Страница 3 - iii; Информация
iii Информация , касающаяся безопасности и удобства использования Внимательно прочитайте настоящие инструкции . Сохраните настоящий документ для использования в будущем . Следуйте всем предупреждениям и указаниям , имеющимся на данном изделии . Выключение изделия перед очисткой Отключите данное изде...
Страница 4 - iv; Использование; Обслуживание
iv • Не рекомендуется использовать прибор во время занятий спортом , тренировок или в других условиях , когда возможны сотрясения , так как это может вызвать непредвиденное короткое замыкание или повреждение вращающихся деталей и лампы . Использование электропитания • Это изделие необходимо эксплуат...
Страница 7 - vii
vii Меры предосторожности , связанные со слухом Для защиты органов слуха соблюдайте следующие рекомендации . • Увеличивайте громкость постепенно до нужного уровня . • Не увеличивайте уровень громкости , если уши уже к нему привыкли . • Не слушайте музыку на большой громкости в течение длительного вр...
Страница 8 - viii; Основные; Примечания; Меры
viii Основные сведения Примечания по использованию Необходимо : • Пожалуйста , подключите беспроводной адаптер UWA5 к порту Wireless Kit перед первым включением проектора . • Если пользователь сначала включил проектор , а затем подключил беспроводный адаптер UWA5, необходимо перезапустить проектор ....
Страница 9 - ix; Очистка
ix • При выключении проектора убедитесь , что перед отключением питания был завершен цикл охлаждения . • Сначала включайте проектор , а затем источники сигнала . • Не используйте крышку объектива при работающем проекторе . • Когда истекает срок действия лампы , она перегорает и издает громкий звук ,...
Страница 10 - Со
Информация , касающаяся безопасности и удобства использования iii Основные сведения viii Примечания по использованию viii Меры предосторожности viii Очистка объектива ix Введение 1 Характеристики изделия 1 Комплектность 2 Краткое описание проектора 3 Внешний вид проектора 3 Панель управления 5 Распо...
Страница 12 - Введение; Характеристики
1 Ру сский Введение Характеристики изделия Данное изделие представляет собой проектор на одном чипе DLP ® . Ниже перечислены его основные характеристики . • Технология DLP ® • Разрешение 4K UHD • Включает проецирование 3D- содержимого посредством технологии DLP Link: Поддерживается DLP 3D • Высокая ...
Страница 13 - Комплектность
2 Русский Комплектность Данный проектор поставляется в комплекте со всеми указанными ниже компонентами . Проверьте наличие всех компонентов , входящих в комплект поставки . Немедленно обратитесь к продавцу в случае отсутствия какого - либо из компонентов . Примечание : При проецировании сигнала 4K2K...
Страница 14 - Краткое; Внешний; Передняя
3 Ру сский Краткое описание проектора Внешний вид проектора Передняя / верхняя панель # Описание # Описание 1 Крышка лампы 7 Кольцо фокусировки 2 Отверстие для вывода воздуха 8 Приемник дистанционного управления 3 Панель управления 9 Объектив проектора 4 Кнопки питание 10 Регуляторы наклона 5 Кольцо...
Страница 16 - Панель управления
5 Ру сский Панель управления Примечание 1. Функции зависят от определения модели. # Значок Функция Описание 1 POWER Питание Светодиодный индикатор питания 2 LAMP ЛАМПА Светодиодный индикатор лампы 3 TEMP ТЕМПЕРАТУРА Светодиодный индикатор температуры 4 Питание См. раздел «Включение и выключение прое...
Страница 19 - Подключение
8 Русский Подготовка к эксплуатации Подключение проектора # Описание # Описание 1 Кабель питания 7 Кабель USB 2 Аудио кабель 8 Кабель RS232 3 Кабель HDMI 9 Кабель S/PDIF 4 Адаптер VGA - компонентный видеосигнал /HDTV 10 Адаптер USB R L HDTV adapter RCA 4 6 2 10 3 3 5 8 2 9 2 1 MOLEX MOLEX 7 11 Отобр...
Страница 23 - Настройка; Подъем
12 Русский Настройка проецируемого изображения Настройка высоты проецируемого изображения Проектор оснащен подъемными ножками для настройки высоты изображения . Подъем и опускание изображения : для точной настройки угла отображения используйте колесо регулировки наклона . Регулятор наклона
Страница 25 - Экранные
14 Русский Органы управления Экранные меню Проектор поддерживает экранные меню на нескольких языках , которые позволяют настраивать изображение и изменять различные параметры . Использование экранных меню • Чтобы открыть экранное меню , нажмите кнопку « » на пульте ДУ или на панели управления . • Пр...
Страница 29 - Образ
18 Русский Образ Проектирование • Спереди: стандартная заводская настройка. • Сзади: При выборе данной функции проектор переворачивает изображение, чтобы его можно было проецировать из-за полупрозрачного экрана. • Сзади на потол: При выборе данной функции проектор одновременно переворачивает и зерка...
Страница 32 - Настр
21 Ру сский Настр . Примечание : Функции зависят от определения модели . Выбор ис - ника Вручную в меню источника , автоматически с помощью функции интеллектуального определения . HDMI CEC По умолчанию « Выкл .». Для включения функции HDMI CEC выберите режим « Вкл .». Информация Отображение сведений...
Страница 33 - Управление
22 Русский Управление Примечание: Функции зависят от определения модели. Реж. лампы Нормальная: режим нормальной потребляемой мощностиЭнергосбережение: приглушить лампу проектора, чтобы снизить потребляемую мощностьDynamic: Автоматическая оптимизация воспроизведения темных сцен кино обеспечивает нев...
Страница 34 - Аудио
23 Ру сский Аудио Примечание 1. Функции зависят от определения модели . Примечание 2. Громкость SPIDF не регулируется . Громкость • Для уменьшения громкости нажимайте . • Для увеличения громкости нажимайте . Без звука • Для включения звука выберите параметр « Вкл .». • Для включения звука выберите п...
Страница 35 - Приложения; Устранение; Проблемы
24 Русский Приложения Устранение неполадок При возникновении проблемы с проектором Acer см . приведенное далее руководство по устранению неполадок . Если проблему устранить не удалось , следует обратиться к продавцу прибора или в сервисный центр . Проблемы с изображением и их устранение # Неполадка ...
Страница 40 - Список; Показания
29 Ру сский Список определений предупреждений и показаний индикаторов Показания индикаторов Сообщение Lamp_LED Temp_LED Индикатор питания / режима ожидания Красный Красный Красный Синий Режим ожидания -- -- ГОРИТ -- Питание включено -- -- -- ГОРИТ Повторное включение лампы -- -- -- Быстрое мигание П...
Страница 42 - Монтаж
31 Ру сский Монтаж потолочного крепления Чтобы установить проектор с помощью потолочного крепления , см . приведенную ниже процедуру . 1 Просверлите четыре отверстия в сплошном , структурно прочном участке потолка и закрепите основание крепления на потолке . 2 Выберите длину в соответствии с фактиче...
Страница 47 - Аналоговый
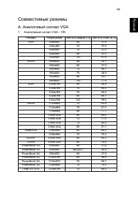
36 Русский Совместимые режимы A. Аналоговый сигнал VGA 1 Аналоговый сигнал VGA – ПК Режимы Разрешение Частота кадров [ Гц ] Частота строк [ кГц ] VGA 640x480 60 31,5 640x480 72 37,9 640x480 75 37,5 640x480 85 43,3 640x480 120 61,9 SVGA 800x600 56 35,1 800x600 60 37,9 800x600 72 48,1 800x600 75 46,9 ...
Страница 48 - VGA –; Цифровой; HDMI –
37 Ру сский 2 Аналоговый VGA – расширенная широкоэкранная синхронизация 3 Аналоговый VGA – компонентный сигнал B. Цифровой сигнал HDMI 1 HDMI – сигнал ПК Режимы Разрешение Частота кадров [ Гц ] Частота строк [ кГц ] WXGA 1280x768 60 47,8 1280x768 75 60,3 1280x768 85 68,6 1280x720 60 44,8 1280x720 12...
Страница 52 - Правила
41 Ру сский Правила и замечания , касающиеся безопасности Уведомление Федеральной комиссии по связи США ( ФКС ) Данное оборудование было проверено и признано соответствующим ограничениям на цифровые устройства класса B в соответствии с Частью 15 правил ФКС . Целью этих ограничений является обеспечен...
Страница 53 - Remarque à l'intention des utilisateurs canadiens
42 Русский Примечание . Для пользователей в Канаде Данный цифровой прибор класса В соответствует канадскому стандарту ICES- 003. Remarque à l'intention des utilisateurs canadiens Cet appareil numérique de la classe B est conforme à la norme NMB-003 du Canada. Соответствует требованиям к сертификации...