Sony CCD-TR3100E - инструкции и руководства
Видеокамера Sony CCD-TR3100E - инструкции пользователя по применению, эксплуатации и установке на русском языке читайте онлайн в формате pdf
Инструкции:
Инструкция по эксплуатации Sony CCD-TR3100E
Краткое содержание
2 Русский Добро пожаловать! Поздравляем Вас с приобретением даннойвидеокамеры Handycam® фирмы Sony. Спомощью Вашей видеокамеры Handycam Высможете запечатлеть дорогие Вам мгновенияжизни с превосходным качествомизображения и звука.Ваша видеокамера Handycam оснащенаусовершенствованными функциями, но в ...
4 Русский Перед началом эксплуатации Использование данного руководства ........... 5Проверка прилагаемых принадлежностей .. 7 Подготовка к эксплуатации Зарядка и установка батарейного блока ..... 8Вставка кассеты ........................................... 12 Основные операции Запись с помощью видео...
5 B efore you begin / Перед началом эксплуатации Be f o r e y o u b e g i n As you read through this manual, buttons andsettings on the camcorder are shown in capitalletters.e.g. Set the POWER switch to CAMERA.As indicated with ≥ in the illustrations, you can hear the beep sound to confirm your oper...
6 Usi n g t h i s m a n u a l Pr e ca u t i o n s o n ca m co r d e r ca r e • Do not let the camcorder get wet. Keep the camcorder away from rain and sea water.Letting the camcorder get wet may cause theunit to malfunction, and sometimes thismalfunction cannot be repaired [a ] . • Never leave the c...
8 Before using your camcorder, you first need tocharge and install the battery pack. To charge thebattery pack, use the supplied AC poweradaptor. This camcorder operates with the“InfoLITHIUM” battery. If you use any otherbattery to operate your camcorder, the camcordermay not operate or the battery ...
9 G etting s tarted / Подготовка к эксплуатации Ch a r g i n g t i m e Bat t ery pack Charging t ime* (min.) NP-F530 (supplied) 170 (110) NP-F730 250 (190) NP-F930 330 (270) * Approximate minutes to charge an empty battery pack using the supplied AC poweradaptor (full charge). (Lower temperaturesreq...
10 Not e on remaining bat t ery t ime indicat ionduring recording Remaining battery time is displayed in theviewfinder. However, the indication may not bedisplayed properly, depending on the conditionsand circumstances of use. To r e m o v e t h e b a t t e r y p a ck Slide the battery pack in the d...
11 G etting s tarted / Подготовка к эксплуатации I n st a l l i n g t h e b a t t e r y p a ck Align the grooves of the battery pack with thereceptacles of the camcorder and slide the batterypack down until it catches on the battery releaselever and clicks.Make sure the battery pack is installed sec...
12 Make sure that the power source is installed.When you want to record in the Hi8 system, useHi8 video cassette H . (1 ) While pressing the small blue button on theEJECT switch, slide it in the direction of thearrow. The cassette compartmentautomatically lifts up and opens. (2 ) Insert a cassette w...
13 B asic operat ions / Основные операции Ba si c o p e r a t i o n s Ca m e r a re co rd i n g Make sure that the power source is installed anda cassette is inserted. Before you record one-timeevents, you may want to make a trial recordingto make sure that the camcorder is workingcorrectly.When you...
14 To st o p r e co r d i n g m o m e n t a r i l y [ a ] Press START/STOP again. The “STBY” indicatorappears in the viewfinder ( St andby mode ). To f i n i sh r e co r d i n g [ b ] Press START/STOP again. Turn STANDBYdown and set the POWER switch to OFF. Then,eject the cassette, remove the batter...
15 B asic operat ions / Основные операции Not es on recording mode • This camcorder records and plays back in SP (standard play) mode and in LP (long play)mode. The playback quality in LP mode,however, will not be as good as that in SPmode. • When a tape recorded on this camcorder in LP mode is play...
16 Usi n g t h e zo o m f e a t u r e Zooming is a recording technique that lets youchange the size of the subject in the scene.For more professional-looking recordings, usethe zoom function sparingly.“T” side: for telephoto (subject appears closer)“W” side: for wide-angle (subject appears farther a...
17 B asic operat ions / Основные операции Not es on digit al zoom • More than 21x zoom is performed digitally, and the picture quality deteriorates as you gotoward the “T” side. If you do not want to usethe digital zoom, set the D ZOOM function toOFF in the menu system. • The right side [a] in the p...
19 B asic operat ions / Основные операции If you w ear glasses You can bend back the eyecup to get a betterview of viewfinder [c] . Caut ions on t he view f inder • Do not pick up the camcorder by the viewfinder [d ] . • Do not place the camcorder so as to point the viewfinder toward the sun. The in...
20 Ch e ck i n g t h ere co rd e d p i ct u re Using EDITSEARCH, you can review the lastrecorded scene or check the recorded picture inthe viewfinder. (1 ) While pressing the small green button on thePOWER switch, set it to CAMERA. (2 ) Turn STANDBY up. (3 ) Press the – Œ side of EDITSEARCH momentar...
21 B asic operat ions / Основные операции Co n n e ct i o n s f o rp l a y b a ck Connect the camcorder to your VCR or TV towatch the playback picture on the TV screen.There are some ways to connect the camcorder toyour TV. When monitoring the playback pictureby connecting the camcorder to your TV, ...
22 I f y o u co n n e ct d i r e ct l y t o TV Open the jack cover and connect the camcorderto the inputs on the TV by using the supplied A/V connecting cable. Set the TV/VCR selector onthe TV to VCR. I f y o u r V CR o r TV i s a m o n a u r a l t y p e Connect only the white plug for audio on both...
23 B asic operat ions / Основные операции Pl a y i n g b a ck a t a p e You can monitor the playback picture in theviewfinder. You can also monitor a picture on aTV screen, after connecting the camcorder to aTV or VCR. (1 ) While pressing the small green button on thePOWER switch, set it to PLAYER. ...
24 To display t he view f inder screen indicat ors ont he TV Press DISPLAY on the Remote Commander. Toerase the indicators, press DISPLAY again. To monit or t he sound w hile view ing t heplayback pict ure in t he view f inder Connect headphones (not supplied) to the 2 jack. V a r i o u s p l a y b ...
25 B asic operat ions / Основные операции Pl a y i n g b a ck a t a p e To v i e w t h e p i ct u r e a t d o u b l e sp e e d For double speed playback in the reversedirection, press < , then press x2 on the Remote Commander during playback. Fordouble speed playback in the forward direction,pres...
26 D i sp l a y i n g t h e d a t e o r t i m ew h e n y o u r e co r d e d – d a t a co d ef u n ct i o n Even if you did not record the date or time whenyou were recording, you can display the date ortime when you recorded (Data Code) on the TVduring playback or editing. The Data Code is alsodispl...
27 B asic operat ions / Основные операции Pl a y i n g b a ck a t a p e W hen bars (––:––:––) appear • A blank portion of the tape is being played back. • The tape was recorded by a camcorder without the Data Code function. • The tape was recorded by a camcorder without having date and time set. • T...
28 You can choose any of the following powersources for your camcorder: battery pack,alkaline battery, mains and 12/24 V car battery.Choose the appropriate power source dependingon where you want to use your camcorder. Place Indoors Out doors In t he car Not e on pow er sources Disconnecting the pow...
29 Advanc ed Operat ions / Усовершенствованные операции Usi n g a l t e r n a t i v e p o w e r so u r ce s Not es on t he VTR/ CAM ERA lamp • The VTR/CAMERA lamp will remain lit for a while even if the unit is unplugged after use.This is normal. • If the VTR/CAMERA lamp does not light, disconnect t...
30 Usi n g a l t e r n a t i v e p o w e r so u r ce s Ba t t e r y l i f e Using Sony alkaline batteries at 25°C (77°F). Cont inuous Typical recording t ime recording t ime 85 min. 50 min. Not es on t he bat t ery lif e • You may not use the battery case in cold environment. • The battery life may ...
31 Advanc ed Operat ions / Усовершенствованные операции Ch a n g i n g t h e m o d ese t t i n g s You can change the mode settings in the menusystem to further enjoy the features andfunctions of the camcorder. (1 ) Press MENU to display the menu. (2 ) Turn the control dial so that the desired itemi...
32 Ch a n g i n g t h e m o d e se t t i n g s Se l e ct i n g t h e m o d e se t t i n g o fe a ch i t e m I t e m s f o r b o t h CA M ERA a n d PLA Y ERm o d e s COUNTER <NORM AL/ TIM E CODE> • Normally select NORMAL.• Select TIME CODE to display the RC time code in order to edit more preci...
33 Advanc ed Operat ions / Усовершенствованные операции REC M ODE* <SP/ LP> • Select SP when recording in SP (standard play) mode. • Select LP when recording in LP (long play) mode. D ZOOM * <ON/ OFF> • Select ON to activate digital zooming.• Select OFF to not use the digital zoom. The c...
34 I t e m s f o r PLA Y ER m o d e o n l y EDIT <ON/ OFF> • Select ON to minimize picture deterioration when editing. • Normally select OFF. HiFi SOUND <STEREO/ 1/ 2> • Normally select STEREO.• Select 1 or 2 to play back a dual sound track tape. NTSC PB <ON PAL TV/ NTSC 4.43> • No...
35 Advanc ed Operat ions / Усовершенствованные операции Re co rd i n g w i t h t h ed a t e o r t i m e Before you start recording or during recording,press DATE or TIME. You can record the date ortime displayed in the viewfinder with thepicture. You cannot record the date and time atthe same time. ...
36 You can fade in or out to give your recording aprofessional appearance.When fading in, the picture gradually fades infrom black or mosaic while the sound increases.When fading out, the picture gradually fades toblack or mosaic while the sound decreases. W h e n f a d i n g i n [ a ] (1 ) While th...
37 Advanc ed Operat ions / Усовершенствованные операции To ca n ce l t h e f a d e -i n /f a d e -o u tf u n ct i o n Before pressing START/STOP, press FADER/OVERLAP until the fade indicator disappears. W hen t he dat e or t ime indicat or is displayed The date or time indicator does not fade in orf...
38 Наложение двух изображений Ov e r l a p p i n g t w o p i ct u r e s (1 ) While the camcorder is in Standby mode,press FADER/OVERLAP repeatedly so thatthe OVERLAP indicator appears in theviewfinder. (2 ) Press START/STOP to record the next scene.The OVERLAP indicator disappears after theoverlappi...
40 Not es on w ipe • You cannot use the following functions while using the wipe function. Also, while using thefollowing functions, you cannot use the wipefunction. – Digital effect– Slow shutter– Title • You can select wipe during recording.• When you select the wipe function after using the follo...
41 Advanc ed Operat ions / Усовершенствованные операции En j o y i n g p i ct u ree f f e ct Se l e ct i n g p i ct u r e e f f e ct You can make pictures like those of televisionwith the Picture Effect function. M OSAIC [a ] The picture is mosaic. SOLARIZE [b ] The light intensity is more clear, an...
42 En j o y i n g p i ct u r e e f f e ct Наслаждение эффектамиизображения Usi n g p i ct u r e e f f e ct f u n ct i o n (1 ) Press PICTURE EFFECT. (2 ) Turn the control dial to select the desiredpicture effect mode. To t u r n o f f p i ct u r e e f f e ct Press PICTURE EFFECT to turn off the pict...
44 To ca n ce l st i l l m o d e Press DIGITAL EFFECT to turn off the stillindicator. If the indicator remains lit, press itrepeatedly until the indicator goes out. Not es on st ill mode • You cannot use the following functions while recording a still picture.– Fade-in or fade-out– Mosaic fader– Ove...
45 Advanc ed Operat ions / Усовершенствованные операции Using the Flash motion function, you can recordstill pictures successively at constant intervals.You can select intervals by adjusting the flashbars with the control dial. The sound is recordednormally during Flash motion. (1 ) Press DIGITAL EF...
46 To ca n ce l t h e f l a sh m o t i o n Press DIGITAL EFFECT to turn off the flashmotion indicator. If the indicator remains lit,press it repeatedly until the indicator goes out. Not es on t he f lash mot ion • The following functions does not work during the flash motion.– Fade-in or fade-out– O...
47 Advanc ed Operat ions / Усовершенствованные операции Su p e r i m p o si n g a m o v i n gp i ct u r e o n a st i l l p i ct u r e (1 ) Press DIGITAL EFFECT and turn the controldial to select the luminancekey indicator. (2 ) Press the control dial to select luminancekeymode.The luminancekey indic...
48 Re-recording a pict ure in t hem iddle of a recorded t ape You can insert a scene in the middle of arecorded tape by setting the starting and endingpoints. The previous recorded portion will beerased. If the RC time code appears in theviewfinder, set COUNTER to NORMAL in themenu system to display...
49 Advanc ed Operat ions / Усовершенствованные операции To ch a n g e t h e e n d p o i n t Press ZERO MEM to erase the ZERO MEMindicator, then repeat steps 2 to 5. Not e on re-recording The picture and the sound may be distorted atthe end of the inserted portion when it is playedback. Re -r e co r ...
50 Se l e ct i n g t h e d e si r e d m o d e You can record a cinemalike picture (CINEMA)or a 16:9 wide picture to watch on the 16:9 wide-screen TV (16:9 FULL). CI N EM A Black bands appear at the top and the bottom ofthe screen, and the viewfinder [a] and a normal TV screen [b ] look wide. You can...
51 Advanc ed Operat ions / Усовершенствованные операции Usi n g t h e w i d e m o d e f u n ct i o n While the camcorder is in Standby mode, press16:9WIDE repeatedly so that the desired modeindicator appears in the viewfinder. To ca n ce l w i d e m o d e Press 16:9WIDE repeatedly until the wide mod...
52 Your camcorder has two modes besides normalstart/stop mode. These modes enable you to takea series of quick shots resulting in a lively video. (1 ) Set the START/STOP MODE switch to thedesired mode. : Recording starts when you press START/ STOP, and stops when you press it again(normal mode). (AN...
53 Advanc ed Operat ions / Усовершенствованные операции Su p e r i m p o si n g a t i t l e You can select one of eight preset titles. You canalso select the language, position, and colour oftitles in the menu system. Se l e ct i n g t h e l a n g u a g e (1 ) While the camcorder is in Standby mode,...
54 Usi n g t i t l e s To a d d t h e t i t l e f r o m t h e b e g i n n i n g (1 ) While the camcorder is in Standby mode,press TITLE repeatedly until the desired titleappears.Each time a new title appears, it flashes. Whenthe desired title appears, wait for it to stopflashing.Titles cycle as foll...
55 Advanc ed Operat ions / Усовершенствованные операции To se l e ct t h e co l o u r o f t h e t i t l e (1 ) While in Standby mode, press MENU todisplay the menu. (2 ) Turn the control dial to select TITLE COL andpress the control dial to select it.The colour menu appears. (3 ) Turn the control di...
56 M a k i n g y o u r o w no r i g i n a l t i t l e s You can make up to two titles and store them inthe camcorder.Eject the cassette before you begin. Your title canhave up to 22 letters. (1 ) While in Standby mode, press MENU todisplay the menu. (2 ) Turn the control dial to select TITLE 1 SET o...
57 Advanc ed Operat ions / Усовершенствованные операции If you do not hing more t han 5 minut es The power goes off automatically. TurnSTANDBY down once, turn it again up andproceed from step 3. To delet e a t it le At the leftmost character position, select S and press TITLE. Do not erase the title...
58 Use this feature to check the tape conditionbefore recording, so that you can get the bestpossible picture. (1) While in Standby mode, press MENU todisplay the menu. (2) Turn the control dial to highlight ORC TOSET and press the control dial to select it.“START/STOP KEY” appears. (3) Press START/...
59 Advanc ed Operat ions / Усовершенствованные операции Re l e a si n g t h e STEA D YSHOT f u n ct i o n When you shoot, the indicator appears in the viewfinder. This indicates that the Steady Shotfunction is working and the camcordercompensates for camera-shake. Set STEADY SHOT to OFF. To a ct i v...
61 Advanc ed Operat ions / Усовершенствованные операции Русский Выбор режимов автоматической/ручной регулировки Автоматические функции видеокамеры позволяют Вам осуществлять беззаботнуюэксплуатацию практически во всех условиях съемки. Но при некоторых обстоятельствахручная регулировка приводит к соз...
62 Fo cu si n g m a n u a l l y W h e n t o u se m a n u a l f o cu s In the following cases you should obtain betterresults by adjusting the focus manually. • Insufficient light [a ] • Subjects with little contrast – walls, sky, etc. [b ] • Too much brightness behind the subject [c] • Horizontal st...
63 Advanc ed Operat ions / Усовершенствованные операции Fo cu si n g m a n u a l l y Fo cu si n g m a n u a l l y When focusing manually, first focus in telephotobefore recording, and then reset the shot length. (1 ) Set FOCUS to MANUAL. The f indicator appears in the viewfinder. (2 ) Move the power...
64 To r e co r d a v e r y d i st a n t su b j e ct Push FOCUS down to INFINITY. The lensfocuses on the most distant subject while FOCUSis held down.When it is released, manual focus mode isresumed. Use this function when shootingthrough a window or a screen, to focus on a moredistant subject. Not e...
65 Advanc ed Operat ions / Усовершенствованные операции Usi n g t h e PROGRA M A EFu n ct i o n Usi n g t h e a p e r t u r e p r i o r i t ym o d e You can select the aperture to determine thedesired depth of focus field. The shutter speed isautomatically set (between 1/50 and 1/1750)according to t...
66 Usi n g t h e sh u t t e r p r i o r i t y m o d e You can select the shutter speed between 1/50and 1/10000. When you select a faster shutterspeed, movement appears clearer with lessshaking. The aperture value is automaticallyadjusted according to the selected shutter speedto maintain appropriate...
67 Advanc ed Operat ions / Усовершенствованные операции To r e t u r n t o a u t o m a t i c a d j u st m e n tm o d e Set AUTO LOCK/HOLD to AUTO LOCK, orpress PROGRAM AE so that no indicatorappears in the viewfinder. W hen t he apert ure value is aut omat icallyadjust ed t o F1.6 We recommend shoot...
68 Usi n g t h e PROGRA M A EFu n ct i o n Usi n g t h e t w i l i g h t m o d e You can record a bright subject in a dark placewithout ruining the atmosphere. The aperture isautomatically adjusted to maintain theappropriate exposure. The shutter speed is fixedat 1/50. This mode is effective when yo...
69 Advanc ed Operat ions / Усовершенствованные операции The manual mode features an advancedrecording technique by controlling the exposurewith a combination of adjustments of theaperture value, shutter speed and gain level. W h e n t o u se m a n u a l m o d e • When the background is too bright (b...
70 Usi n g m a n u a l m o d e Использование ручного режима Sh o o t i n g i n m a n u a l m o d e In manual mode, you can adjust the aperture,shutter speed and gain independently. Use thegraph on page 73 for your reference to set a valueof each item. (1 ) Set AUTO LOCK/HOLD to the centreposition. (...
71 Advanc ed Operat ions / Усовершенствованные операции To adjust t he shut t er speed You can select the shutter speed from thefollowing 20 speeds:1/3, 1/6, 1/12, 1/25, 1/50, 1/75, 1/100, 1/120,1/150, 1/215, 1/300, 1/425, 1/600, 1/1000,1/1250, 1/1750, 1/2500, 1/3500, 1/6000, 1/10000.To increase the...
72 If you want to record a dark picture brightly, orrepresent the movement of the subject lively, setthe shutter speed to 1/25, 1/12, 1/6 or 1/3 (Slowshutter). (1 ) Set AUTO LOCK/HOLD to the centreposition. (2 ) Press SHUTTER SPEED.The shutter speed value indicator appears inthe display. (3 ) Turn t...
73 Advanc ed Operat ions / Усовершенствованные операции Ti p s f o r m a n u a la d j u st m e n t When you shoot in manual adjustment mode, werecommend you to keep the exposure fixed tomake a clear picture. This section shows youwhat the exposure is and how to adjust each itemwith the exposure fixe...
74 Cr e a t i n g a d e si r e d p i ct u r ew i t h o u t ch a n g i n g t h e e x p o su r e W hen t he apert ure value is F11, t he shut t erspeed is 1/ 50, and t he gain level is 0 dB, adjustt he apert ure value manually t o F5.6, as anexample. If you change the aperture value from F11 to F5.6in...
75 Advanc ed Operat ions / Усовершенствованные операции Sh o o t i n g w i t hb a ck l i g h t i n g When you shoot a subject with the light sourcebehind the subject or a subject with a lightbackground, use the BACK LIGHT function. Press BACK LIGHT. The c indicator appears in the viewfinder. [a] Sub...
76 When you shoot in a snowfield or on a beach inthe mid-summer and the subject may becomedark because of the extreme brightness, you canchange the brightness of the picture in the menusystem. You can also use this function when thesubject is too bright — subjects on stages, nightviews, etc. (1 ) Wh...
77 Advanc ed Operat ions / Усовершенствованные операции A d j u st i n g t h e w h i t eb a l a n ce White balance is the adjustment to make whitesubjects look white and to obtain a more naturalcolour balance. Se l e ct i n g t h e a p p r o p r i a t e m o d e Select the appropriate white balance m...
78 A d j u st i n g t h e w h i t e b a l a n ce Se t t i n g t h e w h i t e b a l a n ce m o d e (1 ) Set AUTO LOCK/HOLD to the centreposition. (2 ) Press WHT BAL so that the white balanceindicator appears in the viewfinder. (3 ) Turn the control dial to select the desiredmode.When you select one ...
79 Advanc ed Operat ions / Усовершенствованные операции A d j u st i n g w h i t e b a l a n cem a n u a l l y ( On e p u sh w h i t eb a l a n ce m o d e ) You can set the white balance for a particularlighting condition manually. When the whitebalance is set manually, the colours of the objectbein...
81 Advanc ed Operat ions / Усовершенствованные операции You can search for the boundary betweenrecording dates using the Date Codeautomatically recorded on the tape.There are two modes:• Searching for the beginning of a specific date, and playing back from there ( Dat e Search ) • Searching for the ...
82 To st op searching or scanning Press one of the following tape transport buttons: · , π , 0 or ) . To view pict ures during searching or scanning Press · and then press 0 or ) . Not es on Dat e Search and Dat e Scan mode • If a day’s recording is not longer than 2 minutes, the camcorder may not a...
83 Advanc ed Operat ions / Усовершенствованные операции Re t u r n i n g t o a p re -re g i st e re d p o si t i o n Using the Remote Commander, you can easily goback to the desired point on a tape afterplayback. Use the tape counter. If the RC timecode appears in the viewfinder, set COUNTER toNORMA...
85 Advanc ed Operat ions / Усовершенствованные операции Нахождение отмеченнойпозиции Lo ca t i n g t h e m a r k i n g p o si t i o n Not es on marking • Make sure you mark index signals at more than two-minute intervals. Otherwise, you may notbe able to search for them correctly. • If you stop reco...
86 Sca n n i n g t h e b e g i n n i n g o f e a chm a r k i n g p o si t i o n – i n d e x sca n Use the Remote Commander. To view the pictureon a TV, press DISPLAY. (1 ) Press INDEX on the Remote Commanderduring normal playback. (2 ) Press 0 or ) . The tape rewinds or advances rapidly and plays ba...
87 Advanc ed Operat ions / Усовершенствованные операции Lo ca t i n g t h e d e si r e d m a r k i n gp o si t i o n – i n d e x se a r ch (1 ) Press INDEX on the Remote Commanderduring stop or playback mode. (2 ) Press INDEX repeatedly until the indexnumber of the desired programme isdisplayed in t...
88 Er a si n g a n i n d e x si g n a l (1 ) Locate the index signal to be erased using theindex scan or index search function. (2 ) Press INDEX ERASE on the RemoteCommander within 2 to 10 seconds while thedesired programme plays back. After theindex signal is erased, the camcorder returnsto index s...
89 Advanc ed Operat ions / Усовершенствованные операции Wr i t i n g t h e RC Ti m eco d e o n a re co rd e d t a p e You can write the RC time code on a recordedtape. Use the Remote Commander. (1 ) While pressing the small green button on thePOWER switch, set it to PLAYER. (2 ) Rewind the tape to t...
91 Advanc ed Operat ions / Усовершенствованные операции Ed i t i n g o n t o a n o t h e rt a p e You can create your own video programme byediting with any other h 8 mm, H Hi8, j VHS, k S-VHS, VHSC, K S-VHSC or l Betamax VCR that has video/audio inputs. Be f o r e e d i t i n g Connect the camcor...
92 Начало монтажа (1 ) Вставьте чистую ленту (или ленту,которую Вы хотите перезаписать) в КВМи вставьте Вашу записанную ленту ввидеокамеру. (2 ) Воспроизводите записанную ленту ввидеокамере до тех пор, пока Вы необнаружите точку, откуда Вы хотитеначать монтаж, а затем нажмите P для установки видеока...
93 Addit ional Inf ormat ion / Дополнительная информация Your camcorder is supplied with a lithiumbattery installed. When the battery becomesweak or dead, the I indicator flashes in the viewfinder for about 5 seconds when you set thePOWER switch to CAMERA. In this case, replace t he bat t ery w it h...
95 Addit ional Inf ormat ion / Дополнительная информация Re se t t i n g t h e d a t ea n d t i m e You can set the date and time in the menusystem. (1 ) Press MENU to display the menu in theviewfinder. (2 ) Turn the control dial to highlight CLOCKSET, and press the control dial to select it. (3 ) T...
96 To ch e ck t h e p r e se t d a t e a n d t i m e Press DATE to display the date indicator in theviewfinder.Press TIME to display the time indicator.When you press the same button again, theindicator goes off. The year indicat or changes as f ollow s: Not e on t he t ime indicat or The internal c...
97 Addit ional Inf ormat ion / Дополнительная информация W h e n y o u p l a y b a ck The playback mode (SP/LP or Hi8/standard8 mm) is selected automatically according to theformat in which the tape has been recorded. Thequality of the recorded picture in LP mode,however, will not be as good as that...
98 • You cannot play back a tape recorded in NTSC video system with LP mode neither on theviewfinder nor on a TV screen. • If a tape has portions recorded in PAL and NTSC video systems, the tape counter readingis not correct. This discrepancy is due to thedifference between the counting cycle of the...
99 Addit ional Inf ormat ion / Дополнительная информация Ti p s f o r u si n g t h e b a t t e r y p a ck Советы по использованиюбатарейного блока W h e n t o r e p l a ce t h e b a t t e r yp a ck While you are using your camcorder, theremaining battery indicator in the viewfinderdecreases graduall...
100 Ti p s f o r u si n g t h e b a t t e r y p a ck Th e sw i t ch o n t h e b a t t e r y p a ck This switch is provided so that you can mark thecharged battery pack. Set the switch to the “greenmark” position when charging is completed.(When removed from the charging adaptor, theswitch exposes th...
101 Addit ional Inf ormat ion / Дополнительная информация Ti p s f o r u si n g t h e b a t t e r y p a ck Ho w t h e b a t t e r y co n su m p t i o n i sd i sp l a y e d The power consumption of the camcorderchanges depending on its use, such as how theautofocusing is working.While checking the co...
102 Ti p s f o r u si n g t h e b a t t e r y p a ck W h y t h e r e m a i n i n g b a t t e r yi n d i ca t i o n d o e s n o t m a t ch t h eco n t i n u o u s r e co r d i n g t i m e i n t h eo p e r a t i o n m a n u a l The recording time is affected by theenvironmental temperature and conditi...
103 Addit ional Inf ormat ion / Дополнительная информация Ti p s f o r u si n g t h e b a t t e r y p a ck N o t e s o n t h e t e r m i n a l s If t he t erminals (met al part s on t he back) arenot clean, t he bat t ery charge durat ion w ill beshort ened. When the terminals are not clean or when ...
104 M a i n t e n a n ce i n f o r m a t i o na n d p re ca u t i o n s M o i st u r e co n d e n sa t i o n If the camcorder is brought directly from a coldplace to a warm place, moisture may condenseinside the camcorder, on the surface of the tape,or on the lens. In this condition, the tape maysti...
105 Addit ional Inf ormat ion / Дополнительная информация M a i n t e n a n ce i n f o r m a t i o n a n dp r e ca u t i o n s Информация по уходу зааппаратом и предосторожности V i d e o h e a d cl e a n i n g To ensure normal recording and clear pictures,clean the video heads. When the v indicator...
106 Re m o v i n g d u st f r o m i n si d e t h ev i e w f i n d e r (1 ) Remove the screw with a screwdriver (notsupplied). Then, while sliding the RELEASEknob, turn the eyecup in the direction of thearrow and pull it out. (2 ) Clean the surface with a commerciallyavailable blower. To r e a t t a ...
107 Addit ional Inf ormat ion / Дополнительная информация M a i n t e n a n ce i n f o r m a t i o n a n dp r e ca u t i o n s Информация по уходу зааппаратом и предосторожности • For DC or AC operation, use the accessories recommended in this manual. • Should any solid object or liquid get inside t...
108 Ot hers • Unplug the unit from the mains when not in use for a long time. To disconnect the mainslead, pull it out by the plug. Never pull themains lead itself. • Do not operate the unit with a damaged cord or if the unit has been dropped or damaged. • Do not bend the AC mains lead forcibly, or ...
109 Addit ional Inf ormat ion / Дополнительная информация Usi n g y o u r ca m co rd e ra b ro a d Each country or area has its own electric and TVcolour systems. Before using your camcorderabroad, check the following points. Po w e r so u r ce s You can use your camcorder in any country orarea with...
114 Если у Вас возникла какая-либо проблема при использовании видеокамеры, воспользуйтесьследующей таблицей для отыскания и устранения проблемы.Если трудности все еще остаются, то отсоедините источник питания и свяжитесь с Вашимдилеру Sony или местным уполномоченным предприятием по обслуживанию Sony...
115 Addit ional Inf ormat ion / Дополнительная информация Работа Признак Запись останавливается черезнесколько секунд. Кассета не может быть вынутаиз держателя. Мигают индикаторы { и 6 , и никакие функции, заисключением выталкиваниякассеты, не работают. Мигает индикатор счетчика,даты или времени. Ле...
116 Причина и/или действия по исправлению • Объектив видоискателя не отрегулирован. m Отрегулируйте объектив видоискателя. (стр. 14) • Слишком высокий контраст между объектом и фоном. Камера не является неисправной. m Измените позицию съемки. • Не была нажата кнопка DISPLAY на пульте дистанционного ...
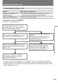
117 Addit ional Inf ormat ion / Дополнительная информация Проверка неисправностей Сетевой адаптер перем. тока Признак Лампочка VTR/CAMERA илиCHARGE не горит. Лампочка CHARGE мигает. Когда мигает лампочка CHARGE Проверьте по следующей схеме. Действия по исправлению • Отсоедините сетевой провод. Прибл...
119 Addit ional Inf ormat ion / Дополнительная информация Русский Технические характеристики Видеокамера Система Система видеозаписи Две вращающиеся головки,система ЧМ наклонноймеханической развертки Система аудиозаписи Вращающиеся головки, системаЧМ Видеосигнал Цветовой сигнал PAL, стандартCCIR Исп...
121 Addit ional Inf ormat ion / Дополнительная информация I d e n t i f y i n g t h e Pa r t s !ª EJECT sw it ch (p.12) @º LANC l cont rol jack l stands for Local Application Control Bus System. The l control jack is used for controlling the tape transport of videoequipment and peripherals connected...
124 To W a t ch t h e d e m o n st r a t i o n You can watch a brief demonstration of pictureswith special effects.If the demonstration appears when you turn onthe camcorder for the first time, exit the demomode to use your camcorder. For details on thelocation of the buttons, refer to the pages 120...
125 Addit ional Inf ormat ion / Дополнительная информация Re m o t e Co m m a n d e r The buttons that have the same name on theRemote Commander as on the camcorderfunction identically. 1 COUNTER RESET but t on (p.15, 48, 83) 2 TIM E CODE W RITE but t on (p.89) 3 INDEX M ARK but t on (p.84) 4 DATE S...
126 I d e n t i f y i n g t h e Pa r t s Опознавание частей To p r e p a r e t h e Re m o t e Co m m a n d e r To use the Remote Commander, you must inserttwo R6 (size AA) batteries. Use the supplied R6(size AA) batteries. (1 ) Remove the battery cover from the RemoteCommander. (2 ) Insert both of t...
127 Addit ional Inf ormat ion / Дополнительная информация 15 ° 15 ° 30 ° 25 ° 5m Re m o t e co n t r o l d i r e ct i o n Not es on t he remot e commander • Keep the remote sensor away from strong light sources such as direct sunlight or illumination.Otherwise, the remote control may not beeffective...
130 Wa r n i n g i n d i ca t o r s If indicators flash in the viewfinder or in thedisplay window, check the following: ≥ : you can hear the beep sound when the BEEP is set to ON. 1 The bat t ery is w eak or dead. Slow flashing: The battery is weak.Fast flashing: The battery is dead. 2 The t ape is ...
Sony Corporation Printed in Japan Алфавитный указатель А, Б, В Автоматическая фокусировка ....................... 63 Автомобильный аккумулятор ........................ 30 Апертура ................................ 70Введение/выведение изображения ............... 36 – 37 Воспроизведение на телевизоре ...
Sony Видеокамеры Инструкции
-
Sony CCD-TR2300E
Инструкция по эксплуатации
-
Sony CCD-TR311E
Инструкция по эксплуатации
-
Sony CCD-TR315E
Инструкция по эксплуатации
-
Sony CCD-TR317E
Инструкция по эксплуатации
-
Sony CCD-TR3300E
Инструкция по эксплуатации
-
Sony CCD-TR3400E
Инструкция по эксплуатации
-
Sony CCD-TR411E / CCD-TR412E
Инструкция по эксплуатации
-
Sony CCD-TR415E
Инструкция по эксплуатации
-
Sony CCD-TR417E
Инструкция по эксплуатации
-
Sony CCD-TR425E
Инструкция по эксплуатации
-
Sony CCD-TR427E
Инструкция по эксплуатации
-
Sony CCD-TR501E / CCD-TR502E
Инструкция по эксплуатации
-
Sony CCD-TR503E / CCD-TR506E
Инструкция по эксплуатации
-
Sony CCD-TR511E / CCD-TR512E
Инструкция по эксплуатации
-
Sony CCD-TR515E
Инструкция по эксплуатации
-
Sony CCD-TR516E
Инструкция по эксплуатации
-
Sony CCD-TR617E
Инструкция по эксплуатации
-
Sony CCD-TR618E
Инструкция по эксплуатации
-
Sony CCD-TR640E
Инструкция по эксплуатации
-
Sony CCD-TR648E
Инструкция по эксплуатации