Acer P1657Ki (MR.JV411.001) - Инструкция по эксплуатации

Acer P1657Ki (MR.JV411.001)

Проектор Acer P1657Ki (MR.JV411.001) - инструкция пользователя по применению, эксплуатации и установке на русском языке. Мы надеемся, она поможет вам решить возникшие у вас вопросы при эксплуатации техники.

Если остались дополнительные вопросы — свяжитесь с нами через контактную форму.

1 Страница 1
2 Страница 2
3 Страница 3
4 Страница 4
5 Страница 5
6 Страница 6
7 Страница 7
8 Страница 8
9 Страница 9
10 Страница 10
11 Страница 11
12 Страница 12
13 Страница 13
14 Страница 14
15 Страница 15
16 Страница 16
17 Страница 17
18 Страница 18
19 Страница 19
20 Страница 20
21 Страница 21
22 Страница 22
23 Страница 23
24 Страница 24
25 Страница 25
26 Страница 26
27 Страница 27
28 Страница 28
29 Страница 29
30 Страница 30
31 Страница 31
32 Страница 32
33 Страница 33
34 Страница 34
35 Страница 35
36 Страница 36
37 Страница 37
38 Страница 38
39 Страница 39
40 Страница 40
41 Страница 41
42 Страница 42
43 Страница 43
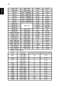
44 Страница 44
45 Страница 45
46 Страница 46
47 Страница 47
48 Страница 48
49 Страница 49
50 Страница 50
51 Страница 51
52 Страница 52
53 Страница 53
54 Страница 54
55 Страница 55
56 Страница 56
57 Страница 57
58 Страница 58
Страница: / 58
Загрузка инструкции

Acer DLP Projector P1557i/

M459i/PE-F52i/N349i/AF630i/

PR527i/MF-427i/A1P2108/

P1557Ki/M459Ki/PE-F52Ki/

N349Ki/AF630Ki/PR527Ki/MF-

427Ki/H6555BDi/E357Di/HE-

807i/GM527i/H6542BDi+/VH-

427i/H6543BDi/H6543Zi/HF130/

E600/AF700/H6543BDZi/

H6555BDKi/E357DKi/HE-807Ki/

GM527Ki/H6542BDKi+/VH-

427Ki/H6543BDKi/HF130K/

E600K/AF700K/P1657i/M469i/

PE-U52i/PR627i/MF-527i/

P1657Ki/M469Ki/PE-U52Ki/

PR627Ki/MF-527Ki/A1P2112

Series User's Guide

Copyright © 2021. Acer Incorporated.

All Rights Reserved.

Acer Projector User's Guide

Original Issue: 08/2021

"Загрузка инструкции" означает, что нужно подождать пока файл загрузится и можно будет его читать онлайн. Некоторые инструкции очень большие и время их появления зависит от вашей скорости интернета.

Характеристики

Другие модели - Проекторы Acer

Все проекторы Acer