Acer H6541BD (MR.JT011.007) - инструкции и руководства
Проектор Acer H6541BD (MR.JT011.007) - инструкции пользователя по применению, эксплуатации и установке на русском языке читайте онлайн в формате pdf
Инструкции:
Инструкция по эксплуатации Acer H6541BD (MR.JT011.007)
1
2
3
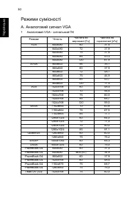
4
5
6
7
8
9
10
11
12
13
14
15
16
17
18
19
20
21
22
23
24
25
26
27
28
29
30
31
32
33
34
35
36
37
38
39
40
41
42
43
44
45
46
47
48
49
50
51
52
53
54
55
56
57
58
59
60
61
62
63
64
65
66
67
68
69
70
Acer Проекторы Инструкции
-
Acer B250i (MR.JS911.001)
Инструкция по эксплуатации
-
Acer H5350
Инструкция по эксплуатации
-
Acer H5385BDi
Инструкция по эксплуатации
-
Acer H6518STi
Инструкция по эксплуатации
-
Acer H6523BDP
Инструкция по эксплуатации
-
Acer H6541BDK
Инструкция по эксплуатации
-
Acer H6800BDa (MR.JTB11.00M)
Инструкция по эксплуатации
-
Acer P1166_P_P1266_P_n_i_P1270
Инструкция по эксплуатации
-
Acer P1260BTi
Инструкция по эксплуатации
-
Acer P1260BTi (MR.JSW11.001)
Инструкция по эксплуатации
-
Acer P1557Ki
Инструкция по эксплуатации
-
Acer P1560BTi (MR.JSY11.001)
Инструкция по эксплуатации
-
Acer P1657Ki (MR.JV411.001)
Инструкция по эксплуатации
-
Acer P5535
Инструкция по эксплуатации
-
Acer P6505 (MR.JUL11.001)
Инструкция по эксплуатации
-
Acer PD1320Wi
Инструкция по эксплуатации
-
Acer Predator GM712
Инструкция по эксплуатации
-
Acer S1286Hn
Инструкция по эксплуатации
-
Acer S1386WH
Инструкция по эксплуатации
-
Acer UL6200
Инструкция по эксплуатации