Страница 3 - iii; Информация
iii Информация , касающаяся безопасности и удобства использования Внимательно прочитайте настоящие инструкции . Сохраните настоящий документ для использования в будущем . Следуйте всем предупреждениям и указаниям , имеющимся на данном изделии . Выключение изделия перед очисткой Отключите данное изде...
Страница 4 - iv; Использование; Обслуживание
iv • Не рекомендуется использовать прибор во время занятий спортом , тренировок или в других условиях , когда возможны сотрясения , так как это может вызвать непредвиденное короткое замыкание или повреждение вращающихся деталей и лампы . Использование электропитания • Это изделие необходимо эксплуат...
Страница 7 - vii
vii Меры предосторожности , связанные со слухом Для защиты органов слуха соблюдайте следующие рекомендации . • Увеличивайте громкость постепенно до нужного уровня . • Не увеличивайте уровень громкости , если уши уже к нему привыкли . • Не слушайте музыку на большой громкости в течение длительного вр...
Страница 8 - viii; Основные; Примечания; Меры
viii Основные сведения Примечания по использованию Необходимо : • Пожалуйста , подключите беспроводной адаптер UWA5 к порту Wireless Kit перед первым включением проектора . • Если пользователь сначала включил проектор , а затем подключил беспроводный адаптер UWA5, необходимо перезапустить проектор ....
Страница 9 - ix; Очистка
ix • Не используйте крышку объектива при работающем проекторе . • Когда истекает срок действия лампы , она перегорает и издает громкий звук , похожий на лопание . В этом случае проектор не включится , пока модуль лампы не будет заменен . Для замены лампы обратитесь к местному продавцу или в сервисны...
Страница 10 - Со
Информация , касающаяся безопасности и удобства использования iii Основные сведения viii Примечания по использованию viii Меры предосторожности viii Очистка объектива ix Введение 1 Характеристики изделия 1 Комплектность 2 Краткое описание проектора 3 Внешний вид проектора 3 Панель управления 5 Распо...
Страница 12 - Введение; Характеристики
1 Ру сский Введение Характеристики изделия Данное изделие представляет собой проектор на одном чипе DLP ® . Ниже перечислены его основные характеристики . • Технология DLP ® • Разрешение 4K UHD • Включает проецирование 3D- содержимого посредством технологии DLP Link: Поддерживается DLP 3D • Высокая ...
Страница 13 - Комплектность
2 Русский Комплектность Данный проектор поставляется со всеми указанными ниже компонентами . Проверьте наличие всех компонентов , входящих в комплект поставки . Немедленно обратитесь к продавцу в случае отсутствия какого - либо из компонентов . Примечание : При проецировании сигнала 4K2K/60 Гц реком...
Страница 14 - Краткое; Внешний; Передняя
3 Ру сский Краткое описание проектора Внешний вид проектора Передняя / верхняя панель # Описание # Описание 1 Крышка лампы 7 Кольцо фокусировки 2 Отверстие для вывода воздуха 8 Приемник дистанционного управления 3 Панель управления 9 Объектив проектора 4 Кнопки питание 10 Крышка объектива 5 Кольцо т...
Страница 16 - Панель
5 Ру сский Панель управления Примечание 1. Функции зависят от определения модели . Примечание 2. Клавиатура не может управлять и работать с изображениями SMART # Значок Функция Описание 1 Питание Питание Светодиодный индикатор питания 2 ЛАМПА ЛАМПА Светодиодный индикатор лампы 3 ТЕМПЕРАТУРА ТЕМПЕРАТ...
Страница 19 - Подключение
8 Русский Подготовка к эксплуатации Подключение проектора # Описание # Описание 1 Кабель питания 6 Кабель компонентного видеосигнала с 3 разъемами RCA 2 Аудио кабель 7 Кабель USB 3 Кабель HDMI 8 Кабель RS232 4 Адаптер VGA - компонентный видеосигнал /HDTV 9 Кабель S/PDIF 5 Кабель VGA 10 Адаптер USB R...
Страница 23 - Настройка; Подъем
12 Русский Настройка проецируемого изображения Настройка высоты проецируемого изображения Проектор оснащен подъемными ножками для настройки высоты изображения . Подъем и опускание изображения : для точной настройки угла отображения используйте колесо регулировки наклона . Регулятор наклона
Страница 25 - Экранные
14 Русский Органы управления Экранные меню Проектор поддерживает экранные меню на нескольких языках , которые позволяют настраивать изображение и изменять различные параметры . Использование экранных меню • Чтобы открыть экранное меню , нажмите кнопку " Меню " на пульте ДУ или на панели упра...
Страница 28 - Образ
17 Ру сский Образ Проектирование • Спереди : стандартная заводская настройка . • Сзади : зеркально переворачивает ( меняет местами левую и правую стороны ) изображение так , что проецирование можно производить сзади на полупрозрачный экран . Место проецирования • Автоматический : автоматическая наст...
Страница 30 - Настр
19 Ру сский Примечание 1: Функции " Н позиция ", "V позиция ", " Частота " и " Отслеживание " не поддерживаются при работе с компьютером или в режиме HDMI. Примечание 2. Функции " Диапазон цветов HDMI" и " Информ . о сканир . HDMI" поддерживаются тольк...
Страница 31 - Управление
20 Русский Управление Примечание : Функции зависят от определения модели . Реж . лампы Нормальная : режим нормальной потребляемой мощности Энергосбережение : приглушить лампу проектора , чтобы снизить потребляемую мощность Dynamic: Автоматическая оптимизация воспроизведения темных сцен кино обеспечи...
Страница 32 - Аудио
21 Ру сский Аудио Примечание 1. Функции зависят от определения модели . Примечание 2. Громкость SPIDF не регулируется . Громкость • Для уменьшения громкости нажимайте . • Для увеличения громкости нажимайте . Встроенная колонка • Выберите значение " Вкл ." для включения Встроенной колонки • В...
Страница 33 - Приложения; Устранение; Проблемы
22 Русский Приложения Устранение неполадок При возникновении проблемы с проектором Acer см . приведенное далее руководство по устранению неполадок . Если проблему устранить не удалось , следует обратиться к продавцу прибора или в сервисный центр . Проблемы с изображением и их устранение # Неполадка ...
Страница 38 - Список; Показания
27 Ру сский Список определений предупреждений и показаний индикаторов Показания индикаторов Сообщение Lamp_LED Temp_LED Индикатор питания / режима ожидания Красный Красный Красный Синий Режим ожидания -- -- ГОРИТ -- Питание включено -- -- -- ГОРИТ Повторное включение лампы -- -- -- Быстрое мигание П...
Страница 40 - Монтаж
29 Ру сский Монтаж потолочного крепления Чтобы установить проектор с помощью потолочного крепления , см . приведенную ниже процедуру . 1 Просверлите четыре отверстия в сплошном , структурно прочном участке потолка и закрепите основание крепления на потолке . 2 Выберите длину в соответствии с фактиче...
Страница 45 - Аналоговый
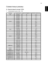
34 Русский Совместимые режимы A. Аналоговый сигнал VGA 1 Аналоговый сигнал VGA – ПК Режимы Разрешение Частота кадров [ Гц ] Частота строк [ кГц ] VGA 640x480 60 31,5 640x480 72 37,9 640x480 75 37,5 640x480 85 43,3 640x480 120 61,9 SVGA 800x600 56 35,1 800x600 60 37,9 800x600 72 48,1 800x600 75 46,9 ...
Страница 46 - VGA –; Цифровой; HDMI –
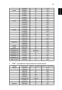
35 Ру сский 2 Аналоговый VGA – расширенная широкоэкранная синхронизация 3 Аналоговый VGA – компонентный сигнал B. Цифровой сигнал HDMI 1 HDMI – сигнал ПК Режимы Разрешение Частота кадров [ Гц ] Частота строк [ кГц ] WXGA 1280x768 60 47,8 1280x768 75 60,3 1280x768 85 68,6 1280x720 60 44,8 1280x720 12...
Страница 50 - Правила
39 Ру сский Правила и замечания , касающиеся безопасности Уведомление Федеральной комиссии по связи США ( ФКС ) Данное оборудование было проверено и признано соответствующим ограничениям на цифровые устройства класса B в соответствии с Частью 15 правил ФКС . Целью этих ограничений является обеспечен...
Страница 51 - Русский; Remarque à l'intention des utilisateurs canadiens
40 Русский Русский Remarque à l'intention des utilisateurs canadiens Cet appareil numérique de la classe B est conforme à la norme NMB-003 du Canada. Соответствует требованиям к сертификации для Российской Федерации и Украины Уведомление о соответствии стандартам для радиоустройств Примечание : Прив...