержки клиентов Lenovo; Телефоны; Приобретение дополнительных услуг
- 149 Приложение A. Нормативные сведения; Расположение антенн беспроводной связи UltraConnectTM; В моделях компьютеров с алюминиевой крышкой:; В моделях компьютеров с пластмассовой крышкой:
- 150 Информация о беспроводной связи; Взаимодействие беспроводных сетей
- 151 Условия работы и ваше здоровье; Информация о соответствии нормативам радиосвязи; Информация о соответствии нормативам радиосвязи Бразилии
- 152 Информация о соответствии нормативам радиосвязи Мексики; Замечание по экспортной классификации
- 153 Соответствие требованиям Европейского Союза; Заявление о директиве по ЭМС.; Заявление о директиве по радиооборудованию.
- 154 Deutschsprachiger EU Hinweis:
- 158 Информация о WEEE для Венгрии; Заявление об утилизации для Японии; Collecting and recycling a disused Lenovo computer or monitor
- 159 Информация по утилизации для Бразилии; Declarações de Reciclagem no Brasil; Информация об утилизации аккумуляторов для Европейского союза; Примечание
- 160 Утилизация аккумуляторов из продуктов Lenovo; Информация об утилизации аккумуляторов для Тайваня (Китай)
- 165 Приложение D. Информация о моделях ENERGY STAR; Сетевые адаптеры
- 167 Приложение E. Замечания
- 168 Товарные знаки












