Страница 3 - iii; Информация; Осторожно
iii Информация , касающаяся безопасности и удобства использования Внимательно прочитайте настоящие инструкции . Сохраните настоящий документ для использования в будущем . Следуйте всем предупреждениям и указаниям , имеющимся на данном изделии . Выключение изделия перед очисткой Отключите данное изде...
Страница 4 - iv; Использование; Обслуживание
iv • Не рекомендуется использовать прибор во время занятий спортом , тренировок или в других условиях , когда возможны сотрясения , так как это может вызвать непредвиденное короткое замыкание или повреждение вращающихся деталей и лампы . Использование электропитания • Это изделие необходимо эксплуат...
Страница 6 - HIDE
vi • Не выключайте питание внезапно и не отключайте проектор от сети во время его работы . Оптимальный способ выключения – это подождать перед отключением питания , пока выключится вентилятор . • Не прикасайтесь к вентиляционной решетке и нижней панели , так как они могут быть горячими . • При налич...
Страница 7 - vii
vii Меры предосторожности , связанные со слухом Для защиты органов слуха соблюдайте следующие рекомендации . • Увеличивайте громкость постепенно до нужного уровня . • Не увеличивайте уровень громкости , если уши уже к нему привыкли . • Не слушайте музыку на большой громкости в течение длительного вр...
Страница 8 - viii; Основные; Примечания
viii Основные сведения Примечания по использованию Необходимо : • Выключать прибор перед очисткой . • Для очистки корпуса дисплея использовать мягкую ткань , смоченную слабым моющим средством . • Если прибор не будет использоваться в течение длительного периода времени , всегда отсоединять кабель пи...
Страница 9 - Со
Информация , касающаяся безопасности и удобства использования iii Основные сведения viii Примечания по использованию viii Меры предосторожности viii Введение 1 Характеристики изделия 1 Комплектность 2 Общая информация о проекторе 4 Внешний вид проектора 4 Панель управления 7 Расположение кнопок на п...
Страница 11 - Введение; Характеристики; Примечание
1 Русский Введение Характеристики изделия Данное изделие представляет собой проектор на одном чипе DLP ® . Ниже перечислены его основные характеристики . • Технология DLP ® • Включает проецирование 3D- содержимого посредством технологии DLP Link: Поддержка Blue-Ray 3D • Технология Acer ColorBoost об...
Страница 12 - Комплектность
2 Ру сский Комплектность Данный проектор поставляется в комплекте со всеми указанными ниже компонентами . Проверьте наличие всех компонентов , входящих в комплект поставки . Немедленно обратитесь к продавцу в случае отсутствия какого - либо из компонентов . Проектор Кабель питания Кабель HDMI ( опци...
Страница 14 - Общая информация о проекторе; Внешний вид проектора; Передняя / верхняя панель; Описание
4 Ру сский Общая информация о проекторе Внешний вид проектора Передняя / верхняя панель # Описание # Описание 1 Крышка лампы 7 Кольцо фокусировки 2 Отверстие для вывода воздуха 8 Приемник дистанционного управления 3 Панель управления 9 Объектив проектора 4 Кнопки питание 10 Крышка объектива 5 Кольцо...
Страница 18 - Расположение; Значок
8 Ру сский Расположение кнопок на пульте ДУ # Значок Функция Описание 1 ИК - передатчик Передает сигналы на проектор . 2 Питание См . раздел « Включение и выключение проектора ». 3 MUTE Служит для включения и отключения звука . 1 6 5 26 8 9 10 11 18 1213 1415 16 17 19 2021 2223 24 25 4 27 Model No:J...
Страница 23 - Подключение
13 Русский Подготовка к эксплуатации Подключение проектора 11 13 R L HDTV adapter RCA 4 6 2 10 10 3 3 3 9 5 5 8 7 12 2 2 1 14 Интеллектуальные устройства Выход видео Дисплей Экран Динамики ИК излучатель 3D
Страница 26 - Выключение
16 Ру сский Выключение проектора 1 Для выключения проектора нажмите и удерживайте кнопку питания . Выводится сообщение : « Нажм . кнопку пит . еще раз , чтоб заверш . процес выкл .» Снова нажмите кнопку питания . 2 Светодиодный индикатор питания загорится КРАСНЫМ цветом и начнет быстро мигать после ...
Страница 27 - Настройка; Подъем
17 Русский Настройка проецируемого изображения Настройка высоты проецируемого изображения Проектор оснащен подъемными ножками для настройки высоты изображения . Подъем и опускание изображения : для точной настройки угла отображения используйте колесо регулировки наклона . Регулятор наклона
Страница 35 - Меню; Питание
25 Русский Органы управления Меню установки Меню установки предоставляет экранную информацию (OSD) для установки и технического обслуживания проектора . Используйте экранное меню только при отображении на экране сообщения « Нет входного сигнала ». Пункты меню содержат параметры и настройки размера э...
Страница 36 - Экранные; МЕНЮ
26 Ру сский Экранные меню Проектор поддерживает экранные меню на нескольких языках , которые позволяют настраивать изображение и изменять различные параметры . Использование экранных меню • Чтобы открыть экранное меню , нажмите кнопку « МЕНЮ » на пульте ДУ или на панели управления . • При отображени...
Страница 37 - Цвет
27 Русский Цвет LumiSense Технология Acer LumiSense автоматически оптимизирует проецируемые изображения с учетом наиболее комфортных для зрения параметров яркости в зависимости от характеристик контента . Функция позволяет значительно улучшить детализацию темных изображений и насыщенность цвета . • ...
Страница 41 - Образ
31 Русский Образ Проектирование • Спереди : стандартная заводская настройка . • Сзади : зеркально переворачивает ( меняет местами левую и правую стороны ) изображение так , что проецирование можно производить сзади на полупрозрачный экран . • Сзади на потол : При выборе данной функции проектор однов...
Страница 44 - Настр
34 Ру сский Настр . Начальный кадр Используйте данную функцию для выбора необходимой заставки при включении проектора . При изменении данной настройки изменения вступят в силу после выхода из экранного меню . • Acer. Заставка проектора Acer, используемая по умолчанию . • Польз .. Использование изобр...
Страница 47 - Управление
37 Русский Управление Економный режим Чтобы снизить яркость лампы проектора для снижения потребления энергии , увеличения срока эксплуатации лампы и снижения шума выберите параметр « Вкл ». Для переключения в обычный режим выберите « Выкл ». < Примечание > При включении технологии Lumisense ил...
Страница 49 - Аудио
39 Русский Аудио Примечание : Функции зависят от определения модели . 3D Примечание 1. Для надлежащего отображения 3D необходимо правильно настроить приложение 3D графической карты . Примечание 2. Проигрыватели SW, например Stereoscopic Player и DDD TriDef Media Player поддерживают файлы в формате 3...
Страница 50 - Язык
40 Ру сский - Stereoscopic Player ( тестовая версия ): http://www.3dtv.at/Downloads/Index_en.aspx - DDD TriDef Media Player ( тестовая версия ): http://www.tridef.com/download/TriDef-3-D-Experience-4.0.2.html Примечание 3. Функция «3D инверсия (L/R)» доступна только в режиме 3D. Примечание 4. Если ф...
Страница 51 - Приложения; Устранение; Проблемы
41 Русский Приложения Устранение неполадок При возникновении проблемы с проектором Acer см . приведенное далее руководство по устранению неполадок . Если проблему устранить не удалось , следует обратиться к продавцу прибора или в сервисный центр . Проблемы с изображением и их устранение # Неполадка ...
Страница 55 - Показания
45 Русский Список определений предупреждений и показаний индикаторов Показания индикаторов Сообщение Lamp_LED Temp_LED Индикатор питание Крас . Крас . Крас . Син . Разъем входного питания Мигает с частотой 100 мс Мигает с частотой 100 мс Мигает с частотой 100 мс -- Режим ожидания -- -- Вкл -- Питани...
Страница 56 - Замена
46 Ру сский Замена лампы При помощи отвертки вывинтите винт ( ы ) из крышки , затем извлеките лампу . Проектор автоматически определяет срок службы лампы . Будет показано предупреждающее сообщение « Вр . раб . лампы на макс . мощн . подходит к концу . Рекоменд . произв . замену ! ». Увидев это сообщ...
Страница 60 - Технические
50 Ру сский Технические характеристики Приведенные ниже технические характеристики могут изменяться без уведомления . Окончательные технические характеристики см . в опубликованных маркетинговых технических характеристиках Acer. Система проецирования DLP ® Разрешение • Серия X118/X118AH/X118H/X1186G...
Страница 72 - Совместимые; Аналоговый
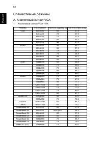
62 Ру сский Совместимые режимы A. Аналоговый сигнал VGA 1 Аналоговый сигнал VGA – ПК Режимы Разрешение Частота кадров [ Гц ] Частота строк [ кГц ] VGA 640x480 60 31,5 640x480 72 37,9 640x480 75 37,5 640x480 85 43,3 640x480 120 61,9 SVGA 800x600 56 35,1 800x600 60 37,9 800x600 72 48,1 800x600 75 46,9...
Страница 73 - Цифровой; HDMI –
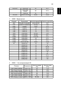
63 Русский 2 Аналоговый VGA – расширенная широкоэкранная синхронизация 3 Аналоговый VGA – компонентный сигнал B. Цифровой сигнал HDMI 1 HDMI – сигнал ПК Режимы Разрешение Частота кадров [ Гц ] Частота строк [ кГц ] WXGA 1280x768 60 47,8 1280x768 75 60,3 1280x768 85 68,6 1280x720 60 44,8 1280x720 120...
Страница 78 - Remarque à l'intention des utilisateurs canadiens
68 Ру сский Примечание . Для пользователей в Канаде Данный цифровой прибор класса В соответствует канадскому стандарту ICES-003. Remarque à l'intention des utilisateurs canadiens Cet appareil numérique de la classe B est conforme à la norme NMB-003 du Canada. Соответствует требованиям к сертификации...