Страница 2 - Содержание; Блокировка
Содержание 2 Указания по безопасности и предупреждения .............................................. 6 Ваш вклад в охрану окружающей среды ...................................................... 16 Как можно сэкономить электроэнергию? .................................................... 17 Описан...
Страница 3 - Режим «Шаббат»
Содержание 3 Режим «Шаббат» .............................................................................................. 40 Хранение продуктов в холодильной камере ................................................ 42 Различные температурные области...................................................
Страница 4 - Режим презентации
Содержание 4 Чистка дверного уплотнения .............................................................................. 69Чистка вентиляционных отверстий.................................................................... 69Эксплуатация прибора после чистки ..............................................
Страница 6 - Указания по безопасности и предупреждения; Надлежащее использование; Прибор предназначен для использования в быту и в условиях,
Указания по безопасности и предупреждения 6 Этот прибор отвечает нормам технической безопасности. Од-нако, его ненадлежащее использование может привести ктравмам персонала и повреждениям изделий. Прежде чем начать пользоваться прибором, внимательнопрочтите данную инструкцию по эксплуатации и монтажу...
Страница 7 - Если у Вас есть дети
Указания по безопасности и предупреждения 7 Прибор не предназначен для хранения и охлаждения медика- ментов, плазмы крови, лабораторных препаратов или подобныхвеществ или продуктов, указанных на директиве о медицинскойпродукции. Неправильное применение прибора может причи-нить вред хранящимся прод...
Страница 8 - Техническая безопасность
Указания по безопасности и предупреждения 8 Опасность удушья! При игре с упаковкой (например, пленкой) дети могут завернуться в нее или натянуть на голову, что приве-дет к удушью. Храните упаковочный материал в недоступномдля детей месте. Техническая безопасность Контур циркуляции хладагента про...
Страница 11 - Правильная эксплуатация
Указания по безопасности и предупреждения 11 Генератор льда должен подключаться только к крану холод- ной воды. За ущерб, возникший по причине неправильного подключения свежей воды, компания Miele ответственности не несёт. Право на гарантийное обслуживание теряется, если ремонт прибора выполня...
Страница 13 - Чистка и уход
Указания по безопасности и предупреждения 13 При употреблении продуктов питания, срок хранения которых превысил допустимый, существует опасность пищевого отрав-ления.Срок хранения зависит от многих факторов, например, свежес-ти и качества продуктов, а также температуры, при которой онихранятся. Уч...
Страница 14 - Транспортировка
Указания по безопасности и предупреждения 14 – перед первым вводом в эксплуатацию, – после неиспользования генератора в течение некоторого вре- мени, – регулярно при длительной эксплуатации (минимум один раз в месяц) для удаления остатков льда (во избежание засорениясистемы подвода воды) и – прежде ...
Страница 15 - Утилизация прибора; Символ на компрессоре (зависит от модели)
Указания по безопасности и предупреждения 15 Утилизация прибора При необходимости сломайте замок дверцы Вашего вышед- шего из строя прибора перед тем, как его утилизировать.Это помешает тому, что играющий ребенок сможет случайно за-крыться в приборе и подвергнуть опасности свою жизнь. Выброс хла...
Страница 16 - Ваш вклад в охрану окружающей среды
Ваш вклад в охрану окружающей среды 16 Утилизация транспортнойупаковки Упаковка защищает прибор от по-вреждений при транспортировке.Материалы упаковки безопасны дляокружающей среды и легко утилизи-руются, поэтому они подлежат пере-работке. Возвращение упаковки для ее вто-ричной переработки приводит ...
Страница 17 - Как можно сэкономить электроэнергию?
Как можно сэкономить электроэнергию? 17 нормальное энергопо-требление повышенное энергопо-требление Установка прибо-ра/техобслужи-вание В проветриваемых поме-щениях. В закрытых, непроветри-ваемых помещениях. В защищенном от прямыхсолнечных лучей месте. В месте воздействия пря-мых солнечных лучей. На...
Страница 18 - Эксплуатация
Как можно сэкономить электроэнергию? 18 нормальное энергопо-требление повышенное энергопо-требление Эксплуатация Расположение выдвижныхбоксов и различных полок,как при поставке прибора. Открывать дверцу толькопри необходимости, на какможно более короткоевремя. Хранить хорошорассортированные про-дукт...
Страница 19 - Описание прибора; Панель управления
Описание прибора 19 Панель управления a Включение/выключениевсего прибора b Оптический интерфейс(только для сервисной службы) c Выбор холодильной или морозиль-ной камеры d Включение/выключение суперох-лаждения или суперзаморажива-ния e Установка температуры( для понижения), кнопка выбора в режиме ...
Страница 20 - Пояснение символов; Символ
Описание прибора 20 Пояснение символов Символ Значение Функция Блокировка Защита от нежелательного выключения,нежелательного изменения температуры,нежелательного включения режимов су-перохлаждения и суперзамораживания инежелательного изменения установок Генератор льда Включение и выключение гене...
Страница 22 - Принадлежности; Держатель для бутылок
Принадлежности 22 Принадлежности, входящие вкомплект Держатель для бутылок Пластинки над полкой для бутылоклучше удерживают их при открыва-нии и закрывании дверцы прибора. Масленка Подставка для яиц Аккумулятор холода Аккумулятор холода предотвращаетбыстрый подъем температуры в мо-розильной камере п...
Страница 23 - Полочка для бутылок
Принадлежности 23 от воды, следы от пальцев и другиепятна, оставляя ровную, блестящуюповерхность. Универсальная салфетка из микро-фибры Салфетка из микрофибры помогаетудалить следы от пальцев и легкиезагрязнения на фронтальных панеляхиз нержавеющей стали, панелях уп-равления, окнах, мебели, стеклах ...
Страница 24 - Включение и выключение прибора; Упаковка; Управление прибором; Символ подключения к сети
Включение и выключение прибора 24 Перед первым использова-нием Упаковка Удалите все упаковочные матери-алы, находящиеся внутри прибора. Защитная плёнка Планки и панели из нержавеющейстали в приборе покрыты специаль-ной плёнкой, которая защищает егопри транспортировке. Удалите защитную плёнку с п...
Страница 25 - Вы можете выбрать для
Включение и выключение прибора 25 При открытой дверце холодильнойкамеры включается внутреннее осве-щение, светодиодная подсветка по-лок становится ярче, пока не достиг-нет максимальной яркости. При первом вводе в эксплуатациюмигают сенсорная кнопка морозиль-ной камеры, а также символ неполад-ки ,...
Страница 26 - Выключить прибор
Включение и выключение прибора 26 Выключить прибор Коснитесь кнопки Вкл/Выкл.Если ничего не происходит, то зна-чит включена функция блокировки! На дисплее гаснет индикация темпе-ратуры, и появляется символ под-ключения электросети . Внутреннее освещение погаснет, иохлаждение прекратится. Отдельн...
Страница 27 - При длительном отсутствии; В оставленном на длительное
Включение и выключение прибора 27 При длительном отсутствии В оставленном на длительное время c закрытой дверцей выклю-ченном, но не вымытом прибореможет образоваться плесень.Обязательно очищайте прибор. Если Вы в течение длительного срокане будете пользоваться прибором,тогда выключите прибор, ...
Страница 28 - Правильная температура; – дверца часто и надолго открывает-
Правильная температура 28 Правильная установка температурыочень важна для хранения продук-тов. Микроорганизмы быстро портятпродукты, что предотвращается пра-вильно выбранной температурой.Температура влияет на скорость раз-множения микроорганизмов. Пони-женная температура замедляет этипроцессы. Темпе...
Страница 29 - Индикатор температуры; Если температура в течение
Правильная температура 29 Индикатор температуры Индикатор температуры на дисплеепоказывает в обычном режиме среднюю, фактическую темпера-туру в холодильной камере и тем- пературу самого теплого места вморозильной камере , которые в данный момент установились в при-боре. Если температура в морозильно...
Страница 30 - – Первое касание: мигает
Правильная температура 30 При касании кнопок Вы можете на-блюдать следующие изменения инди-кации на дисплее: – Первое касание: мигает значение температуры, установленное впоследний раз . – Каждое следующее касание: зна- чение температуры изменяется сшагом 1 C°. – Оставьте палец прижатым к кноп- ке: ...
Страница 32 - Функция суперохлаждения; Включение суперохлаждения
Применение суперохлаждения и суперзамораживания 32 Функция суперохлаждения C помощью функции суперохлажде-ния температура в холодильной ка-мере очень быстро опускается до са-мого низкого значения (в зависимос-ти от комнатной температуры). Включение суперохлаждения Рекомендуется включать режим су-пер...
Страница 33 - щения
Применение суперохлаждения и суперзамораживания 33 Функция суперзаморажива-ния Для оптимального замораживаниясвежих продуктов перед их заклад-кой включайте функцию суперзамо-раживания. При использовании этой функциипродукты будут быстро заморажи-ваться. Функция суперзаморажива-ния поможет сохранить ...
Страница 36 - Сигнал об открытой дверце; продолжает высвечиваться, пока
Сигналы об изменении температуры и об открытойдверце 36 Сигнал об открытой дверце Прибор оснащен функцией звуковогосигнала, чтобы избежать потерьэлектроэнергии, если дверца остает-ся открытой и защитить хранящиесяпродукты от воздействия тепла. Если дверца прибора долгое времяостается открытой, разда...
Страница 37 - Выполнение других установок; Возможности установки; нератора льда
Выполнение других установок 37 Определенные установки прибора Выможете выполнить только в режимеустановок. Когда Вы находитесь в режиме ус-тановок, сигнал об открытой дверцеили другое сообщение о неисправ-ности автоматически заглушается.На дисплее, однако, высвечиваетсясимвол предупреждающего сигнал...
Страница 38 - Звуковые сигналы
Выполнение других установок 38 Нажатием на кнопки или Вы можете теперь установить, должнали блокировка быть выключена иливключена: 0 : блокировка выключена 1 : блокировка включена. Нажмите на кнопку ОК, чтобы под-твердить Ваш выбор. Выбранная установка вступает в си-лу, символ мигает. На...
Страница 39 - Яркость дисплея; Изменение яркости дисплея
Выполнение других установок 39 На дисплее мигает установка, вы-бранная последней, горит символ . Нажатием на кнопку или Вы можете теперь выбирать: 0 : звук при нажатии кнопок выкл.; сигнал об открытой дверце выкл. 1 : звук при нажатии кнопок выкл.; сигнал об открытой дверце вкл.(через 4 мину...
Страница 42 - Хранение продуктов в холодильной камере; Если Вы храните в приборе
Хранение продуктов в холодильной камере 42 Опасность взрыва! Не храните в приборе никакиевзрывчатые вещества и продуктыс горючим рабочим газом (напри-мер, аэрозоли). Если Вы храните в приборе или в его дверце продукты с со-держанием жира или масла, то впластике могут образоваться тре-щины, что п...
Страница 43 - – сыр из свежего молока и другие
Хранение продуктов в холодильной камере 43 – сыр из свежего молока и другие молочные продукты, – готовые овощи в пластиковой упа- ковке и все свежие продукты, ко-торые должны храниться при тем-пературе не менее 4 °C. Что не подходит для хране-ния в холодильной камере Не все продукты подходят для хра...
Страница 44 - Хранение продуктов в зоне PerfectFresh Pro; Информационная система
Хранение продуктов в зоне PerfectFresh Pro 44 Зона PerfectFresh Pro отличается оп-тимальными условиями храненияфруктов, овощей, рыбы, мяса и мо-лочной продукции. Продукты остают-ся гораздо дольше свежими, сохра-няются их вкус и витамины. В зоне PerfectFresh Pro автоматиче-ски регулируется температур...
Страница 45 - Сухое отделение; в накрытом; Влажное отделение; Неповышенная влажность воздуха
Хранение продуктов в зоне PerfectFresh Pro 45 Сухое отделение Сухое отделение особенно подходитдля хранения скоропортящихся про-дуктов, например: – свежей рыбы, ракообразных; – мяса, птицы, колбас; – деликатесных салатов; – молочных продуктов, например, йогурта, сыра, сливок, творога ит.д.; – Кром...
Страница 46 - или
Хранение продуктов в зоне PerfectFresh Pro 46 При некоторых обстоятельствахпри повышенной влажности вовлажном отделении возможно об-разование конденсата на дне, атакже под крышкой.Удаляйте его с помощью салфет-ки. Указание для испытательных ор-ганизаций: для измерения энергопотребления всоответствии...
Страница 47 - Повышенная влажность воздуха
Хранение продуктов в зоне PerfectFresh Pro 47 Если Вас не устраивает результатхранения продуктов (напр., продук-ты спустя короткий срок хранениястановятся вялыми), то обратитевнимание на следующие указания: Кладите на хранение только све-жие продукты. Состояние продук-тов является решающим для пол...
Страница 48 - Оформление внутреннего пространства; Полка с подсветкой
Оформление внутреннего пространства 48 Перестановка дверных по-лок / полок для бутылок вдверце Сдвиньте дверную полку / полкудля бутылок вверх и выньте еевперед. Установите полку на нужное место.При этом следите, чтобы она хоро-шо зафиксировалась на выпуклыхэлементах. Перестановка держателя дляб...
Страница 49 - Выдвиньте боксы до упора.
Оформление внутреннего пространства 49 Перестановка полки для бу-тылок Полку для бутылок можно приоб-рести дополнительно (см. "Принад-лежности - Дополнительно приоб-ретаемые принадлежности"). Полку для бутылок Вы можете уста-новить в приборе на разной высоте. Слегка приподнимите полку спер...
Страница 50 - Для установки боксов
Оформление внутреннего пространства 50 При очистке прибора следите затем, чтобы из направляющих небыла вымыта специальная смазка.Чистите направляющие с по-мощью влажной салфетки. Для установки крышки обратноподнимите ее снизу вверх в прием-ные опоры. Затем задвиньте крыш-ку назад до ее фиксации. Д...
Страница 51 - Замораживание и хранение; – целостность упаковки,
Замораживание и хранение 51 Максимальная мощность за-мораживания Чтобы продукты могли как можнобыстрее промерзнуть, не должнапревышаться максимальная мощ-ность замораживания. Информациюо максимальном количестве заморо-женных продуктов за 24 часа Вы най-дете на типовой табличке"Gefriervermцgen .....
Страница 52 - Замораживание продуктов
Замораживание и хранение 52 Замораживание продуктов Замораживайте только свежиепродукты без каких-либо повреж-дений! Перед замораживанием – Для замораживания пригодны : свежее мясо, птица, дичь, рыба,овощи, зелень, свежие фрукты,молочные продукты, выпечка и ос-татки блюд, яичные желтки и бел-ки, мно...
Страница 53 - Перед размещением
Замораживание и хранение 53 Напишите на упаковке ее содержи-мое и дату замораживания. Перед размещением Перед закладыванием на хранениепродуктов в количестве более 2 кгвключите на некоторое времяфункцию суперзамораживания (см."Применение функций суперохлаж-дения и суперзамораживания -Функция...
Страница 54 - Продуктовая группа
Замораживание и хранение 54 Срок хранения замороженных про-дуктов Срок хранения продуктов очень раз-личается даже при соблюдении пред-писанной температуры -18° C. Дажев замороженных продуктах происхо-дят сильно замедленные процессыраспада определенных веществ. На-пример, под воздействием кислоро-да,...
Страница 55 - Размороженные или подтаяв-
Замораживание и хранение 55 Размороженные или подтаяв- шие продукты не замораживайтеснова, если Вы не подвергли ихтермической обработке (сварилиили поджарили). Только в этомслучае возможно повторное замо-раживание! Быстрое охлаждение напитков Доставайте бутылки, которые былипомещены в морозильную ...
Страница 56 - Приготовление льда; В выдвижном контейнере для льда
Приготовление льда 56 Автоматический генератор льда длясвоей работы требует наличия под-ключения свежей воды (см. «Под-ключение свежей воды»). Опасно для здоровья! Промывайте генератор льда вмес-те с системой подвода воды:– перед первым вводом в эксплуа-тацию, – после неиспользования генера-тора в...
Страница 58 - Настройка количества воды
Приготовление льда 58 Изменение размера кубиковльда Размер кубиков льда зависит от по-ступающего количества воды, кото-рое вы можете настроить по своемужеланию. Чтобы кубики получалисьбольшего размера, увеличьте объемводы в генераторе льда. По умолча-нию установлен средний объём во-ды ( E 3 ). Настр...
Страница 59 - Нажимайте кнопку Вкл/Выкл
Приготовление льда 59 Выключение генератора льдакнопкой Вкл/Выкл Вытяните выдвижной контейнердля льда немного наружу. Нажимайте кнопку Вкл/Выкл на генераторе льда, – пока не загорится индикатор. На дисплее появляется символ гене-ратора льда . Генератор вклю- чен. – пока индикатор не погасн...
Страница 60 - Автоматическое оттаивание; Талая вода должна всегда сте-; Морозильная камера
Автоматическое оттаивание 60 Холодильная камера и зонаPerfectFresh Pro Холодильная камера и зонаPerfectFresh Pro размораживаютсяавтоматически. Во время работы компрессора воз-можно технически обусловленное об-разование инея и капелек воды назадней стенке холодильной камеры изоны PerfectFresh Pro. Вы...
Страница 61 - не
Чистка и уход 61 Следите за тем, чтобы вода не попадала в электронику или систе-му освещения. Пар из пароструйного очисти- теля может осесть на находящиесяпод напряжением части прибора ивызвать короткое замыкание.Не используйте для очистки паро-струйные очистители. Не сливайте воду, использованн...
Страница 62 - Промывание генератора льда; промывание генератора льда
Чистка и уход 62 Промывание генератора льда Промывайте генератор льда вмес-те с системой подвода воды:– перед первым вводом в эксплуа-тацию, – после неиспользования генера-тора в течение некоторого вре-мени, – регулярно при постоянной эксп-луатации (минимум один раз в ме-сяц), чтобы удалить остатки ...
Страница 63 - Форма для льда; Чистка формы для льда; Чистите форму для льда,
Чистка и уход 63 Вы услышите, как форма для льдаповернётся в наклонное положение. Дождитесь, когда завершитсяперемещение формы. В заключение генератор льда выклю-чится. Осторожно извлеките контейнер,наполненный водой. Вылейте водуи очистите контейнер. Форма для льда не вынимается , и её можно оч...
Страница 64 - установка позиции для чистки
Чистка и уход 64 На дисплее появляются на выбор всесимволы, символ мигает. Нажимайте на кнопки установкитемпературы ( и ) так часто, по- ка на дисплее не будет мигать сим-вол генератора льда . Нажмите на кнопку ОК, чтобы под-твердить Ваш выбор. Теперь касанием кнопок и Вы можете в...
Страница 65 - Подготовка прибора к чистке; Планку из нержавеющей стали
Чистка и уход 65 Подготовка прибора к чистке Выключите прибор. Дисплей гаснет и выключается охла-ждение. Если это не произошло, значит вклю-чена блокировка (см. главу "Выпол-нение других установок – Включение/выключение блокировки"). Выньте вилку из розетки или от-ключите предохранитель....
Страница 66 - ку с полки и
Чистка и уход 66 Возьмитесь с левой стороны план-ки из нержавеющей стали за конецпластмассовой окантовки. 1. Отогните пластмассовую окантов- ку с полки и 2. одновременно снимите планку с полки. Затем таким же образомосвобождается противоположнаясторона. 3. Снимите защитную планку. После очистки ...
Страница 67 - странства
Чистка и уход 67 Очистка внутреннего про-странства и принадлежнос-тей Регулярно очищайте прибор, не ме-нее одного раза в месяц. Не допускайте высыхания загрязне-ний, а удаляйте их сразу же. Для чистки внутреннего про- странства используйте чистую губ- чатую салфетку, чуть теплую воду инемного моющ...
Страница 68 - Следующие части
Чистка и уход 68 Следующие части можно мыть в по- судомоечной машине : Температура выбранной програм-мы посудомоечной машины долж-на составлять максимум 55 °C! Вследствие контакта с природнымикрасителями, содержащимися, на-пример, в моркови, томатах и кетчу-пе, пластиковые детали посудомо-ечной маши...
Страница 69 - Чистка дверного уплотнения
Чистка и уход 69 Чистка дверного уплотнения Не допускается смазывать уплот-нение дверцы маслом или мазью.Иначе оно со временем становит-ся пористым. Уплотнение дверцы регулярно про-мывайте чистой водой, a затем на-сухо протирайте салфеткой. Чистка вентиляционных от-верстий Скопления пыли вызывают ...
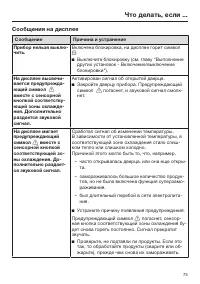
Страница 73 - Сообщения на дисплее; Сообщение
Что делать, если ... 73 Сообщения на дисплее Сообщение Причина и устранение Прибор нельзя выклю-чить. Включена блокировка, на дисплее горит символ . Выключите блокировку (см. главу "Выполнениедругих установок - Включение/выключениеблокировки"). На дисплее высвечи-вается предупрежда-ющий ...
Страница 76 - Проблемы с генератором льда; Проблема
Что делать, если ... 76 Проблемы с генератором льда Проблема Причина и устранение Генератор льда невключается. Прибор не подсоединен к электросети или невключен. Подсоедините прибор к электропитанию ивключите его. Генератор льда непроизводит кубикильда. Прибор или генератор льда не включён. Вклю...
Страница 78 - Не работает внутренняя подсветка
Что делать, если ... 78 Не работает внутренняя подсветка Проблема Причина и устранение Не работает внутрен-няя подсветка. Прибор не включен. Включите прибор. Включен режим "Шаббат" : дисплей не горит, охлаждение прибора работает. Нажмите на кнопку установок, чтобы выйти изрежима "Шаб...
Страница 81 - Общие проблемы с работой прибора
Что делать, если ... 81 Общие проблемы с работой прибора Проблема Причина и устранение После нескольких по-пыток не удаетсяоткрыть дверцу моро-зильной камеры. Это не является неполадкой! Из-за всасывающегоэффекта дверца прибора сможет быть открытабез усилий только примерно через 1 минуту. На полу хо...
Страница 82 - Посторонние звуки и их причины
Посторонние звуки и их причины 82 Нормальныешумы Из-за чего они возникают? Гудение Гудение вызывается работающим мотором (компрессором).Звук может быть некоторое время более громким при вклю-чении мотора. Бульканье Бульканье, бурление или жужжание вызывается тем, что потрубкам внутри прибора циркули...
Страница 83 - Сервисная служба
Сервисная служба 83 Сервисная служба При возникновении неисправностей,которые Вы не можете устранитьсамостоятельно, обращайтесь, пожа-луйста, в сервисную службу Miele потелефону: – по телефону (495) 745 89 90 или – в сервисные центры Miele. Телефон сервисной службы MieleВы найдете в конце данного до...
Страница 84 - Дата изготовления
Сервисная служба 84 Дата изготовления Дата изготовления состоит из трехцифр и указана на типовой табличкев нижней строке следующим обра-зом: 1. Цифра:последняя цифра года изготовления 2. Цифра /буква:1 – 9 = месяцы, с января по сентябрь;A, B, C = месяцы: октябрь, ноябрь,декабрь 3. Цифра:1 = 1-й - 9-...
Страница 85 - Информация для торговых партнеров; Включение режима презентации
Информация для торговых партнеров 85 Режим презентации С помощью функции "Режим презен-тации" прибор можно демонстриро-вать на торговых площадках или ввыставочных залах. При этом управ-ление прибором и подсветка работа-ют, а компрессор остается выклю-ченным. Включение режима презентации ...
Страница 86 - Выключение режима презентации
Информация для торговых партнеров 86 Выключение режима презентации Символ горит на дисплее. Нажмите на кнопку установок. На дисплее появляются на выбор всесимволы, символ мигает. Нажимайте на кнопки установкитемпературы ( или ), так часто, пока на дисплее не будет мигатьсимвол . Нажм...
Страница 87 - Подключение свежей воды; – подключён непосредственно к сис-
Подключение свежей воды 87 Примечания по подключениюсвежей воды Подключение свежей воды должнопроизводиться силами только ква-лифицированных специалистов. Отсоедините прибор от электросе-ти, прежде чем подключать его кводопроводу. Перекройте систему водоснабже-ния, прежде чем подвести шлангзалива во...
Страница 88 - Подключение подвода воды; – Для этого дайте стальному шлангу
Подключение свежей воды 88 Подключение подвода воды Не допускается выполнять под-ключение свежей воды, если при-бор подключён к электросети. Для подключения к узлу подачи во-ды необходим запорный кран срезьбой ¾ ". Перед первым вводом в эксплуата-цию поручите квалифицированномуспециалисту удален...
Страница 89 - Электроподключение; нии солнечной энергии
Электроподключение 89 В комплект поставки прибора входиткабель питания от сети 50 Гц 220–240 В. Номинал применяемого предохрани-теля должен быть не менее 10 А. Подключение должно осуществлять-ся только к правильно смонтирован-ной сетевой розетке с заземляющимконтактом. Электропроводка с за-землением...
Страница 91 - Технические характеристики; Сетевое напряжение
Технические характеристики 91 Сетевое напряжение 220 – 240 В Частота 50 Гц Предохранитель мин. 10 А Потребление тока 1,4 А Класс энергоэффективности A++ Брутто-объем KFN 37692 iDE 233 л
Страница 92 - Указания по монтажу; Опасность пожара и матери-; Место установки; – Сетевая розетка должна находить-
Указания по монтажу 92 Невстроенный прибор может оп-рокинуться! Опасность пожара и матери- ального ущерба! Не разрешаетсявстраивать прибор под панельюконфорок. Место установки Для размещения прибора подходитсухое, проветриваемое помещение. Не допускается установка приборавблизи плиты, духового шка...
Страница 93 - Климатический класс; Система вентиляции
Указания по монтажу 93 Климатический класс Прибор изготовлен с учетом опреде-ленного климатического класса (пре-делы комнатной температуры), грани-цы которого должны соблюдаться.Климатический класс обозначен натиповой табличке внутри прибора. Климатический класс Комнатная тем- пература SN +10 - +32 ...
Страница 94 - – Для вентиляции с задней стороны
Указания по монтажу 94 – Для вентиляции с задней стороны прибора предусматривается каналдля выхода воздуха глубиной ми-нимум 40 мм. – Площадь вентиляционных отвер- стий в мебельном цоколе, шкафудля встраивания и под потолкомдолжна составлять минимум200 см² для беспрепятственногоотвода нагретого возд...
Страница 95 - Мебельная дверца; Поэтому обязательно учтите:
Указания по монтажу 95 Мебельная дверца Горизонтальный и вертикальныйзазор В зависимости от дизайна кухни оп-ределены толщина и радиус скругле-ния мебельной дверцы, а также окру-жающий зазор (горизонтальный ивертикальный). Поэтому обязательно учтите: - Горизонтальный зазор Зазор между мебельной двер...
Страница 96 - Укрепите промежуточный; Перед встраиванием прибора; Ни в коем случае не удаляйте
Указания по монтажу 96 Совет: Укрепите промежуточный слой между корпусом мебели и боко-вой стенкой. Так вы получите зазорсоответствующей ширины. Вес мебельной дверцы Монтаж мебельных дверец, вескоторых превышает допустимый,может привести к повреждениямдверных шарниров, которые всвою очередь могут пр...
Страница 98 - Размеры для встраивания; Морозильная
Размеры для встраивания 98 * Заявленное потребление электроэнергии рассчитано для глубины ниши 560мм. В нише глубиной 550 мм прибор будет полностью работоспособен, одна-ко, у него будет немного более высокое энергопотребление. Перед встраиванием обратите внимание на то, чтобы шкаф для встраиванияточ...
Страница 99 - Ограничивание угла открывания дверец прибора
Ограничивание угла открывания дверец прибора 99 Дверные шарниры на заводе отрегу-лированы таким образом, чтобыдверцы прибора могли открыватьсяшироко. Однако, если по определённым при-чинам угол открывания дверец дол-жен быть ограничен, то его можноотрегулировать с помощью шарнира. Если дверцы, напри...
Страница 100 - Изменение навески дверцы; Откройте обе дверцы прибора.
Изменение навески дверцы 100 Обязательно проводите изменениенавески дверцы при участии вто-рого человека. Прибор поставляется с правым упо-ром. Если необходим левый упор,дверь придётся перевесить: Для изменения навески дверцывам потребуются следующие ин-струменты: Откройте обе дверцы прибора. Сн...
Страница 101 - Немного ослабьте винты
Изменение навески дверцы 101 Опасность получения травм! Шар-ниры могут сложиться.Оставьте шарниры открытыми. Немного ослабьте винты и у шарниров. Сдвиньте дверцы прибора и наружу, снимите их с петель и от-ставьте в сторону. Полностью выверните шурупы . Переставьте крепёжный элеме...
Страница 102 - Не
Изменение навески дверцы 102 Выполните следующие действия собеими дверцами прибора. Ослабление дверного амортизато-ра Внимание! Дверной амортизатор вдемонтированном состоянии сжи-мается!Опасность получения травм! Положите демонтированную двер-цу внешней стороной вниз на ус-тойчивую поверхность. ...
Страница 104 - Встраивание прибора
Встраивание прибора 104 При установке прибора Вам пона-добится помощь второго человека. Встраивайте прибор только в нишуустойчивого кухонного шкафа, ко-торый стоит на горизонтальном ировном полу. Зафиксируйте шкаф для встраива-ния, чтобы предотвратить егоопрокидывание. Выровняйте мебельный шка...
Страница 105 - для монтажа мебельных дверец:; Подготовка прибора
Встраивание прибора 105 Вам потребуются следующие мон-тажные детали: Все монтажные детали имеют цифро-вую маркировку. Это обозначениемонтажной детали присутствует да-лее на соответствующем этапе мон-тажа. – для встраивания прибора в ни-ше: – для монтажа мебельных дверец: Все действия по монтажу де-м...
Страница 108 - Стенки толщиной 16 мм:
Встраивание прибора 108 Встраивание прибора Если прибор задвинут в нишуслишком далеко, после навешива-ния мебельных дверец дверцыприбора невозможно будет пра-вильно закрыть. Это может при-вести к обледенению, образова-нию конденсата и другим функцио-нальным неполадкам, вследствиекоторых может увелич...
Страница 109 - до передних краёв дета-; Закрепление прибора в нише
Встраивание прибора 109 Важно для мебели с такими час-тями ограничителя хода двери,как утолщения, уплотнения и т.п.: Чтобы и здесь было соблюдено рас-стояние по периметру в 42 мм , дол- жен быть также учтён конструктив-ный размер этих частей таким обра-зом. Выдвиньте прибор на соответству-ющее ра...
Страница 110 - с помощью шурупа
Встраивание прибора 110 Придвиньте неплотно сидящиекрепёжные уголки к стенке шкафа. Плотно приверните крепёжный уго-лок с помощью шурупа к стенке шкафа. При необходимостипредварительно просверлите встенке шкафа отверстие. Плотно приверните крепёжный уго-лок с помощью шурупов к стен...
Страница 111 - Монтаж мебельных дверец
Встраивание прибора 111 Для дополнительной фиксацииприбора в нише шкафа задвиньте между прибором и днищем шкафаприлагаемые бруски: Сначала на одном из брусков закрепите ручку . Задвигайте брусок в канал, покаэто возможно. Затем снимите руч-ку, закрепите её на другом прила-гаемом бруске и з...
Страница 112 - внутреннюю сторону
Встраивание прибора 112 Совет: Сдвиньте с помощью мебель- ного фронта упоры на высоту ме- бельных дверец прилегающих шка-фов. Отверните гайки и снимите кре- пежную планку вместе с упора- ми . Положите мебельную дверцу на-ружной стороной вниз на твердуюповерхность. Нарисуйте карандашом ...
Страница 113 - на крепежную планку со
Встраивание прибора 113 Надвиньте боковую облицовочнуюдеталь на крепежную планку со стороны шарниров. Переверните мебельную дверцу иустановите ручку (если требуется). Откройте дверцу прибора. Навесьте мебельную дверцу на ре-гулировочные стержни . Нетуго наверните гайки на регу- лиров...
Страница 116 - – Дверцы закрываются правильно.
Встраивание прибора 116 Так Вы можете убедиться, что при-бор встроен правильно: – Дверцы закрываются правильно. – Дверцы не прилегают к корпусу шкафа. – Уплотнение у верхнего угла со сто- роны ручек должно прилегатьплотно. Для проверки поставьте в приборвключенную настольную лампу изакройте дверцы...
Страница 117 - Гарантия качества товара
Гарантия качества товара 117 Уважаемый покупатель! Гарантийный срок на бытовую технику, ввезенную на территорию страны приобретения черезофициальных импортеров составляет 24 месяца, при условии использования изделия исключи-тельно для личных, семейных, домашних и иных нужд, не связанных с осуществле...
Страница 123 - Факс
Пpоизводитeль:Mилe & Ци. КГ, Карл-Миле-Штрасе, 29, 33332 Гютерсло, ГерманияMiele & Cie. KG, Carl-Miele-Straße 29, 33332 Gütersloh, Deutschland ООО "Миле"ул. Жилянская 48, 50A01033 Киев, УкраинаТелефон:Телефакс: Internet: www.miele.uaE-mail: info@miele.ua + 38 (044) 496 0300+ 38 (044)...