Страница 5 - Русский
G-4 Сведения для пользователей по утилизации старого оборудования и батарей [ Европейский союз ] Эти символы указывают на то , что электрическое и электронное оборудование , а также и батареи , на которые они нанесены , в конце срока службы не должны утилизироваться , как обычные бытовые отходы . Та...
Страница 6 - Ру; Содержание
1 Вв едение Ру с ский Благодарим Вас за приобретение изделия JVC. Перед тем , как приступать к эксплуатации , пожалуйста , внимательно прочитайте все инструкции с тем , чтобы полностью изучить и обеспечить оптимальную работу этого устройства . Описание компонентов ............... 3 Назначение основн...
Страница 8 - Описание
3 Вв едение Ру с ский Числа указывают номера страниц , на которых объясняются компоненты . Вид спереди Обращайтесь к разделу “ Дисплейное окно ”, приведенному ниже . Сенсор пульта ДУ Вид сзади Для дальнейшего использования Дисплейное окно Описание компонентов EX-A3[EE]RU-02.fm Page 3 Wednesday, Dece...
Страница 9 - Назначение
4 Вв едение Ру с ский Использование трех основных опор на нижней части основного блока обеспечивает высокое качество звука и одновременно устойчивость основного блока . Кроме этого два штыря снизу аппарата помогают стабилизировать основной блок от качания или опрокидывания при нажатии сверху . Так к...
Страница 10 - Использование
5 Вв едение Ру с ский Числа указывают номера страниц , на которых объясняются компоненты . • Если эффективный диапазон действия пульта ДУ уменьшается , замените обе батарейки . ВНИМАНИЕ • Не подвергайте батарейки воздействию тепла или пламени . Направляйте пульт ДУ непосредственно на переднюю часть ...
Страница 11 - Управление
6 Вв едение Ру с ский Вы можете управлять Вашим телевизором , используя пульт ДУ этой системы . 1 Передвиньте переключатель режимов пульта ДУ на [TV]. 2 Удерживайте [ F TV]. • Удерживайте [ F TV] до тех пор , пока Вы не закончите действия пункта 4. 3 Нажмите [ENTER] и высвободите . 4 Нажимайте цифро...
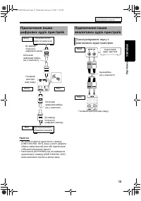
Страница 12 - Рамочная; Подготовка
7 По д го то в ка Ру с ский Установка рамочной антенны AM. Подсоединение рамочной антенны AM Поворачивайте рамочную антенну AM для нахождения наилучшего положения радиоприема . ПРИМЕЧАНИЕ • Убедитесь , что провода антенны не касаются никаких других разъемов . Это может привести к плохому приему . Ко...
Страница 15 - Выбор
10 По д го то в ка Ру с ский После подключения основного блока к телевизору для просмотра изображения на экране телевизора правильно выберите тип видеосигнала в соответствии с телевизором . 1 Включите основной блок . • Обращайтесь к разделу “ Подсоединение сетевого шнура ” на стр . 13 и “ Включение ...
Страница 17 - Прослушивание
12 По д го то в ка Ру с ский ПРИМЕЧАНИЕ • Вы можете выводить аудио сигнал с разъема [LINE 3 DIGITAL OUT], когда в качестве источника выбран загруженный диск или подсоединенное запоминающее устройство USB. • Нажатие [3D PHONIC] во время вывода аудио сигнала с разъема [LINE 3 DIGITAL OUT] может привес...
Страница 18 - Вывод
13 По д го то в ка Ру с ский Выходной аудио сигнал с разъема [LINE1 OUT] или [LINE 2 OUT] обрабатывается таким образом , чтобы воспроизвести окружающее звучание , когда активизирована функция K2, функция четкости речи , функция 3D PHONIC или функция режима окружающего звучания головных телефонов . Ч...
Страница 19 - Основные
14 Основ н ы е о пер ации Ру с ский ■ ВАЖНО • Передвиньте переключатель режимов пульта ДУ на [AUDIO]. Примеры : 5: [5] 15: [ 10] → [1] → [5] 150: [ 10] → [ 10] → [1] → [5] → [0] Нажмите [ F AUDIO] ( или F на основном блоке ). • Включится питание основного блока и лампочка [STANDBY] на основном блоке...
Страница 20 - Установка
15 Основ н ы е о пер ации Ру с ский Пример : Чтобы установить часы на 10:30 до полудня в среду 1 Нажмите [CLOCK/TIMER]. 2 Нажмите 2 или 3 , чтобы выбрать час . • Удерживайте 2 или 3 для ускоренного увеличения значения часа . • Вы можете использовать цифровые кнопки для определения часа . 3 Нажмите [...
Страница 22 - Нажмите; Функция
17 Основ н ы е о пер ации Ру с ский Если в течение 3 минут звук не выводится , основной блок автоматически выключается . Эта функция доступна , когда в качестве источника выбран загруженный диск , подсоединенное запоминающее устройство USB или цифровое аудиооборудование , подсоединенное к разъему [L...
Страница 23 - L O C K E D
18 Основ н ы е о пер ации Ру с ский ■ Когда основной блок включен Повторно нажимайте [DIMMER]. • Каждый раз , когда Вы нажимаете [DIMMER], установка в дисплейном окне изменяется следующим образом . *1 Дисплейное окно становится темнее по сравнению с нормальной яркостью отображения . *2 Дисплейное ок...
Страница 26 - PTY
21 Про сл ушив ан и е р а диов ещ ания Ру с ский Вы можете обращаться к информации системы радиоданных на дисплейном окне во время прослушивания радиовещания диапазона FM. ■ Во время прослушивания радиовещания диапазона FM Нажимайте повторно [DISPLAY (Radio Data System)]. PS ( Служба программ ): Во ...
Страница 29 - Воспроизведение
24 Осн ов н ые операции в о сп роизв еде н ия диска / фа йла Ру с ский Основные операции воспроизведения диска / файла * Относительно использования цифровых кнопок обращайтесь к разделу “ Использование цифровых кнопок ” на стр . 14. ■ ВАЖНО • Передвиньте переключатель режимов пульта ДУ на [AUDIO]. В...
Страница 31 - MEMORY
26 Осн ов н ые операции в о сп роизв еде н ия диска / фа йла Ру с ский 4 Нажмите 5 , / , 2 или 3 для выбора группы и дорожки . ПРИМЕЧАНИЕ • Вы можете также использовать [GROUP/ TITLE / ] для выбора группы , а цифровые кнопки , [PREVIOUS 4 ] или [NEXT ¢ ] для выбора дорожки . 5 Нажмите [DVD/CD 3 ] ил...
Страница 32 - CD
27 Осн ов н ые операции в о сп роизв еде н ия диска / фа йла Ру с ский ■ Когда воспроизводится диск • Вы можете использовать экран меню , чтобы контролировать воспроизведение диска , совместимого с PBC. • Чтобы отменить функцию PBC, следуйте приведенным ниже инструкциям . - Когда диск остановлен , з...
Страница 33 - Файл
28 Осн ов н ые операции в о сп роизв еде н ия диска / фа йла Ру с ский ■ Когда воспроизводится файл *1 Когда воспроизводится файл MP3 или WMA, появляется “MP3” или “WMA”. ■ Когда файл остановлен • Когда на дисплейном окне отображается “RESUME”, обращайтесь к стр . 30. *2 Когда файл MP3 или WMA остан...
Страница 34 - Во; Изменение
29 Осн ов н ые операции в о сп роизв еде н ия диска / фа йла Ру с ский Во время воспроизведения повторно нажимайте [DISPLAY]. • Каждый раз , когда Вы нажимаете [DISPLAY], дисплей изменяется . ■ DVD VIDEO ■ DVD AUDIO ■ DVD VR ■ Файл VCD/SVCD/CD/JPEG ■ Файл MP3/WMA ■ Файл WAV/ASF/DivX/MPEG1/MPEG2 *1 О...
Страница 35 - Остановка
30 Осн ов н ые операции в о сп роизв еде н ия диска / фа йла Ру с ский ■ Когда воспроизводится диск / файл Нажмите 7 . Когда воспроизведение останавливается в середине , воспроизведение можно начать с остановленной позиции . ■ Когда воспроизводится диск / файл Следуйте любой из операций , приведенны...
Страница 39 - “PROGRAM”; Удобные
34 Уд о б н ы е ф у нк ции в о сп роизв еде н ия диска / фа йла Ру с ский * Относительно использования цифровых кнопок обращайтесь к разделу “ Использование цифровых кнопок ” на стр . 14. ■ ВАЖНО • Передвиньте переключатель режимов пульта ДУ на [AUDIO]. Вы можете запрограммировать максимум до 99 гла...
Страница 40 - Подтверждение
35 Уд о б н ы е ф у нк ции в о сп роизв еде н ия диска / фа йла Ру с ский 2 Нажимайте цифровые кнопки , чтобы запрограммировать главы / дорожки . Дисплей для DVD VIDEO • Выберите номер заголовка , а затем номер главы . Дисплей для файла DVD AUDIO/MP3/WMA/ WAV • Выберите номер группы , а затем номер ...
Страница 41 - “RANDOM”; Отмена
36 Уд о б н ы е ф у нк ции в о сп роизв еде н ия диска / фа йла Ру с ский ■ Когда диск / файл остановлен 1 Нажимайте повторно [PLAY/ TUNER MODE], чтобы отобразить “RANDOM” в дисплейном окне . 2 Нажмите [DVD/CD 3 ]. ПРИМЕЧАНИЕ • Каждая глава или дорожка воспроизводится только один раз . ■ Когда диск ...
Страница 43 - Регулировка
38 Уд о б н ы е ф у нк ции в о сп роизв еде н ия диска / фа йла Ру с ский ■ Когда диск / файл воспроизводится или находится в режиме паузы 1 Нажмите [VFP]. • Отображаются текущие установки . Пример : Экран телевизора для режима VFP 2 Нажмите 2 или 3 для выбора режима улучшенного видеопроцессора (VFP...
Страница 46 - Уникальные
41 Уд о б н ы е ф у нк ции в о сп роизв еде н ия диска / фа йла Ру с ский Имеются некоторые DVD AUDIO с записанной специальной группой , называемой “ бонусной группой ”. Вы можете использовать эту функцию , когда на дисплейном окне горит индикатор “BONUS”. ■ Когда воспроизводится диск 1 Нажимайте по...
Страница 50 - ИЗОБРАЖЕНИЕ
45 Уд о б н ы е ф у нк ции в о сп роизв еде н ия диска / фа йла Ру с ский ИЗОБРАЖЕНИЕ Пункты Содержание ( : начальная установка ) ТИП МОНИТОРА Выберите способ отображения , подходящий для Вашего телевизора . 4 : 3 PAN SCAN : Для телевизора с обычным соотношением сторон 4:3. Когда на вход подается ши...
Страница 51 - АУДИО; ДРУГИЕ
46 Уд о б н ы е ф у нк ции в о сп роизв еде н ия диска / фа йла Ру с ский ?? АУДИО Пункты Содержание ( : начальная установка ) ЦИФРОВОЙ АУДИО ВЫХОД Выберите тип выходного сигнала , подходящий для оборудования , подсоединенного к разъему [LINE 3 DIGITAL OUT]. Обращайтесь к разделу “ Список взаимозави...
Страница 52 - Коды
47 Уд о б н ы е ф у нк ции в о сп роизв еде н ия диска / фа йла Ру с ский ПРИМЕЧАНИЕ • Среди DVD VIDEO без защиты от копирования могут быть некоторые DVD VIDEO, которые выводят 20- или 24- битовые сигналы через разъем [LINE 3 DIGITAL OUT]. Коды языков Список взаимозависимостей пунктов предпочтений Ц...
Страница 54 - Активизация
49 Во сп роизв еде н ие ис то ч н и ко в с др угих ус тр о й ст в Ру с ский При выводе аудиосигнала с разъема [LINE1 OUT] на другое аудиооборудование Вы можете выбрать уровень аудио . Нажмите [OUTPUT LEVEL]. • При каждом нажатии [OUTPUT LEVEL] дисплей изменяется следующим образом . “OUTPUT LOW” : на...
Страница 55 - Таймер
50 Та й м ер Ру с ский * Относительно использования цифровых кнопок обращайтесь к разделу “ Использование цифровых кнопок ” на стр . 14. ■ ВАЖНО • Передвиньте переключатель режимов пульта ДУ на [AUDIO]. Когда истекает заданное Вами время , основной блок автоматически выключается . Нажмите [SLEEP]. •...
Страница 56 - “ONCE”
51 Та й м ер Ру с ский Заранее установите часы . ( Обращайтесь к стр . 15.) 1 Нажмите [CLOCK/TIMER]. • Если Вы случайно нажали [CLOCK/ TIMER] два раза или больше , повторно нажимайте [CLOCK/TIMER] до тех пор , пока не отобразится показанный выше дисплей . 2 Нажмите [CLOCK/TIMER]. 3 Установите время ...
Страница 58 - Примечания
53 Сс ы л ки Ру с ский Чтобы уменьшить затраты на обслуживание и поддерживать высокое качество этой системы , не размещайте основной блок в следующих местах : • В местах , подверженных воздействию высокой влажности , или достаточно пыльных • На неровной или неустойчивой поверхности • Вблизи источник...
Страница 59 - Важные
54 Сс ы л ки Ру с ский Установка системы • Выберите ровное сухое место с не слишком высокой и не слишком низкой температурой между 5 ° C и 35 ° C. • Оставьте достаточное расстояние между системой и телевизором . • Не используйте систему в месте , подверженном воздействию вибрации . Сетевой шнур • Не...
Страница 62 - DivX
57 Сс ы л ки Ру с ский • Система поддерживает DivX 5.x, 4.x и 3.11. • Система поддерживает файлы DivX с разрешением 720 x 480 пикселов или меньше (30 кадров в секунду ) и 720 x 576 пикселов или меньше (25 кадров в секунду ). • Аудио поток должен удовлетворять MPEG1 Audio Layer-2, MPEG Audio Layer-3 ...
Страница 63 - Иерархическая; Очищение
58 Сс ы л ки Ру с ский DVD VIDEO/DVD VR DVD VIDEO состоит из “ заголовков ”, а каждый заголовок может быть разделен на “ главы ”. DVD VR состоит из “ оригинальных программ ” или “ списков воспроизведения ”, а каждая оригинальная программа / список воспроизведения может быть разделен на “ главы ”. DV...
Страница 64 - Поиск
59 Сс ы л ки Ру с ский ■ Общее Проблема Возможная причина Возможное решение Стр . для справок Питание не включается . Сетевой шнур не подсоединен к сетевой розетке . Правильно подсоедините сетевой шнур . 13 Вы не можете управлять никакими кнопками . Некоторые специальные операции запрещены . Это не ...
Страница 67 - Основной; Технические
62 Сс ы л ки Ру с ский Тюнер Частота FM: 87,50 МГц - 108,00 МГц Частота AM: 522 кГц - 1 629 кГц Разъем ( спереди основного блока ) • Входной цифровой разъем USB x 1 • Входной аналоговый разъем x 1 Стерео мини гнездо • Выходной аналоговый разъем x 1 Стерео мини гнездо • Выходной аудио разъем головных...