Страница 3 - iii; Информация; Осторожно
iii Информация , касающаяся безопасности и удобства использования Внимательно прочитайте настоящие инструкции . Сохраните настоящий документ для использования в будущем . Следуйте всем предупреждениям и указаниям , имеющимся на данном изделии . Выключение изделия перед очисткой Отключите данное изде...
Страница 4 - iv; Использование; Обслуживание
iv • Не рекомендуется использовать прибор во время занятий спортом , тренировок или в других условиях , когда возможны сотрясения , так как это может вызвать непредвиденное короткое замыкание или повреждение вращающихся деталей и лампы . Использование электропитания • Это изделие необходимо эксплуат...
Страница 6 - HIDE
vi • Не выключайте питание внезапно и не отключайте проектор от сети во время его работы . Оптимальный способ выключения – это подождать перед отключением питания , пока выключится вентилятор . • Не прикасайтесь к вентиляционной решетке и нижней панели , так как они могут быть горячими . • При налич...
Страница 7 - vii
vii Меры предосторожности , связанные со слухом Для защиты органов слуха соблюдайте следующие рекомендации . • Увеличивайте громкость постепенно до нужного уровня . • Не увеличивайте уровень громкости , если уши уже к нему привыкли . • Не слушайте музыку на большой громкости в течение длительного вр...
Страница 8 - viii; Основные; Примечания
viii Основные сведения Примечания по использованию Необходимо : • Выключать прибор перед очисткой . • Для очистки корпуса дисплея использовать мягкую ткань , смоченную слабым моющим средством . • Если прибор не будет использоваться в течение длительного периода времени , всегда отсоединять кабель пи...
Страница 9 - Со
Информация , касающаяся безопасности и удобства использования iii Основные сведения viii Примечания по использованию viii Меры предосторожности viii Введение 1 Характеристики изделия 1 Комплектность 3 Общая информация о проекторе 4 Внешний вид проектора 4 Панель управления 6 Расположение кнопок на п...
Страница 10 - Приложения
Управление 33 Аудио 33 3D 34 Язык 34 Веб - страница управления проектором Acer посредством LAN 35 Процедура входа в систему 35 Домашняя страница 36 Панель управления 36 Настройки сети 37 Настройки уведомлений 37 Выход 38 Приложения 39 Устранение неполадок 39 Список определений предупреждений и показ...
Страница 11 - Введение; Характеристики
1 Русский Введение Характеристики изделия Данное изделие представляет собой проектор на одном чипе DLP ® . Ниже перечислены его основные характеристики . • Технология DLP ® • Серия P6200/F211/PM-X01/P6200S/F211S/PM-X01S: Собственное разрешение Х GA 1024x768 Серия P6500/P6505/F251/PM-801: Разрешение ...
Страница 12 - Примечание
2 Ру сский • Два встроенных динамика мощностью 10 Ватт • Ручная регулировка сдвига объектива по вертикали • Кабельный органайзер Примечание : Функции зависят от определения модели .
Страница 13 - Комплектность
3 Русский Комплектность Данный проектор поставляется в комплекте со всеми указанными ниже компонентами . Проверьте наличие всех компонентов , входящих в комплект поставки . Немедленно обратитесь к продавцу в случае отсутствия какого - либо из компонентов . Проектор Кабель питания Кабель VGA Карта бе...
Страница 14 - Общая; Внешний; Передняя; Описание; LAMP
4 Ру сский Общая информация о проекторе Внешний вид проектора Передняя / верхняя панель # Описание # Описание 1 Крышка пылеулавливающего фильтра 7 Крышка лампы 2 Панель управления 8 Объектив проектора 3 Кнопки питание 9 Крышка объектива 4 Рычаг изменения масштаба 10 Регуляторы наклона 5 Регулятор сд...
Страница 16 - Панель
6 Ру сский Панель управления Примечание : Функции зависят от определения модели . # Значок Функция Описание 1 Четыре кнопки со стрелками Используйте кнопки для выбора пунктов меню и настройки выбранного параметра . 2 MENU • Нажмите " MENU " для вызова экранного меню (OSD), возврата к предыду...
Страница 17 - Значок
7 Русский Расположение кнопок на пульте ДУ # Значок Функция Описание 1 ИК - передатчик Передает сигналы на проектор . 2 Лазерная указка Служит для указания чего - либо на экране . 3 POWER См . раздел " Включение и выключение проектора ". 4 HIDE Временное отключение видеосигнала . Нажмите кно...
Страница 20 - Подготовка; Подключение
10 Ру сский Подготовка к эксплуатации Подключение проектора # Описание # Описание 1 Кабель питания 9 Кабель композитного видеосигнала 2 USB кабель для зарядки устройства 10 Кабель аудио Jack/RCA 3 Кабель ЛВС 11 Кабель постоянного тока , 12 В 4 Кабель MHL (MicroUSB-HDMI) 12 Микрофонный кабель 5 Кабел...
Страница 22 - Питание
12 Ру сский Включение и выключение проектора Включение проектора 1 Убедитесь , что кабель питания и сигнальный кабель подсоединены надежно . Индикатор питания начнет мигать красным цветом . 2 Включите проектор нажатием кнопки " Питание " на панели управления или пульте ДУ , индикатор питания...
Страница 24 - Настройка; Подъем
14 Ру сский Настройка проецируемого изображения Настройка высоты проецируемого изображения Проектор оснащен подъемными ножками для настройки высоты изображения . Подъем и опускание изображения : для точной настройки угла отображения используйте колесо регулировки наклона . Регулятор наклона
Страница 33 - Меню
23 Русский Органы управления Меню установки Меню установки предоставляет экранную информацию (OSD) для установки и технического обслуживания проектора . Используйте экранное меню только при отображении на экране сообщения " Нет входного сигнала ". Пункты меню содержат параметры и настройки р...
Страница 38 - Образ
28 Ру сский Образ Проектирование • Прямое со стола : стандартная заводская настройка . • Обратное со стола : При выборе данной функции проектор переворачивает изображение , чтобы его можно было проецировать из - за полупрозрачного экрана . • Обратное с потолка : При выборе данной функции проектор од...
Страница 40 - Настр
30 Ру сский Настр . Начальный кадр Используйте данную функцию для выбора необходимой заставки при включении проектора . При изменении данной настройки изменения вступят в силу после выхода из экранного меню . • Acer: Заставка проектора Acer, используемая по умолчанию . • Польз .: Использование изобр...
Страница 43 - Управление; Аудио
33 Русский Управление Примечание : Функции зависят от определения модели . Аудио Примечание : Функции зависят от определения модели . Економный режим Чтобы снизить яркость лампы проектора для снижения потребления энергии , увеличения срока эксплуатации лампы и снижения шума выберите параметр " В...
Страница 44 - Язык
34 Ру сский 3D Примечание : Для надлежащего отображения 3D необходимо правильно настроить приложение 3D графической карты . Примечание : Проигрыватели SW, например Stereoscopic Player и DDD TriDef Media Player поддерживают файлы в формате 3D. Можно загрузить эти три проигрыватели на следующей веб - ...
Страница 45 - Процедура; Администратор
35 Русский Веб - страница управления проектором Acer посредством LAN Процедура входа в систему Откройте браузер и введите IP- адрес сервера : 192.168.100.10, после чего отобразится главная страница управления проектором Acer посредством LAN. Для входа в систему необходимо ввести пароль . Выберите по...
Страница 46 - Домашняя
36 Ру сский Домашняя страница На Главной странице отображается состояние подключения и доступны три основных функции : Панель управления , Настройки сети и Настройки уведомлений . Примечание : Функции Панель управления и Настройки сети доступны только Администратору . Панель управления На этой стран...
Страница 47 - Настройки
37 Русский Настройки сети Пользователь может ввести требуемые IP- адрес , имя группы и пароль . После изменения конфигурации сети или пароля и нажатия кнопки " Применить " проектор автоматически перезапустится . Примечание : Имя группы и Имя проектора должны содержать не более 32 символов . ...
Страница 49 - Устранение; Проблемы
39 Русский Приложения Устранение неполадок При возникновении проблемы с проектором Acer см . приведенное далее руководство по устранению неполадок . Если проблему устранить не удалось , следует обратиться к продавцу прибора или в сервисный центр . Проблемы с изображением и их устранение # Неполадка ...
Страница 53 - Показания
43 Русский Список определений предупреждений и показаний индикаторов Показания индикаторов Сообщение Lamp_LED Temp_LED Индикатор питание Крас . Крас . Крас . Син . Разъем входного питания Мигает с частотой 100 мс Мигает с частотой 100 мс Мигает с частотой 100 мс -- Режим ожидания -- -- Вкл -- Питани...
Страница 55 - Очистка
45 Русский Очистка и замена воздушных фильтров Очистка воздушных фильтров Воздушные фильтры следует очищать каждые 1000 часов использования . При отсутствии периодической очистки они засоряются пылью , предотвращая достаточную вентиляцию . Это может стать причиной перегревания и повреждения проектор...
Страница 56 - Замена
46 Ру сский Замена лампы При помощи отвертки вывинтите винт ( ы ) из крышки , затем извлеките лампу . Проектор автоматически определяет срок службы лампы . Будет показано предупреждающее сообщение " Вр . раб . лампы на макс . мощн . подходит к концу . Рекоменд . произв . замену ! ". Увидев э...
Страница 63 - Аналоговый
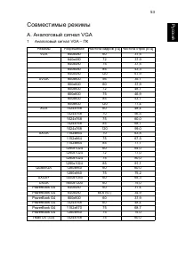
53 Русский Совместимые режимы A. Аналоговый сигнал VGA 1 Аналоговый сигнал VGA – ПК Режимы Разрешение Частота кадров [ Гц ] Частота строк [ кГц ] VGA 640x480 60 31,5 640x480 72 37,9 640x480 75 37,5 640x480 85 43,3 640x480 120 61,9 SVGA 800x600 56 35,1 800x600 60 37,9 800x600 72 48,1 800x600 75 46,9 ...
Страница 64 - VGA –; Цифровой; HDMI –
54 Ру сский 2 Аналоговый VGA – расширенная широкоэкранная синхронизация 3 Аналоговый VGA – компонентный сигнал B. Цифровой сигнал HDMI 1 HDMI – сигнал ПК Режимы Разрешение Частота кадров [ Гц ] Частота строк [ кГц ] WXGA 1280x768 60 47,8 1280x768 75 60,3 1280x768 85 68,6 1280x720 60 44,8 1280x720 12...
Страница 68 - Правила
58 Ру сский Правила и замечания , касающиеся безопасности Уведомление Федеральной комиссии по связи США ( ФКС ) Данное оборудование было проверено и признано соответствующим ограничениям на цифровые устройства класса B в соответствии с Частью 15 правил ФКС . Целью этих ограничений является обеспечен...
Страница 69 - Русский; Remarque à l'intention des utilisateurs canadiens
59 Русский Русский Примечание . Для пользователей в Канаде Данный цифровой прибор класса В соответствует канадскому стандарту ICES- 003. Remarque à l'intention des utilisateurs canadiens Cet appareil numérique de la classe B est conforme à la norme NMB-003 du Canada. Заявление о соответствии для стр...