Варочная панель Bosch PPQ7A6B20 - инструкция пользователя по применению, эксплуатации и установке на русском языке. Мы надеемся, она поможет вам решить возникшие у вас вопросы при эксплуатации техники.
Если остались вопросы, задайте их в комментариях после инструкции.
"Загружаем инструкцию", означает, что нужно подождать пока файл загрузится и можно будет его читать онлайн. Некоторые инструкции очень большие и время их появления зависит от вашей скорости интернета.

hu
Tisztítás és karbantartás
10
F
ő
zési tanácsok
■
Krémlevesek és hüvelyesek f
ő
zéséhez használjon
kuktafazekat. A f
ő
zési id
ő
jelent
ő
sen lecsökken.
Amennyiben kuktafazekat használ, tartsa be a gyártó
utasításait. Minden hozzávalót adjon hozzá már az
elején.
■
Burgonya és rizs f
ő
zése során mindig használjon
fedelet. A f
ő
zési id
ő
jelent
ő
sen lecsökken. A víznek
forrnia kell, miel
ő
tt hozzáadja a tésztát, rizst vagy
krumplit. Végül állítsa be a f
ő
zési fokozatot a f
ő
zés
folytatásához.
■
Serpeny
ő
ben készült ételek esetén el
ő
ször forrósítsa
fel az olajat. Miután elkezdte a sütést, tartsa
egyenletesen a h
ő
mérsékletet a f
ő
zési fokozat
szükség szerinti állításával. Több adag készítésénél
várja ki, amíg a készülék ismét eléri az adott
h
ő
mérsékletet. Rendszeres id
ő
közönként fordítsa
meg az ételt.
■
Ha leveseket, krémleveseket, lencsét vagy
csicseriborsót f
ő
z, minden hozzávalót egyszerre
tegyen az edénybe.
2
Tisztítás és karbantartás
Ti sztítás és karbantartás
Tisztítás
Ha a készülék kih
ű
lt, tisztítsa meg szivacs, víz és
szappan segítségével.
Minden használat után tisztítsa meg az ég
ő
elemeit,
miután az kih
ű
lt. Az ételmaradékok (odaégett étel,
zsiradék stb.) könnyen rászáradnak a f
ő
z
ő
felületre, és
kés
ő
bb nehezebb lesz
ő
ket eltávolítani. Az ég
ő
megfelel
ő
lángja érdekében fontos, hogy a lyukak és
vájatok tiszták legyenek.
Egyes edények mozgatásakor fémes foltok
keletkezhetnek a rostélyokon.
Az ég
ő
ket és a rostélyokat tisztítsa meg szappanos
vízzel és dörzsölje át egy nem fémszálas kefével.
Ha a rostélyokon véd
ő
gumi van, legyen óvatos a
tisztításkor. A tömítés leeshet, és a rostély
megkarcolhatja a f
ő
z
ő
lapot.
Mindig hagyja teljesen megszáradni az ég
ő
ket és a
rostélyokat. A vízcseppek vagy nedves területek a f
ő
zés
megkezdésekor károsíthatják a zománcot.
Miután megtisztította és megszárította az ég
ő
ket,
ellen
ő
rizze, hogy a fúvókákra jól visszatette-e azok
fedelét.
Figyelem!
■
A készülék tisztításához ne távolítsa el a
kezel
ő
elemeket. A beszivárgó nedvesség
károsíthatja a készüléket.
■
A tisztításhoz ne használjon g
ő
zzel m
ű
köd
ő
készülékeket. Ezek károsíthatják a f
ő
z
ő
lapot.
■
A f
ő
z
ő
lapra száradt ételmaradékok eltávolítására
soha ne használjon súrolószert, fém
mosogatószivacsot, éles tárgyakat, kést stb.
■
Ne használjon kést, kaparót vagy hasonló eszközt az
olyan részek tisztítására, ahol az üveg találkozik az
ég
ő
k takarásával, illetve a fémprofilokon és az üveg-
vagy alumínium lapokon sem (ha vannak).
■
Az ég
ő
fej részeit ne tegye mosogatógépbe.
Karbantartás
A kiömlött folyadékot azonnal törölje fel. Így elkerülhet
ő
,
hogy az ételmaradékok ráégjenek a f
ő
z
ő
lapra, és
megel
ő
zhet
ő
a kés
ő
bbi, id
ő
igényesebb tisztítás.
Az edényeket ne csúsztassa az üvegen, mivel
megkarcolhatják azt. Ugyancsak ügyeljen, hogy
kemény vagy hegyes vég
ű
tárgyak ne essenek az
üvegre. Ne ütögesse a f
ő
z
ő
lapot egyik sarkán sem.
A homokszemcsék (amelyek például a zöldségfélék
tisztításakor fordulhatnak el
ő
) megkarcolhatják az üveg
felületét.
A f
ő
z
ő
felületre került olvasztott cukrot vagy magas
cukortartalmú ételt azonnal távolítsa el a kaparó
segítségével.
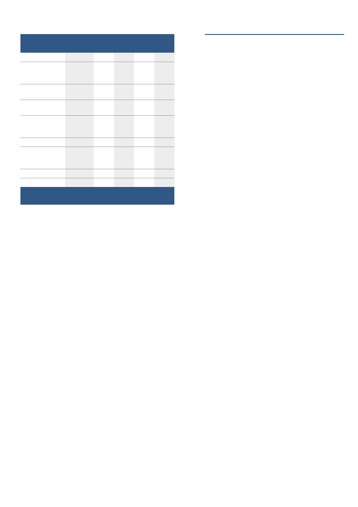
F
ő
zés kuktában
F
ő
tt burgonya
(püré, krumplisa-
láta)
%$'
7-9
8-13
5-6
14-18
Hummusz (csicse-
riborsó püré)
%&'
7-9
10-12 4-7
37-43
Kenyérpuding (víz-
fürd
ő
ben)
%'&
8-9
8-12
6-7
12-18
Olvasztás, felol-
vasztás, kényes
ételek
Besamelmártás**
#$'
5-6*
1-4
5-6
2-11
Szósz kékpe-
nésszel érlelt sajt-
tal**
#$%
3-7*
3-6
Carbonara mártás
$%#
5-9*
4-7
3-5*
4-8
Tejcsokoládé
#$
1*
10-20
Módszer
Ég
ő
fej
1. lépés
2. lépés
Étel
§
v
§
v
*Fed
ő
nélkül
**Folyamatos keverés
Характеристики
Остались вопросы?Не нашли свой ответ в руководстве или возникли другие проблемы? Задайте свой вопрос в форме ниже с подробным описанием вашей ситуации, чтобы другие люди и специалисты смогли дать на него ответ. Если вы знаете как решить проблему другого человека, пожалуйста, подскажите ему :)