Котел Federica Bugatti 24 ATMO - инструкция пользователя по применению, эксплуатации и установке на русском языке. Мы надеемся, она поможет вам решить возникшие у вас вопросы при эксплуатации техники.
Если остались вопросы, задайте их в комментариях после инструкции.
"Загружаем инструкцию", означает, что нужно подождать пока файл загрузится и можно будет его читать онлайн. Некоторые инструкции очень большие и время их появления зависит от вашей скорости интернета.

- 15 -
RU
FEDERICA
(FEDERICA 24 ATMO)
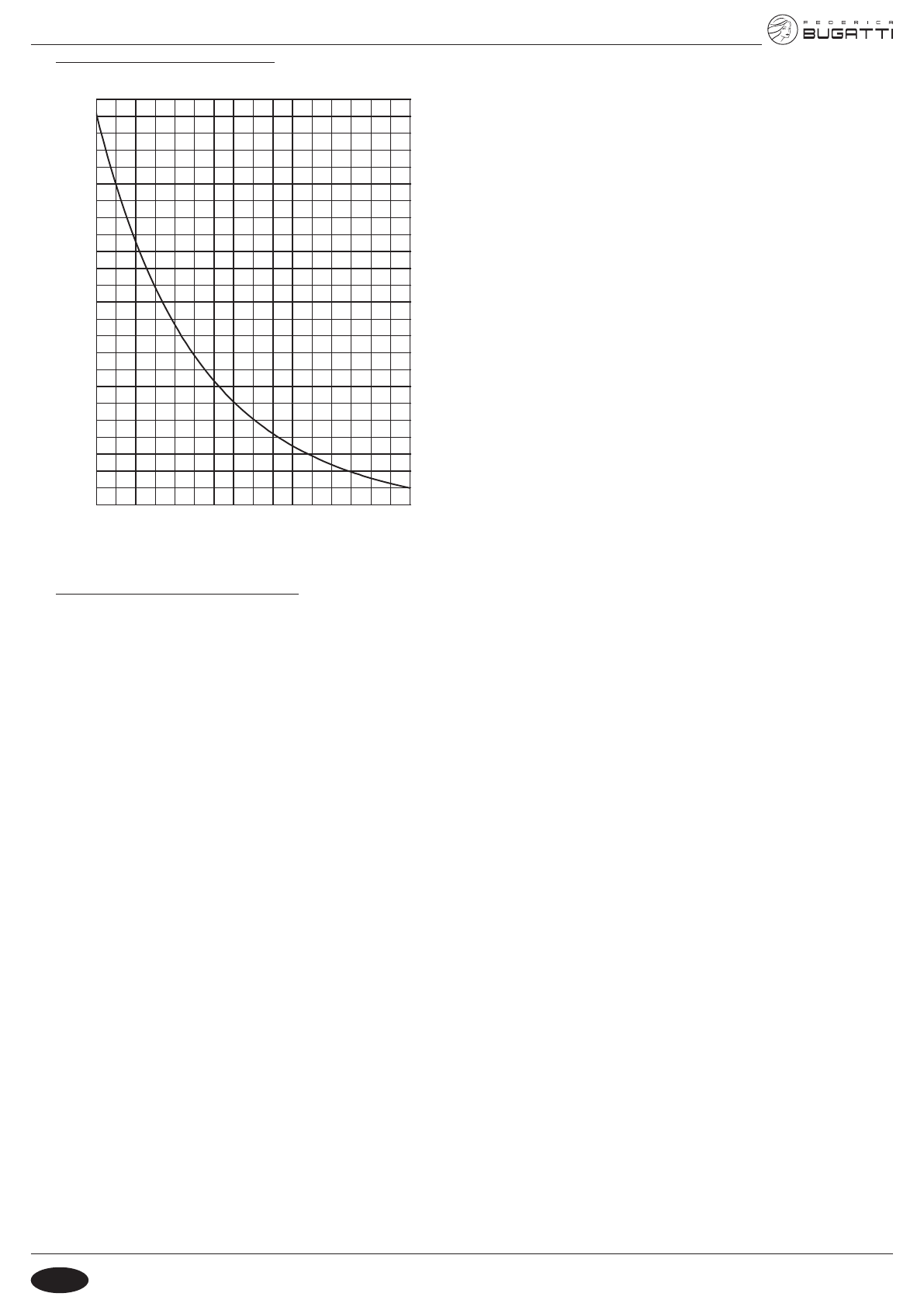
9.7 Характеристика датчиков ГВС и Отопления
Рис. 9.5
500
1000
1500
2000
2500
3000
3500
4000
4500
5000
5500
6000
6500
7000
7500
8000
8500
9000
9500
10000
10500
11000
11500
12000
12500
20
25
30
35
40
45
50
55
60
65
70
75
80
85
90
95 100
Ω
°C
9.8  Контрольный список работ при проведении ТО:
-  Проверка сетчатого фильтра на входе холодной воды;
- Визуальный контроль системы подачи воздуха для горения/отвода дымовых газов;
- Проверка сетевого давления газа, мбар;
- Контроль герметичности газового и водяного контура;
- Проверка первичного теплообменника на наличие загрязнений;
- Проверка горелки;
- Проверка электрода розжига и ионизации;
- Проверка давления в расширительном баке (в соответствии со статической высотой системы
отопления);
- Проверка давления теплоносителя в системе отопления;
- Проверка электропроводки на отсутствие повреждений;
- Проверка настроек регулятора отопления.

 
  
  
  
  
  
  
  
  
  
  
  
  
  
  
  
  
  
  
  
 

