Страница 3 - Информация
iii Информация , касающаяся безопасности и удобства использования Внимательно прочитайте настоящие инструкции . Сохраните настоящий документ для использования в будущем . Следуйте всем предупреждениям и указаниям , имеющимся на данном изделии . Выключение изделия перед очисткой Отключите данное изде...
Страница 4 - Использование
iv • Не допускайте попадания каких - либо предметов внутрь прибора через щели в корпусе , т . к . они могут попасть на участки , находящиеся под напряжением , что может привести к возгоранию или поражению электрическим током . Не допускайте попадания какой - либо жидкости на или в прибор . • Чтобы и...
Страница 5 - Дополнительная
v • Используйте данное устройство только с входящим в комплект поставки набором кабелей . При необходимости заменить комплект кабелей питания убедитесь , что новый кабель соответствует следующим требованиям : отделяемый , имеет сертификацию UL или CSA, одобрен VDE, максимальная длина – 4,5 м (14,76 ...
Страница 8 - Основные; Примечания
viii Основные сведения Примечания по использованию Необходимо : • Выключать прибор перед очисткой . • Для очистки корпуса дисплея использовать мягкую ткань , смоченную слабым моющим средством . • Если прибор не будет использоваться в течение длительного периода времени , всегда отсоединять кабель пи...
Страница 9 - Со
Информация , касающаяся безопасности и удобства использования iii Основные сведения viii Примечания по использованию viii Меры предосторожности viii Введение 1 Особенности прибора 1 Комплектация 2 Краткое описание проектора 3 Внешний вид проектора 3 Панель управления 4 Расположение кнопок на пульте ...
Страница 10 - Введение; Особенности
1 Ру сс кий Введение Особенности прибора Данный прибор представляет собой проектор на одном чипе DLP ® . Ниже перечислены его основные отличительные черты . • Технология DLP ® . • Собственное разрешение 1920 x 1080 (full HD) • Небольшие размеры этого проектора позволяют использовать его для работы и...
Страница 11 - Комплектация
2 Русский Комплектация Данный проектор поставляется в комплекте со всеми указанными ниже компонентами . Проверьте наличие всех компонентов , входящих в комплект поставки . Немедленно обратитесь к продавцу в случае отсутствия какого - либо из компонентов . Примечание : содержимое комплекта поставки м...
Страница 12 - Краткое; Внешний; Передняя
3 Ру сс кий Краткое описание проектора Внешний вид проектора Передняя , верхняя панель Задняя панель # Описание # Описание 1 Динамики 5 Приемник сигналов от пульта ДУ 2 Проекционный объектив 6 Отверстие для установки на штатив 3 Колесики регулировки наклона 7 Кнопка питания 4 Приемник сигналов автоф...
Страница 14 - Расположение
5 Ру сс кий Расположение кнопок на пульте ДУ # Функция Описание 1 ИК - передатчик Передает сигналы на проектор . 2 ПИТАНИЕ См . раздел « Включение и выключение проектора ». 3 ENTER Подтверждение выбора . 4 Кнопки перемещения в четырех направлениях Выбор элементов или регулировка выбранного параметра...
Страница 15 - Подключение
6 Русский Подготовка к эксплуатации Подключение проектора Примечание : Для обеспечения надлежащей работы проектора с компьютером убедитесь , что частота обновления экрана совместима с проектором . # Описание # Описание 1 Шнур питания 4 Кабель USB Type-C 2 Звуковой кабель 5 Кабель HDMI 3 Адаптер бесп...
Страница 16 - Включение
7 Ру сс кий Включение и выключение проектора Включение проектора 1 Убедитесь , что кабель питания и сигнальный кабель подсоединены надежно . Индикатор питания будет гореть красным цветом . 2 Включите проектор нажатием кнопки ( ПИТАНИЕ ) на панели управления или пульте ДУ , индикатор питания станет с...
Страница 18 - Настройка; Подъем
9 Ру сс кий Настройка проецируемого изображения Настройка высоты проецируемого изображения Проектор оснащен двумя подъемными ножками для настройки высоты изображения . Подъем изображения . 1 Поворачивая расположенное спереди колесико регулировки наклона , поднимите изображение на нужную высоту . 2 Д...
Страница 20 - Органы; Начальный; Базовые
11 Ру сс кий Органы управления Начальный экран Начальный экран предоставляет доступ к разным настройкам , таким как выбор входного сигнала , воспроизведение мультимедийных файлов с устройств хранения разных типов и проецирование содержимого с ваших смарт - устройств . Базовые операции на начальном э...
Страница 22 - Экранные; Работа
13 Ру сс кий Экранные меню (OSD) В проекторе экранные меню на разных языках позволяют регулировать изображение и изменять различные параметры . Работа с экранными меню • Чтобы открыть экранное меню , нажатием / / / выберите " Настройки " на начальном экране . • Нажмите " ВВОД ", чтоб...
Страница 30 - Приложения; Устранение; Проблемы
21 Ру сс кий Приложения Устранение неполадок При возникновении проблемы с проектором Acer см . приведенное далее руководство по устранению неполадок . Если проблему устранить не удалось , следует обратиться к продавцу прибора или в сервисный центр . Проблемы с изображением и их устранение # Неполадк...
Страница 33 - Показания
24 Русский Список определений предупреждений и показаний индикаторов Показания индикаторов Сообщение Индикатор питания Красный Синий Режим ожидания ( Шнур питания подсоединен ) V -- Питание включено -- V Повтор источника света -- Часто мигает Загрузка микропрограммы Мигает Мигает Ошибка ( температур...
Страница 34 - Технические
25 Ру сс кий Технические характеристики Приведенные ниже технические характеристики могут изменяться без уведомления . Окончательные технические характеристики см . в опубликованных маркетинговых технических характеристиках Acer. B250i/L350R/LK-F20i Система проецирования DLP ™ Разрешение 1080p Совме...
Страница 36 - Совместимые
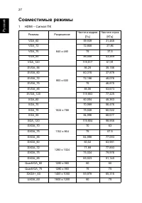
27 Ру сс кий Совместимые режимы 1 HDMI – Сигнал ПК Режимы Разрешение Частота кадров [ Гц ] Частота строк [ КГц ] VGA_60 640 x 480 59,939 31,468 VGA_72 72,808 37,86 VGA_75 75 37,5 VGA_85 85,008 43,269 VGA_120 119,517 61,91 SVGA_56 800 x 600 56,25 35,156 SVGA_60 60,315 37,878 SVGA_72 72,186 48,076 SVG...
Страница 40 - Remarque à l'intention des utilisateurs canadiens
31 Ру сс кий помехи , включая помехи , которые могут препятствовать нормальной эксплуатации . Примечание . Для пользователей в Канаде Этот цифровой прибор класса В соответствует канадским требованиям ICES-003. Remarque à l'intention des utilisateurs canadiens Cet appareil numérique de la classe B es...