Страница 2 - Сведения о беспроводной локальной сети USB:; Microsoft Corporation в Соединённых Штатах и/или других странах.; ПРИМЕЧАНИЯ
© NEC Display Solutions, Ltd. 2007-20085-е издание, май 2008 Сведения о беспроводной локальной сети USB: Проекторы серии NP3150/NP2150/NP1150/NP3151W поставляются с устройством беспроводной локальной сети USB в стан-дартной комплектации не во всех регионах и странах.При необходимости работы через бе...
Страница 3 - Важная информация; Предостережения относительно безопасности; Меры предосторожности; ВНИМАНИЕ
Важная информация Эта этикетка находится на боковой стороне пульта дис-танционного управления. Этот знак находится в верхней части пульта дистанцион-ного управления. Предостережения относительно безопасности Меры предосторожности Внимательно прочтите это руководство перед использованием проектора NE...
Страница 5 - • Не устанавливайте проектор в следующих условиях:; Размещение проектора в горизонтальном положении
Важная информация Важные меры безопасности Эти инструкции по технике безопасности предназначены для обеспечения длительного срока службы проектора и предотвраще-ния поражения электрическим током. Пожалуйста, внимательно прочитайте их и помните обо всех предостережениях. Установка • Не устанавливайте...
Страница 6 - светового луча и вентиляционного отверстия.
v Важная информация Меры пожарной и электрической безопасности • Чтобы предотвратить накопление тепла внутри проектора, убедитесь, что он хорошо вентилируется и что вентиляционные от- верстия не заблокированы. Расстояние между проектором и стеной должно составлять не менее 4 дюймов (10 см). • Не дот...
Страница 7 - Замена лампы; • Чтобы заменить лампу, следуйте инструкциям, приведенным на стр.; Характеристики лампы; ектор может повредиться.
v Предостережение относительно работы с дополнительными объективами Перед транспортировкой проектора снимите дополнительные объективы. Объективы и механизм переключения объективов мо-гут повредиться из-за неправильного обращения с ними во время транспортировки. Во время переноски проектора не держит...
Страница 8 - Предостережения касательно использования; пожару или поражению электрическим током.; Внимание
v Информация о режиме работы на большой высоте • Если проектор используется на большой высоте (приблизительно 5500 футов/1600 метров или выше), установите для пара- метра [РЕЖИМ ВЕНТИЛЯТОРА] значение [БОЛЬШАЯ ВЫСОТА]. Если при использовании проектора на высоте приблизительно 5500 футов/1600 метров и...
Страница 9 - • Передаваемое содержимое может быть перехвачено
v Важная информация Предостережения о безопасности при использовании оборудования беспроводной локальной сети В беспроводных локальных сетях для обмена данными между беспроводными точками доступа (компьютеры и т.д.) вместо ка-белей используются радиоволны, которые обеспечивают преимущество свободног...
Страница 10 - Оглавление
v Оглавление Важная информация ............................................................................................................................ i 1. Введение .....................................................................................................................................
Страница 11 - Использование функции «Просмотр»
x Оглавление Выключение проектора ...........................................................................................................................34 После использования .......................................................................................................................
Страница 12 - Использование экранного меню
x Оглавление 6. Использование экранного меню ..........................................................................................72 Использование меню ...............................................................................................................................72 Использован...
Страница 14 - Комплектация; только для Северной Америки; Гарантийная политика; Проектор
1. Введение Комплектация Убедитесь, что в комплект входит все перечисленное ниже. Если какие-либо элементы отсутствуют, обратитесь к торговому представителю.Пожалуйста, сохраните оригинальную коробку и упаковочные материалы на случай, если вам понадобится перевозить проектор. OFF VIDEO S-VID EO VI...
Страница 15 - Ознакомление с проектором; Поздравляем с покупкой проектора!; • Жк-дисплей с высоким разрешением и высокой яркостью
1. Введение Ознакомление с проектором В этой главе приводится ознакомительная информация о проекторе NP3150/NP2150/NP1150/NP3151W, а также содержится опи-сание его функций и элементов управления. Поздравляем с покупкой проектора! Модель NP3150/NP2150/NP1150 – это современный проектор с разрешением...
Страница 16 - • коррекция цвета стен; Об этом руководстве пользователя
1. Введение • коррекция цвета стен Встроенные функции коррекции цвета стен, выполняющие адаптивную коррекцию цвета при проецировании на экран, имею-щий цвет, отличный от белого. • технология Silicon Optix HQV производит высококачественную обработку видео Эта технология обеспечивает превосходную обра...
Страница 17 - Название деталей проектора; Передняя/верхняя часть
LAM P STAT US POW ER ON /STAN D BY SOUR CE AUTO AD JUST 3D R EFO RM SELECT USB LENS S HIFT LEFT RIG HT DOWN UP W IR E L E S S W IR E L E S S US B LAM P STA TUS PO WE R SO UR CE AU TO AD JUS T 3D REF OR M ON /ST AN D B Y SE LEC T LEN S SHI FT LEFT RIGH T DOW N UP 1. Введение Название деталей проект...
Страница 18 - Нижняя часть; Ручка для переноски; Переноска проектора; Винт для защиты объектива от кражи
1. Введение Нижняя часть Ручка для переноски Переноска проектора Всегда несите проектор за ручку.Прежде чем переносить проектор, убедитесь, что от него отсоединен силовой кабель и все остальные провода подключения к видеоисточнику.Во время переноски или хранения проектора закрывайте объектив крышкой...
Страница 19 - Блокировка ручки для переноски; Осторожно поставьте проектор на торец.
1. Введение Блокировка ручки для переноски 1. Осторожно поставьте проектор на торец. 2. Нажав на фиксатор, вытащите ручку вверх. 3. Нажмите фиксатор слева и справа, чтобы поставить ручку на место. • Чтобы убрать ручку, снова нажмите фиксаторы слева и справа и опусти- те ручку вниз.
Страница 20 - Важнейшие функции
1. Введение Важнейшие функции 1. кнопка POWER ( ) (ON / STAND BY) ( → стр. 23 , 34 ) ПРИМЕЧАНИЕ: Чтобы включить проектор, нажмите эту кнопку и удерживайте нажатой ее не менее 2 секунд. Для выключения проектора нажмите эту кнопку дважды. 2. Индикатор POWER ( → стр. 23 , 34 , 135 ) 3. Индикатор STATUS...
Страница 21 - Функции панели разъемов; приведены типичные коды управления с ПК.; USB-блок для подключения к беспроводной локальной
1. Введение Функции панели разъемов 1. Разъем COMPUTER 1 IN/Component (15-штырьковый мини-разъем D-Sub) ( → стр. 14 , 16 ) AUDIO IN (Стереофоническое мини-гнездо) ( → стр. 14 , 15 , 17 ) 2. Разъемы COMPUTER 2 IN/Component (R/cr, G/Y, B/Cb, H, V) (BNC, 5 шт.) ( → стр. 14 ) AUDIO IN (Стереофоническое ...
Страница 22 - Элементы пульта дистанционного управления; Загорается при нажатии какой-либо кнопки.; Инфракрасный передатчик
1. Введение Элементы пульта дистанционного управления 4. Светодиод Загорается при нажатии какой-либо кнопки. 5. кнопка POWER ON ( → стр. 23 ) ПРИМЕЧАНИЕ: Чтобы включить проектор, нажмите эту кнопку и удерживайте нажатой ее не менее 2 секунд. 6. кнопка POWER OFF ( → стр. 34 ) ПРИМЕЧАНИЕ: Для выключ...
Страница 23 - Установка элемента питания; грады или если на датчик падает слишком яркий свет.; Дистанционный датчик на корпусе проектора
0 1. Введение Установка элемента питания 1 Нажмите на фиксатор и сни-мите крышку, закрывающую элементы питания. 2 Установите новые элементы (AA). При установке элементов питания соблюдайте их полярность (+/–). 3 Установите на место крышку и за-двиньте ее до щелчка. ПРИМЕЧАНИЕ: Не используйте одновре...
Страница 24 - Правила обращения с пультом дистанционного управления; REMOTE
1. Введение Правила обращения с пультом дистанционного управления • Обращайтесь с пультом дистанционного управления бережно.• Если на пульт дистанционного управления попадет влага, немедленно вытрите его насухо.• Берегите пульт от чрезмерно высоких температур и влажности.• Не нагревайте элементы пит...
Страница 25 - Установка и подключение; Настройка экрана и проектора; Настроить экран и проектор.; Расстояние; IR
В этом разделе описаны процедуры настройки проектора и подключения персональных компьютеров, видео- и аудио источников. 2. Установка и подключение Настройка экрана и проектора Выбор месторасположения [NP3150/NP2150/NP1150] Чем дальше от экрана или стены будет установлен проектор, тем большим будет...
Страница 27 - Осуществление подключений; Подключение ПК или компьютера Macintosh; Включение внешнего экрана компьютера; управления или кнопку AUTO ADJUST на корпусе проектора.
2. Установка и подключение Осуществление подключений Подключение ПК или компьютера Macintosh ПРИМЕЧАНИЕ: Подключать проектор к ноутбуку следует, когда проектор пребывает в режиме ожидания, а питание ноутбука отключено.В большинстве случаев сигнал, исходящий от ноутбука, воспринимается только при у...
Страница 28 - AUDIO IN; Во время просмотра цифрового сигнала DVI; (в комплект поставки не
WIRELESS USB(LAN) WIRELESS COMPUTER 3 (DVI-D) IN PHONE AUDIO IN 2. Установка и подключение Во время просмотра цифрового сигнала DVI Для проецирования цифрового сигнала DVI необходимо подключить ПК к проектору с помощью кабеля передачи сигнала DVI (в комплект поставки не входит) перед тем, как будет ...
Страница 29 - AUDIO OUT; MONITOR OUT
AUDIO IN WIRELESS USB(LAN) WIRELESS AUDIO OUT PHONE MONITOR OUT COMPUTER 1 IN ( или COMPUTER 2 IN / COMPONENT IN) 2. Установка и подключение Подключение внешнего монитора К проектору можно подключить отдельный внешний монитор для параллельного просмотра на мониторе проецируемого аналого-вого или ком...
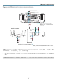
Страница 30 - COMPONENT IN; Звуковое оборудование
AUDIO IN L R AUDIO OUT L R Component Y Cb Cr WIRELESS USB(LAN) WIRELESS COMPONENT IN AUDIO IN 2. Установка и подключение Подключение DVD-проигрывателя через компонентный выход DVD-проигры-ватель Звуковое оборудование Кабель звукового сигнала (в комплект поставки не входит) Компонентный видеосигнал R...
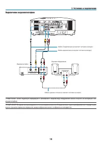
Страница 31 - VIDEO IN; Кабель видеосигнала (в комплект поставки не входит)
AUDIO IN L R AUDIO OUT L R VIDEO OUT S-VIDEO VIDEO WIRELESS USB(LAN) WIRELESS S-VIDEO IN VIDEO IN AUDIO IN 2. Установка и подключение Подключение видеомагнитофона Кабель S-видеосигнала (в комплект поставки не входит) Кабель видеосигнала (в комплект поставки не входит) Видеомагнитофон Звуковое оборуд...
Страница 32 - Подключение к сети; Функция управления проектором
Подключение к сети Стандартна модель NP3150/NP2150/NP1150/NP3151W оснащена портом ЛВС (RJ-45), через который можно подключаться к ло-кальной сети с помощью кабеля ЛВС. Подключение к беспроводной ЛВС можно осуществить также через USB-блок для подклю-чения к беспроводной локальной сети. Для подключени...
Страница 33 - Пример подключения к лВС; (A) Пример подключения к проводной локальной сети; LAN; Точка беспроводного доступа
0 Пример подключения к лВС (A) Пример подключения к проводной локальной сети WIRELESS USB(LAN) WIRELESS LAN Сервер Концентратор Кабель ЛВС (в комплект поставки не входит) ПРИМЕЧАНИЕ: Используйте кабель ЛВС категории 5 или выше. 2. Установка и подключение (Б) Пример подключения к беспроводной локальн...
Страница 34 - Режим Ad Hoc соответствует стандарту IEEE802.11.; (В) Пример подключения к беспроводной локальной сети (Тип сети
2. Установка и подключение Для того, чтобы наладить прямую связь между персональными компьютерами и проекторами (например, по типу передачи между равноправными узлами), необходимо выбрать режим Ad Hoc.Из меню выберите [ВКЛ.] → [УСТАНОВКА(2)] → [СЕТЕВЫЕ НАСТРОЙКИ] → [БЕСПРОВОДНОЙ] → [СЛОЖНОЕ] → [ПОД-...
Страница 35 - чатель и прерыватель.; о функции прямого выключения питания
2. Установка и подключение Присоединение силового кабеля, входящего в комплект поставки Подсоедините к проектору силовой кабель, входящий в комплект поставки.Сначала вставьте трехштырьковый штепсель силового кабеля в разъем AC IN проектора, после чего подсоедините второй конец кабеля к электрической...
Страница 36 - Включение проектора; пульте дистанционного управления — кнопка POWER ON и OFF).
OFF VIDEO S-VIDEO VIEWER NETWORK COMPUTER COMPONENT ON SELECT POWER POWER MENU ENT E R EXI T 3 1 2 usBlampstatuspoWEr on/stanD By sourcE auto aDJust 3D rEForm 3. Проецирование изображения (основная операция) В этом разделе описано, как включить проектор и спроецировать изображение на экран. Включе...
Страница 37 - Примечание об экране запуска (экран выбора языка меню); Для выбора языка меню выполните такие действия:; С помощью кнопки SELECT
OFF VIDEO S-VIDEO VIEWER NETWORK COMPUTER COMPONENT ON POWER POWER MENU ENT E R EXI T 3 1 2 SELECT 3. Проецирование изображения (основная операция) Примечание об экране запуска (экран выбора языка меню) После первого включения проектора отображается меню запуска. В нем можно выбрать для меню один из...
Страница 38 - Выбор источника сигнала; Автоматическое обнаружение сигнала; Использование пульта дистанционного управления; Выбор из списка источников
3. Проецирование изображения (основная операция) Выбор источника сигнала Выбор в качестве источника сигнала компьютера или видеооборудования Автоматическое обнаружение сигнала Нажмите и удерживайте кнопку SOURCE нажатой не менее 1 секунды; проектор будет осуществлять поиск следующего доступного ис...
Страница 39 - Регулировка размера и положения изображения; Коррекция трапециевидного искажения» на стр.
3. Проецирование изображения (основная операция) Для настройки размера и положения изображения можно использовать лимбы для смещения объектива, рычаги ножки для регу-лирования наклона проектора, рычаг масштабирования и колесико focus. Регулировка размера и положения изображения LAM P STAT US POW E...
Страница 40 - Настройка положения проецируемого изображения; • Поверните лимб для смещения объектива.; LAM; Не поворачивайте его чрезмерно, иначе он может сломаться.
3. Проецирование изображения (основная операция) Настройка положения проецируемого изображения • Поверните лимб для смещения объектива. LAM P STATU S POW ER ON/S TAND BY SOUR CE AUTO ADJU ST 3D R EFOR M SELEC T USB SELEC T LENS S HIFT LEFT RIGHT DOWN UP W IR E L E S S W IR E L E S S LENS SHIFT LEFT ...
Страница 41 - • Для настройки фокуса поворачивайте колечко focus.; Колесико Focus; Рычаг масштабирования
3. Проецирование изображения (основная операция) Настройка фокуса (колечко Focus) • Для настройки фокуса поворачивайте колечко focus. Колесико Focus LAM P STAT US POW ER ON/S TAND BY SOUR CE AUTO ADJU ST 3D R EFOR M SELEC T USB LENS S HIFT LEFT RIGHT DOWN UP W IR E L E S S W IR E L E S S LENS RELEAS...
Страница 42 - Настройка ножки для регулирования наклона; Опустите переднюю часть проектора до требуемой высоты.
Настройка ножки для регулирования наклона 1. Поднимите передний край проектора. ВНИМАНИЕ: Не дотрагивайтесь до выпускного вентиляционного отверстия во время настройки ножки для регулирования наклона, поскольку после включения проектор нагревается и продолжает оставаться нагретым во время периода охл...
Страница 43 - Рамка экрана; Коррекция трапециевидного искажения
0 1. Нажмите кнопку 3D REFORM на проекторе или пульте дистанционного уп- равления. На дисплее отобразится экран Основной принцип. 2. Нажмите кнопку SELECT , чтобы выбрать [ВЕРТиКальНОЕ] и затем с по- мощью кнопок SELECT или добейтесь параллельности левой и правой сторон проецируемого изображен...
Страница 44 - Повторяйте шаги 2 и 4 для коррекции трапециевидного искажения.
ПРИМЕЧАНИЕ:• Если угол проекции остался неизменным с предыдущего раза, можно использовать результаты предыдущей коррекции, кото- рые сохранились в памяти. • Во время выполнения шага 2 настройте положение изображения таким образом, чтобы зона проекции была больше экрана.• Чтобы сбросить результаты ко...
Страница 45 - Автоматическая оптимизация цветовых оттенков изображения; Настройка изображения с помощью кнопки Auto Adjust; ки SELECT; Увеличение и уменьшение громкости; Увеличение громкости
3. Проецирование изображения (основная операция) Автоматическая оптимизация цветовых оттенков изображения Настройка изображения с помощью кнопки Auto Adjust Автоматическая оптимизация цветовых оттенков изображения.Для выполнения автоматической оптимизации цветовых оттенков изображения нажмите кноп...
Страница 46 - Использование лазерной указки; Чтобы включить лазерную указку, нажмите и подержите кнопку LASER.; Настройка переключателя функций; Блокируйте лазер, если к прибору имеют доступ дети.
3. Проецирование изображения (основная операция) Использование лазерной указки Лазерная указка служит для привлечения внимания аудитории к красной точке, которую можно направить на любой предмет. ВНИМАНИЕ: • Не смотрите на лазерную указку, когда она включена.• Не направляйте лазерный луч на людей....
Страница 47 - Выключение проектора; Чтобы выключить проектор:; Нажмите кнопку ENTER; После использования
oFF viDEo s-viDEo viEWEr nEtWork computEr componEnt on sElEct POWER POWER mEnu Ent E r E Xi t 3 1 2 Выключение проектора Чтобы выключить проектор: 3. Проецирование изображения (основная операция) 1. Нажмите на кнопку POWER (ON/STAND BY) на корпусе проектора или кнопку POWER OFF на пульте дистанцио...
Страница 48 - Отключение изображения и звука; Увеличение и и передвижение изображения; При желании некоторую область можно увеличить до 400%.; Нажмите кнопку SELECT
FREEZE PIP LASER 3D REFORM AUTO ADJ. ASPECT HELP PICTURE PIC-MUTE LAMP MODE R-CLICK L-CLICK MOUSE VOLUME MAGNIFY PAGE UP DOWN NTER EXI T PIC-MUTE LASER 3D REFORM AUTO ADJ. ASPECT HELP PICTURE LAMP MODE R-CLICK L-CLICK MOUSEFREEZE PIP VOLUME MAGNIFY PAGE UP DOWN NTER EXI T 4. Функции удобства Отклю...
Страница 49 - Использование встроенной; Нажмите кнопку HELP на пульте дистанционного уп-; Закрытие справки; Изменение режима лампы; или
4. Функции удобства oFF viDEo s-viDEo viEWEr nEtWork computEr componEnt on sElEct POWER POWER mEnu 3 1 2 En tEr EXi t Использование встроенной справочной информации Справочная информация доступна на английском, немецком и японском языках. 1. Нажмите кнопку HELP на пульте дистанционного уп- равлени...
Страница 50 - Работа с меню с помощью USB-мыши; Курсор мыши; Использование USB-мыши; С помощью USB-мыши можно управлять такими пунктами меню:
Работа с меню с помощью USB-мыши Курсор мыши При подключении к проектору USB-мыши на экране появится курсор.Если USB-мышью не пользуются в течение 10 секунд, курсор исчезнет. Настройка и регулировка дисплея Для выполнения настройки и регулировки можно выбрать какой-либо пункт меню и щелкнуть по нему...
Страница 51 - Подключение дистанционного приемника мыши к компьютеру; Дистанционный приемник мыши; Подключение с использованием порта USB
4. Функции удобства Использование дополнительного дистанционного приемника мыши (NP01MR) Дополнительный дистанционный приемник мыши позволяет управлять функциями компьютерной мыши с пульта дистанционного управления. Он очень удобен для просмотра презентаций, созданных на компьютере. Подключение ди...
Страница 52 - Режим перетаскивания:
4. Функции удобства Управление компьютерной мышью с пульта дистанционного управления Компьютерной мышью можно управлять с пульта дистанционного управления. Кнопка PAGE UP/DOWN ....................служит для прокручивания зоны просмотра окна, а также для перехода к предыдущему или следующему слайду в...
Страница 53 - Проецируемое изображение; Краеугольная; Отобразится экран краеугольной коррекции.; Экран; Во время настраивания [ОСНОВНОЙ ПРИНцИП] параметр
0 Коррекция горизонтального и вертикального трапециевидного искаже- ния [КРАеУгОльНАя] Функция 3D Reform используется для коррекции трапециевидного искажения, т.е. для удлинения или укорачивания верхнего/ниж-него и правого/левого края изображения, чтобы оно стало прямоугольным. 4. Функции удобства...
Страница 54 - С помощью кнопки SELECT
8. Нажмите кнопку ENTER. 4. Функции удобства 10. Нажмите кнопку SELECT или , чтобы выбрать [OK] и нажмите кнопку ENTER. Краеугольная коррекция будет завершена.Выбрав [ОТМЕНА], можно вернуться к экрану настроек без сохранения изменений (шаг 3).Выбрав [ВОССТ.], можно восстановить стандартные завод...
Страница 55 - Функция 3D Reform имеет такие диапазоны настройки:; ГОРИЗОНТАЛЬНО
4. Функции удобства * Максимальный угол можно получить при следующих условиях: • Используется стандартный объектив• Объектив смещен в центр Если объектив смещен, однако изображение все равно не отображается по центру, диапазон настройки можно увеличить или уменьшить. • Изображение проецируется в реж...
Страница 56 - Одновременно показывает два изображения; Выбор режима КАРТИНКА В КАРТИНКе или ПАРАллельНО [РеЖИМ]; С помощью данной опции можно выбрать два режима: PIP и Параллельно.; Основное изображение
4. Функции удобства 9 Одновременно показывает два изображения В данном проекторе имеется функция, которая позволяет просматривать одновременно два разных сигнала. Вы имеете два ре-жима: Режим PIP (картинка в картинке) и режим Параллельно. из меню можно выбрать [ВКл.] → [ОСНОВНОЙ] → [PIP/SIDE BY SIDE...
Страница 57 - Просмотр двух изображений; Нажмите кнопку PIP на пульте дистанционного управления.
4. Функции удобства Просмотр двух изображений 1. Нажмите кнопку PIP на пульте дистанционного управления. Будет показан экран источников [PIP/SIDE BY SIDE ИСт.]. 2. С помощью кнопки SELECT или выберите источник и нажмите кнопку ENTER. Будет показан экран КАРтИНКА В КАРтИНКЕ или ПАРАЛЛЕЛЬНО в зави...
Страница 60 - Один раз нажмите кнопку SELECT
4. Функции удобства 8. С помощью виртуальной клавиатуры введите буквенно-цифровой пароль. Например, чтобы ввести «1234», выполните шаги с 8-1 до 8-4, приведенные ниже. ПРИМЕЧАНИЕ: • Если используется USB-мышь, выбирайте указателем мыши каждую цифру или букву. BS: для удаления символа, который стоит ...
Страница 61 - Проверка состояния функции безопасности; ключевого слова» введите «1234».
4. Функции удобства Проверка состояния функции безопасности Чтобы узнать состояние функции безопасности, выключите и снова включите проектор. 1. Нажмите кнопку POWER (ON/STANDBY). Появится сообщение [ВыКЛЮЧЕНИЕ / Вы УВЕРЕНы?]. После этого нажмите кнопку ENTER или повторно нажмите кнопку POWER (ON/ST...
Страница 62 - Отмена защиты; На экране отобразится меню.
Отмена защиты 1. Нажмите кнопку MENU. На экране отобразится меню. ПРИМЕЧАНИЕ: Сразу после включения проектора и отображения сообщения «Проектор заблокирован! Введите свой пароль.» внизу экрана при нажатии кнопки MENU будет отображен экран для ввода пароля. На данном этапе при нажатии кнопки MENU буд...
Страница 63 - Ограничение доступа к некоторым пунктам меню; У проектора имеется два уровня меню: СЛОЖНОЕ меню и ОСНОВНОЕ меню.; Вход в систему
0 4. Функции удобства Ограничение доступа к некоторым пунктам меню Функция «Учетная запись» служит для управления доступом к пунктам меню в зависимости от уровня пользователя. У проектора имеется два уровня меню: СЛОЖНОЕ меню и ОСНОВНОЕ меню. СЛОЖНОЕ меню .... В этом меню содержатся все доступные ...
Страница 64 - Создание или добавление нового пользователя; Отобразится экран [УЧЕтНАЯ ЗАПИСЬ] для создания учетной записи.
4. Функции удобства Создание или добавление нового пользователя 1. из меню выберите [ВКл.] → [УСТаНОВКа(2)] → [НаСТРОЙКи бЕзОПаСНОСТи]. 2. Выберите [УчЕТНаЯ заПиСь]-[УСТаНОВКи]. Отобразится экран [УЧЕтНАЯ ЗАПИСЬ]. 3. Выберите [СОзДаТь]. Отобразится экран [УЧЕтНАЯ ЗАПИСЬ] для создания учетной записи....
Страница 65 - Удаление пользователя; теперь пользователь удален.
4. Функции удобства Редактирование пользователя (изменение установок учетной записи) 1. из меню выберите [ВКл.] → [УСТаНОВКа(2)] → [НаСТРОЙКи бЕзОПаСНОСТи]. ПРИМЕЧАНИЕ: мы рекомендуем, чтобы изменением установок учетных записей занимался пользователь с учетной записью АДМИНИСтРАтОР. 2. Выберите [УчЕ...
Страница 66 - Работа с помощью браузера HTTP; Обзор; адрес для строки ввода будет иметь вид
L Работа с помощью браузера HTTP Обзор Благодаря функциям сервера HTTP можно управлять проектором через веб-браузер, не устанавливая специальное программное обеспечение. Используйте веб-браузер «Microsoft Internet Explorer 4.x» или более поздней версии. (В данном устройстве исполь-зуется язык JavaSc...
Страница 67 - Структура сервера HTTP
Структура сервера HTTP POWER: служит для управления питанием проектора. ON ..............................................Питание включено.OFF .............................................Питание выключено. VOLUME: служит для управления громкостью проектора. ...........................................
Страница 68 - PROJECTOR STATUS: служит для отображения состояния проектора.
SOURCE SELECT: служит для переключения входных разъемов проектора. COMPUTER1 .............................Переключение на разъем COMPUTER 1 IN.COMPUTER2 .............................Переключение на разъем COMPUTER 2 IN.COMPUTER3 .............................Переключение на разъем COMPUTER 3 (DVI-D) ...
Страница 69 - Проецирование изображения с экрана компьютера через проектор; операционная среда; Допустимые ОС
M Проецирование изображения с экрана компьютера через проектор по сети [СеТеВОЙ ПРОеКТОР] Компьютером, основанным на Windows Vista, можно управлять по сети с помощью проектора. Данный проектор поддерживает функции «Сетевой проектор» и «Удаленный рабочий стол» Windows Vista. Выбрав проектор, подключе...
Страница 71 - Отобразится сообщение «Хотите сохранить эти параметры?».; Проецирование изображений с сетевого проектора; В окне «Доступные проекторы» будет отображено «NP3150 Series».
4. Функции удобства 4. С помощью ползунка [Разрешение] измените разрешение на [РазРЕШЕНиЕ ЭКРаНа] экрана СЕТЕВОЙ ПРОЕКТОР. 5. Выберите [OK]. Отобразится сообщение «Хотите сохранить эти параметры?». 6. Выберите [Да]. Разрешение экрана Windows Vista изменено на [РАЗРЕШЕНИЕ ЭКРАНА], отображенное на экр...
Страница 72 - завершение работы с сетевым проектором; Работа с сетевым проектором будет завершена.
4. Функции удобства 8. Введите пароль в поле ввода пароля, которое откроется после выполнения шага 7. 9. Выберите [Подключить]. Запустится функция сетевого проектора, и откроется экран Windows Vista. • Если в случае использования Windows Vista Service Pack 1 (SP1) разрешение экрана Windows Vista отл...
Страница 73 - Управление компьютером по сети с помощью проектора [УДАлеННЫЙ; с экрана компьютера.; . ОС Windows Vista Home Premium не доступна для УДАЛЕННыЙ РА-
0 4. Функции удобства N Управление компьютером по сети с помощью проектора [УДАлеННЫЙ РАБОЧИЙ СТОл] • Выбрав компьютер, подключенный к той же сети, что и проектор, можно по сети проецировать на экран изображение с экрана компьютера. Затем с помощью клавиатуры можно работать с Windows Vista на ПК, по...
Страница 75 - Система вернется к рабочему столу.; запуск удаленного рабочего стола
4. Функции удобства 4. Выберите пункт [Просмотр состояния], отображаемый в окне синим цветом справа от пункта [Подключение по ло- кальной сети]. Откроется окно [Состояние - Подключение по локальной сети]. 5. Выберите [Сведения...]. Запишите значение, которое отобразится для «IPv4: IP-адрес» (xxx.xxx...
Страница 77 - завершение работы с удаленным рабочим столом; Работа функции удаленного рабочего стола завершится.
завершение работы с удаленным рабочим столом 1. С помощью беспроводной клавиатуры нажмите [Пуск] на экране рабочего стола, проецируемом проектором. 2. Нажмите [X] в меню «Пуск» справа. Работа функции удаленного рабочего стола завершится. 3. С помощью кнопки SOURCE на проекторе выберите разъем входно...
Страница 78 - Оптимальное использование функции «Просмотр»; Функции; Сохранение данных на устройство USB-памяти; Сохранять данные на устройство USB-памяти можно двумя способами.; Использование программы Ulead Photo Explorer 8.0
5. Использование функции «Просмотр» Оптимальное использование функции «Просмотр» Функции С помощью функции «Просмотр» можно просматривать слайды или видео файлы, сохранённые на запоминающем устройстве USB в проекторе. Даже при отсутствии компьютера с помощью проектора можно проводить презентации. ...
Страница 79 - Управление функцией «Просмотр» с проектора (воспроизведение); Работа с меню программы «Просмотр»; Слайд и миниатюра; Позволяет перейти к следующему изображению.
5. Использование функции «Просмотр» Управление функцией «Просмотр» с проектора (воспроизведение) В данном разделе описан порядок работы по показу созданных слайдов или файлов фильмов. Проецирование слайдов («Просмотр») Подготовка: Сохраните файлы в формате JPEG или BMP (файлы в формате JPEG, BMP, ...
Страница 80 - Для отображения фильма; вратится к экрану миниатюр.; Панель элементов управления
5. Использование функции «Просмотр» Показ фильма Подготовка: Сохраните файлы MPG на вставленном в компьютер запоминающем устройстве USB. Для отображения фильма 1. Нажмите кнопку SOURCE для выбора [ПРОСмОТР]. Появится окно функции «Просмотр». (В соответствии с заводской стандартной установкой, на экр...
Страница 81 - Подсветка; экран миниатюр
5. Использование функции «Просмотр» Подсветка .................................... Указывает на то, что данная папка или дисковод выбран.Список папок ................................ Служит для отображения папок, которые имеются на устройстве USB-памяти.Информация ................................ Сл...
Страница 82 - РЕЖИМ ВОСПРОИЗВЕДЕНИЯ:
5. Использование функции «Просмотр» Настройка опции для функции «Просмотр» РЕЖИМ ВОСПРОИЗВЕДЕНИЯ: РУЧНОЙ РЕЖИМ ... Служит для выбора слайдов вручную, когда в качестве источника сигнала указана функция «Просмотр».АВТО ........................ Служит для автоматического воспроизведения слайдов, когда ...
Страница 83 - Меню МИНИАТЮРЫ; Меню МИНИАТЮРЫ содержит следующие команды:; Выход из режима «Просмотр»; те дистанционного управления.
0 Меню МИНИАТЮРЫ Меню МИНИАТЮРЫ появляется после нажатия кнопки MENU на пульте дистанционного управления или корпусе проектора. Чтобы закрыть меню МИНИАТЮРЫ, нажмите кнопку EXIT. Меню МИНИАТЮРЫ содержит следующие команды: ВОСПРОИЗВЕДЕНИЕ .. Воспроизведение в автоматическом или ручном режиме в зависи...
Страница 84 - Изменение логотипа фона; При помощи кнопки SELECT
5. Использование функции «Просмотр» Изменение логотипа фона С помощью функции «Просмотр» можно изменить логотип, отображаемый на фоне по умолчанию. ПРИМЕЧАНИЕ: Файл с логотипом должен иметь размер 256кб или меньше. Максимальное разрешение файла составляет 1024 x 768 в моделях NP3150/NP2150/NP1150 ...
Страница 85 - Использование меню; Установки будут сохранены до следующих изменений.
Использование меню 1. Для отображения меню нажмите кнопку MENU на пульте дистанционного управления или корпусе проектора. ПРИМЕЧАНИЕ: такие команды, как , ВВОД, ВыХОД, расположенные в нижней части, отображают доступные для работы кнопки. 2. Для отображения подменю нажимайте кнопки SELECT на ...
Страница 86 - Введение букв и цифр при помощи программной клавиатуры; чтобы выбрать символ из строки, нажимайте кнопки; Во время использования мыши:; Наведите указатель на символ и щелкните его.
6. Использование экранного меню Использование СлОЖНОгО и ОСНОВНОгО меню У проектора имеется два уровня меню: СЛОЖНОЕ меню и ОСНОВНОЕ меню. СЛОЖНОЕ меню .... В этом меню содержатся все доступные меню и команды. К СЛОЖНОМУ меню могут иметь доступ поль- зователи с учетными записями АДМИНИСТРАТОР или СЛ...
Страница 87 - Дерево меню; Меню
Дерево меню Меню Пункты меню ИСТ. КОМПЬЮТЕР 1, КОМПЬЮТЕР 2, КОМПЬЮТЕР 3, КОМПОНЕНТ, ВИДЕО, S-ВИДЕО, ПРОСМОТР, СЕТЬ, СПИСОК ВВОДА НАСТР. ИЗОБРАЖЕНИЕ РЕЖИМ СТАНДАРТНЫЙ, ПРОФЕССИОНАЛЬНЫЙ ПРЕДВАРИТ УСТАНОВКА 1 to 7 ПОДРОБНЫЕ УСТАНОВКИ ОБЩИЕ НАСТРОЙКИ ССЫЛКА ВЫС. ЯРК, ПРЕЗЕНТАЦИЯ, ВИДЕО, ФИЛЬМ, ГРАФИКА...
Страница 88 - *2 В модели NP3151W параметр ПОЛОЖЕНИЕ недоступен.
6. Использование экранного меню Меню Пункты меню ВКЛ. УСТАНОВКА(1) ОРИЕНТАЦИЯ ФРОНТАЛЬНАЯ СО СТОЛА, ТЫЛЬНАЯ С ПОТОЛКА, ТЫЛЬНАЯ СО СТОЛА, ФРОНТАЛЬНАЯ С ПОТОЛКА ЭКРАН ТИП ЭКРАНА: ЭКРАН 4:3, ШИРОКИЙ ЭКРАН *1 / ПОЛОЖЕНИЕ *2 ГЕОМЕТР. КОРРЕКЦИЯ ВЫКЛ., 1, 2, 3 MULTI-SCREEN COMP. РЕЖИМ, КОНТРАСТ, ЯРКОСТЬ УС...
Страница 89 - Элементы меню; окна меню и диалоговые окна обычно имеют такие элементы:; ный параметр активен.
Элементы меню Линейка с ползунком Сплошной треугольник Подсветка Селективная кнопка Кнопка-флажок Кнопка «Отмена» Кнопка ОК окна меню и диалоговые окна обычно имеют такие элементы: Подсветка .............................. Указывает выбранный пункт меню или параметр. Сплошной треугольник ........ У...
Страница 90 - Служит для отображения списка сигналов. (
6. Использование экранного меню Описание и функции меню [ИСТ.] КОМПьЮТеР 1 и 2 Служит для выбора компьютера, подключенного к разъему входного сигнала COMPUTER 1 или COMPUTER 2 на проекторе. ПРИМЕЧАНИЕ: • Если компонентный исходящий сигнал подключен к разъему COMPUTER 1, COMPUTER 2 или COMPUTER 3, ...
Страница 91 - Использование списка ввода
6. Использование экранного меню [СПИСок ВВоДА] Использование списка ввода При выполнении настроек какого-либо источника сигнала эти настройки автоматически регистрируются в списке ввода. При не-обходимости из списка ввода можно загрузить (значения настроек) регистрируемых сигналов.Однако в списке вв...
Страница 92 - Служит для ввода названия сигнала. Можно ввести до 18 букв и цифр.
6. Использование экранного меню НАзВАНИЕ ИСтоЧНИкА: Служит для ввода названия сигнала. Можно ввести до 18 букв и цифр. ВХоДНАЯ клЕММА: Служит для изменения входной клеммы. зАМкНУть: Служит для установки невозможности удаления данного сигнала при выборе опции [УДАЛИТЬ ВСё]. После выбора [ЗАМКНУТЬ] из...
Страница 93 - СТАНДАРТНЫЙ
0 6. Использование экранного меню Описание и функции меню [НАСТР.] [ИЗОБРАЖеНИе] [РЕЖИМ] С помощью этой функции можно узнать, как сохранить установки для пункта [ПОДРОБНЫЕ УСТАНОВКИ] меню [ПРЕДВАРИТ УСТАНОВКА] для каждого входного сигнала. СТАНДАРТНЫЙ ................. Сохранение установок для каж...
Страница 94 - тельное значение цветовой температуры.
6. Использование экранного меню [ПоДРоБНыЕ УСтАНоВкИ] Данная функция предоставляет две страницы меню с более подробными установками. [ОБЩИЕ НАСТРОЙКИ]Выбор параметра ссылки [ССЫЛКА]Благодаря этой функции значения коррекции цвета или гаммы можно использовать в качестве справочных данных для опти-миза...
Страница 96 - Служит для ручной настройки параметров ЧАСЫ и ФАЗА.
6. Использование экранного меню [НАСТР. ИЗОБР] Настройка времени и фазы [ЧАСы/ФАзА] Служит для ручной настройки параметров ЧАСЫ и ФАЗА. ЧАСЫ ....................... Используйте этот параметр для точной настройки компьютерного изображения или удаления каких-либо вертикальных полос, которые могут появ...
Страница 98 - Выбор аспектного отношения [AСПЕктНоЕ отНоШЕНИЕ]
6. Использование экранного меню Выбор аспектного отношения [AСПЕктНоЕ отНоШЕНИЕ] Тип экрана – ЭКРАН 4:3 (ВИДЕО) Тип экрана – ШИРОКИЙ ЭКРАН (ВИДЕО) RGB Параметр Aспектное Отношение позволяет выбрать наилучший формат для отображения исходного изображения.Если выбрать для источника тип экрана ЭКРАН 4:3...
Страница 99 - RGB
6. Использование экранного меню [NP3150/NP2150/NP1150]ВИДЕО НАПОЛНЕНИЕ 4:3 ФОКУС СЖАТИЕ ПОЧТОВЫЙ ЯЩИК ПОЧТОВЫЙ ЯЩИК ПОЧТОВЫЙ ЯЩИК ОКНО 4:3 4:3 4:3 ШИРОКИЙ ЭКРАН ШИРОКИЙ ЭКРАН AСПЕКТНОЕ ОТНОШЕНИЕ ЭКРАН 4:3 AСПЕКТНОЕ ОТНОШЕНИЕ ШИРОКИЙ ЭКРАН Уст рой ств о вв ода Си гнал RGB AСПЕКТНОЕ ОТНОШЕНИЕ AСПЕКТНО...
Страница 101 - ПРИМЕЧАНИЕ: Эта функция не доступна для сигналов RGB.; Регулировка усиления контраста [УСИлЕНИЕ коНтРАСтА]
[ВИДеО] Использование функции [СНИЖЕНИЕ ШУМА] Эта функция позволяет уменьшить зашумленность видеоизображения. СНИЖЕНИЕ СЛУЧАЙНОГО ШУМА ........Служит для снижения дрожания изображения. СНИЖЕНИЕ ШУМОВ ВИДЕО ..................Снижает уровень шумов, которые появляются по краям изображения во время вос-...
Страница 103 - Изменения сохраняются при выключении проектора.
0 6. Использование экранного меню Описание и функции меню [ВКл.] [ОСНОВНОЙ] Выбор режима коррекции трапециевидного искажения [оСНоВНой ПРИНцИП] С помощью этой функции можно корректировать трапециевидное искажение.При выборе этого пункта отображается меню параметров коррекции трапециевидного искаже...
Страница 104 - Выбор режима краеугольной коррекции [кРАЕУГольНАЯ]
6. Использование экранного меню Выбор режима краеугольной коррекции [кРАЕУГольНАЯ] С помощью этой опции можно корректировать трапециевидное искажение.При выборе этого пункта отображается экран краеугольной коррекции. ( → стр. 40 ) ПРИМЕЧАНИЕ: Когда выбраны пункты [ОСН ПРИНцИП] или [ГЕОМЕтР. КОРРЕКцИ...
Страница 105 - использование функции коррекции цвета стены [цВЕт СтЕНы]
6. Использование экранного меню использование функции коррекции цвета стены [цВЕт СтЕНы] С помощью этой функции осуществляется быстрая коррекция цвета с целью адаптации изображения к экрану, чей цвет отличен от белого.Доступны девять опций: Выбор обычного или экономичного режима лампы [РЕЖИМ лАМПы] ...
Страница 106 - использование таймера выключения [Выкл тАйМЕР]
6. Использование экранного меню использование таймера выключения [Выкл тАйМЕР] 1. Выберите подходящее время от 30 минут до 16 часов: ВыКл., 0:30, 1:00, 2:00, 4:00, 8:00, 12:00, 16:00.2. Нажмите кнопку ENTER на пульте дистанционного управления.3. Оставшееся время отсчитывается в обратном порядке.4. К...
Страница 107 - Установите новый таймер программы; В окне ТаЙмЕР ПРОГРаммы, используя кнопку SELECT
6. Использование экранного меню Установите новый таймер программы 1. В окне ТаЙмЕР ПРОГРаммы, используя кнопку SELECT или , выберите пункт [УСТаНОВКи], а затем нажмите кнопку ENTER. Откроется окно [СПИСОК ПРОГРАММ]. ПРИМЕЧАНИЕ: Если таймер программ включен, изменить настройки окна [СПИСОК ПРОГРА...
Страница 108 - Активация таймера программы; кнопку SELECT
4. Выберите [ОК] и нажмите кнопку ENTER. Настройка будет завершена. Снова откроется окно [СПиСОК ПРОГРамм]. ПРИМЕЧАНИЕ: • Можно запрограммировать до 30 различных установок таймера.• Если [тАЙМЕР ПРОГРАММы] включен, настройки пункта [РЕЖИМ ОЖИДАНИЯ] игнорируются.• таймер программы работает на основе ...
Страница 109 - Удаление программ; Нажмите кнопку SELECT
Удаление программ 1. В окне [СПиСОК ПРОГРамм] выберите номер программы, которую нужно удалить, а затем нажмите кнопку SELECT . 2. Нажмите кнопку SELECT , чтобы выбрать пункт [УДалЕНиЕ]. 3. Нажмите кнопку ENTER. Откроется окно подтверждения. 4. Выберите [Да] и нажмите кнопку ENTER. Программа буде...
Страница 110 - Выход из системы проектора [ВыХоД Из СИСтЕМы]; Нажмите кнопку MENU и с помощью кнопки SELECT
Выход из системы проектора [ВыХоД Из СИСтЕМы] С помощью этой функции можно выйти из системы проектора, не выключая его.Благодаря выходу из системы предупреждается работа с проектором пользователей без права доступа.Для выхода из системы проектора выполните следующие шаги. 1. Нажмите кнопку MENU и с ...
Страница 111 - Для цвета меню возможны две опции: цветной и монохромный.; Выбор значения параметра [ВРЕМЯ ПокАзА МЕНЮ]; ным заводским значением.; Выбор цвета или логотипа для фона с помощью параметра [ФоН]
6. Использование экранного меню [МеНЮ] Выбор значения параметра [ВыБоР цВЕтА] Для цвета меню возможны две опции: цветной и монохромный. Включение/выключение функций [ДИСПлЕй ИСтоЧНИкА], [ИНДИкАтоР СооБЩЕНИЯ], [ДИСПлЕй ВРЕМЕ-НИ], [ДИСПлЕй ID] ДИСПЛЕЙ ИСТОЧНИКА ......Эта опция служит для включения или...
Страница 112 - Выбор ориентации проектора с помощью параметра [оРИЕНтАцИЯ]; ФРОНТАЛЬНАЯ СО СТОЛА
6. Использование экранного меню [УСТАНОВКА(1)] Выбор ориентации проектора с помощью параметра [оРИЕНтАцИЯ] Служит для переориентировки изображения в соответствии с типом проецирования. Имеет такие опции: фронтальная со стола, тыльная с потолка, тыльная со стола и фронтальная с потолка. ФРОНТАЛЬНАЯ С...
Страница 113 - выполняется цифровая коррекция.; область, в которой сигнал отсутствует
00 Выбор аспектного отношения и положения на экране с помощью параметра [экРАН] ТИП ЭКРАНА .......... Выберите одну из двух опций: ЭКРАН 4:3 или ШИРОКИЙ ЭКРАН в соответствии с используемым экра- ном. См. также [AСПЕКТНОЕ ОТНОШЕНИЕ].( → стр. 85 ) ПОЛОЖЕНИЕ ......... Благодаря этой функции можно настр...
Страница 114 - Настройка; Отображается белый экран на экране компьютера.
0 6. Использование экранного меню Использование компенсации нескольких экранов [MULTI-SCREEN COMP.] Данная функция позволяет совмещать изображения проецируемые с нескольких параллельных проекторов. РЕЖИМ ................... ВЫКЛ: Выключает эту функцию и возвращает к обычной яркости экрана. ВКЛ: Вклю...
Страница 115 - стандартной комплектации не во всех регионах и странах.; Подсказки относительно настройки соединения с лВС; для соединения с беспроводной лВС.
0 6. Использование экранного меню [УСТАНОВКА(2)] [СЕтЕВыЕ НАСтРойкИ] Благодаря этой функции можно устанавливать различные настройки при использовании проектора в сети. ВНИМАНИЕ • Обратитесь за этими настройками к администратору сети.• Проекторы серии NP3150/NP2150/NP1150/NP3151W поставляются с устро...
Страница 117 - Использование виртуальной клавиатуры
0 [НАзВАНИЕ ПРоЕктоРА] Укажите уникальное название проектора. Нажмите , чтобы отобразить виртуальную клавиатуру, и введите название. Можно использовать до 16 буквенно-цифровых символов, знаков и символов. Введя название, выберите [ОК] и нажмите кнопку ENTER. ПРИМЕЧАНИЕ: На [НАЗВАНИЕ ПРОЕКтОРА] не по...
Страница 118 - дите 12 цифровых символов.
0 6. Использование экранного меню [ПРоВоДНАЯ] Профили (для порта LAN [RJ-45]):В памяти проектора можно хранить до двух настроек порта LAN (RJ-45).Выберите [ПРОФИЛЯ 1] или [ПРОФИЛЯ 2], а затем установите настройки для [DHCP] и других опций. Сделав это, выберите [ОК] и нажмите кнопку ENTER. Это позвол...
Страница 119 - введите 12 цифровых символов.
0 6. Использование экранного меню [БЕСПРоВоДНой] ПРОФИЛИ (для устройства USB, предназначенного для соединения с беспроводной ЛВС):Чтобы без труда выполнить настройку беспроводной ЛВС с помощью утилиты Image Express Utility 2.0, выберите [ЛёГКОЕ СОЕДИНЕНИЕ]. В памяти проектора можно хранить до двух н...
Страница 121 - тИП зАЩИты; Выберите режим шифрования для безопасной передачи.
0 6. Использование экранного меню [БЕзоПАСНоСть] (необходимо только для беспроводной сети) тИП зАЩИты Выберите режим шифрования для безопасной передачи. Когда в поле [ТИП ЗАЩИТЫ] выбрана позиция [WEP] или [ВЫКЛЮЧИТЬ]: Выберите эту опцию независимо от того, используется ли для шифрования ключ WEP (бе...
Страница 122 - Отобразится виртуальная клавиатура.
0 6. Использование экранного меню Использование виртуальной клавиатуры для ввода ключа шифрования 1. Выберите один из ключей – [Ключ 1], [Ключ 2], [Ключ 3] или [Ключ 4] – и нажмите кнопку ENTER. Отобразится виртуальная клавиатура. 2. С помощью кнопки SELECT выберите один ключ и нажмите кнопку E...
Страница 123 - Пример сообщения, отправляемого с проектора:
0 6. Использование экранного меню [ПоЧтА] ПОЧТОВОЕ ПРЕДУПРЕЖДЕНИЕ:Установка этого флажка включает функцию «Почтовое предупреждение».Благодаря этой опции, при использовании проводной или беспроводной ЛВС сообщение об ошибке доставляется на компью-тер через электронную почту. Сообщение об ошибке будет...
Страница 124 - Выбор значения параметра [СкоРоСть коММУНИкАцИИ]
6. Использование экранного меню Выбор значения параметра [СкоРоСть коММУНИкАцИИ] Эта функция позволяет установить скорость передачи для компьютерного порта управления (9-штырьковый разъем D-Sub). Он поддерживает скорость от 4800 до 38400 бит/с. Значение по умолчанию – 38400 бит/с. Выберите скорость ...
Страница 125 - Для назначения пароля:; БлокИРоВкА УЧЕтНой зАПИСИ
6. Использование экранного меню [ВВоД] Для назначения пароля: ПРИМЕЧАНИЕ: можно назначить до 10 буквенно-цифровых символов. 1. Введите пароль. Выберите поле ввода [ВВЕДиТЕ ПаРОль] и нажмите кнопку ENTER. ( → стр. 73 ) Отобразится звездочка. Появится виртуальная клавиатура. С помощью виртуальной клав...
Страница 126 - щем включении проектора.
6. Использование экранного меню [БЕзоПАСНоСть] Функция безопасности позволяет защитить проектор таким образом, чтобы сигнал не проецировался без ввода пароля. Также существует возможность заблокировать проектор с помощью зарегистрированной памяти USB* в качестве ключа защиты. После регистрации памят...
Страница 127 - Для регистрации устройства памяти USB в качестве ключа защиты.; Вставьте устройство памяти USB в порт USB (тип А) проектора.
6. Использование экранного меню Для регистрации устройства памяти USB в качестве ключа защиты. Подготовка: Вставьте устройство памяти USB в порт USB (тип А) проектора. 1. С помощью кнопки SELECT или выберите [иСПОльзУЙТЕ защиТНыЙ Ключ] и нажмите кнопку ENTER. 2. С помощью кнопки SELECT или в...
Страница 128 - включение питания; Для удаления зарегистрированных данных памяти USB.; Информация на устройстве памяти USB будет удалена.
6. Использование экранного меню • До момента отключения питания (путем перевода главного переключателя питания в положение «О» или отсоединения силового кабеля) функция безопасности блокируется. Проверить защитный ключ или ввести пароль вас попросят в следу-ющих случаях:(1) Если после выбора значени...
Страница 129 - Выбор энергосбережения в режиме [РЕЖИМ оЖИДАНИЯ]
6. Использование экранного меню Выбор энергосбережения в режиме [РЕЖИМ оЖИДАНИЯ] Проектор имеет два режима ожидания: [НОРМАЛЬНОЕ] и [ЭНЕРГОСБЕРЕГАЮЩИЙ].Энергосберегающий режим – это режим, позволяющий установить проектор в условия экономного потребления электроэнергии, в котором он потребляет меньше...
Страница 130 - Установка идентификатора проектора [коНтРоль ID]; установки КОНТРОЛЬ ID.
6. Использование экранного меню Установка идентификатора проектора [коНтРоль ID] ПРИМЕЧАНИЕ: Эта функция доступна только в том случае, если используется дополнительный пульт дистанционного управления (NP02RC). Данная функция не будет работать, если дистанционный пульт поставляется в комплекте с прое...
Страница 131 - Установка значения параметра [АВто НАСтРойкА]; Оптимизировать изображение RGB можно вручную.
6. Использование экранного меню [ОПцИИ] Установка значения параметра [АВто НАСтРойкА] С помощью этой функции можно установить режим Авто Настройка, при котором можно автоматически или вручную корректировать шум и стабильность изображения RGB. Автоматическая настройка может выполняться в двух режимах...
Страница 132 - Выбор формата сигнала с помощью параметра [ВыБоР СИГНАлА]
6. Использование экранного меню Выбор источника по умолчанию с помощью параметра [ВыБоР ФАБ УСтАН ИСтоЧ] Для проектора можно указать какой-либо из его входов в качестве источника по умолчанию, к которому он будет обращаться всякий раз при включении. ПОСЛЕДН ............... В качестве источника по ум...
Страница 133 - 00 часов и снова начинает обратный отсчет.
0 6. Использование экранного меню Описания и функции меню [ИНФ.] Служит для отображения количества часов работы лампы, состояния текущего сигнала и настроек, а также настроек и версии СЕТИ. Информация приводится в следующем порядке: [ВРеМя ИСПОльЗОВАНИя] ОСТАТОЧН. РЕСУРС ЛАМПЫ (%)НАРАБОТКА ЛАМПЫ (...
Страница 135 - нения с беспроводной ЛВС.
6. Использование экранного меню [ПРОВОД. лОКАл. СеТь] На этой странице представлена информация о настройках порта LAN (RJ-45) АДРЕС IP .............................. Указывает адрес IP проектора при использовании порта LAN (RJ-45).ПОД СЕТЕВАЯ МАСКА ........Указывает под сетевую маску проектора при и...
Страница 136 - ным устройствам в Вашей беспроводной ЛВС.
6. Использование экранного меню [БеСПРОВ. лОК. СеТь (2)] На этой странице представлена информация о настройках ключа WEP для шифрования. SSID ......................... Указывает идентификатор (SSID) для Вашей беспроводной ЛВС.ТИП СЕТИ ............... Указывает, что для режима коммуникации выбран пар...
Страница 137 - Сброс показаний счетчика на ноль.
6. Использование экранного меню Описания и функции меню [ВОССТ.] Возврат заводских значений параметров Функция восстановления позволяет вернуть настройкам и установкам их заводские стандартные значения для источников следу-ющим образом: [тЕкУЩИй СИГНАл] Возвращает настройкам текущего сигнала преду...
Страница 138 - Техническое обслуживание; Чистка или замена фильтра; Прочистите фильтр с помощью пылесоса через крышку фильтра.; Замените лампу перед заменой фильтров.; Фильтр
7. Техническое обслуживание В данном разделе описаны простые процедуры по техническому обслуживанию, которых следует придерживаться при чистке фильтров и замене лампы. Чистка или замена фильтра Губка воздушного фильтра не позволяет частицам пыли и грязи попасть внутрь проектора, поэтому данный эле...
Страница 139 - Повторная установка новой крышки фильтра.; Чистка корпуса и объектива; чтобы не поцарапать объектив.
7. Техническое обслуживание 2. аккуратно отделите фильтр (губку) и замените его новым фильтром. Фильтр присоединен при помощи самоклеющейся ленты. Перед использованием снимите защитную бумагу. 3. Повторная установка новой крышки фильтра. • Установите крышку фильтра на место и задвиньте ее до щелчка....
Страница 140 - Запасная лампа и инструменты, необходимые для замены:
Замена лампы Когда срок службы лампы закончится, индикатор LAMP на корпусе будет мигать красным цветом. Хотя лампа еще может продол-жать работать, для обеспечения оптимальных эксплуатационных характеристик проектора ее следует заменить. После замены лампы не забудьте обнулить счетчик часов работы ...
Страница 141 - Возьмитесь за корпус лампы и снимите его.; Блокировка
7. Техническое обслуживание 2. Отворачивайте два винта, удерживающих корпус лампы, пока крестообразная отвертка не начнет свободно прокру- чиваться. Эти два винта не вынимаются. Возьмитесь за корпус лампы и снимите его. ПРИМЕЧАНИЕ: На кожухе находится блокировочное устройство, предохраняющее от пора...
Страница 142 - [СбРОС НаРабОТКи ламПы], чтобы переустановить счетчики времени до
LAM P STATUS POWER ON/STAND BY USB UP 1 2 LAM P STAT US POW ER ON/S TAND BY CE USB 7. Техническое обслуживание 5. Подключите силовой кабель, входящий в комплект поставки, включите главный переключатель питания и включите проектор. 6. и, наконец, выберите меню → [ВОССТ.] → [СбРОС НаРабОТКи ламПы], чт...
Страница 143 - Использование дополнительных объективов; представлена информация об установке объектива.
0 8. Использование дополнительных объективов Существует пять дополнительных объективов для моделей NP3150/NP2150/NP1150/NP3151W. Информация, представленная на этой странице, поможет приобрести объектив, соответствующий размеру экрана и расстоянию до проекции. См. стр. 133 , где представлена информац...
Страница 144 - В соответствии со схемой на стр.
[NP3151W] СТАНДАРТНЫЙ (H X 1,5) - (H X 2,0) NP01FL (H X 0,8) NP03ZL (H X 1,9) - (H X 3,1) NP04ZL (H X 3,0) - (H X 4,8) NP05ZL (H X 4,7) - (H X 7,2) NP02ZL (H X 1,2) - (H X 1,5) Пример: расстояние от экрана размером 100 дюймов (254 см) с объективом NP03ZL В соответствии со схемой на стр. 146 "H...
Страница 145 - Регулируемый диапазон смещений объектива
8. Использование дополнительных объективов Регулируемый диапазон смещений объектива Схема, представленная вверху справа, отображает расположение изображения в объективе. Объектив можно смещать в преде-лах затемненного участка, используя обычное проекционное положение в качестве отправной точки.Про...
Страница 146 - Извлеките существующий объектив из проектора.; Существующий объектив будет отсоединен.; Замена основного объектива дополнительным
8. Использование дополнительных объективов SE LEC T LEFT RIGH T DOW N UP Извлеките существующий объектив из проектора. 1. Поверните объектив против часовой стрелки, сильно надавив до упора кнопку LENS RELEASE. Существующий объектив будет отсоединен. ПРИМЕЧАНИЕ: Если не удается снять объектив с помощ...
Страница 147 - использование винта для защиты объектива от кражи; Поверните объектив по часовой стрелке.; Желтый; Установка нового объектива; Вставьте объектив таким образом, чтобы желтый выступ находился
8. Использование дополнительных объективов использование винта для защиты объектива от кражи Затяните винт для защиты от кражи, поставляемый вместе с проектором, в передней части дна проектора. Отверстие для винта, предназначенного для защиты объектива от кражи sE lEc t LEFT RIGH T DOW N UP 2. Повер...
Страница 148 - Устранение неисправностей; Показания индикаторов; защита от перегрева; Если это случится, выполните нижеописанные действия.
9. Приложение Устранение неисправностей Этот раздел поможет решить проблемы, которые могут возникать при подготовке к эксплуатации и в процессе эксплуатации проектора. Показания индикаторов Индикатор электропитания Индикатор лампы Состояние индикатора Состояние проектора Примечание Выкл. Нормально...
Страница 149 - Типичные неисправности и способы их устранения
9. Приложение Типичные неисправности и способы их устранения ( → раздел «Индикатор электропитания/состояния/лампы» на стр. 135 ) Проблема Проверьте следующее: Проектор не включается • Проверьте, подключен ли силовой кабель и нажата ли кнопка включения питания на корпусе проектора или пульте дистанци...
Страница 150 - Если изображение отсутствует или отображается неправильно.; или переходите к сле-
9. Приложение Если изображение отсутствует или отображается неправильно. • Питание подается на проектор и ПК. Убедитесь, что подключение проектора к ноутбуку происходит, когда проектор пребывает в режиме ожидания, а ноутбук еще не включен.В большинстве случаев сигнал, исходящий от ноутбука, не воспр...
Страница 151 - Технические характеристики; оптический
9. Приложение Технические характеристики В данном разделе содержится техническая информация об эксплуатационных характеристиках проектора. Номер модели NP3150/NP2150/NP1150/NP3151W оптический ЖК-панель NP3150/NP2150/NP1150: Активная 0,8-дюймовая матрица экрана p-Si TFT с линзовой ан-тенной решетко...
Страница 152 - Механические характеристики; tüv gs; общие технические характеристики изделий серии NP01LM
9. Приложение Потребление электроэнергии NP3150/NP3151W: 490 Вт в режиме работы лампы «Нормальный» NP2150/NP1150: 460 Вт в режиме работы лампы «Нормальный» NP3150/NP3151W/NP2150/NP1150: 410 Вт в режиме работы лампы «Эко»/26 Вт в режиме ожидания/5 Вт в энергосберегающем режиме * Эффективное количеств...
Страница 155 - габаритные размеры корпуса
9. Приложение габаритные размеры корпуса WIRELESS USB(LAN) WIRELESS 150,5/5,9" 358/14,1" 4,7/0,19" 168,3/6,63" 399/15,7" 3D rEForm sElEct mEnu EXit EntEr auto aDJust sourcE on/stanD By poWEr sta tus lamp usB LENS SHIFT LEFT RIGHT DO WN UP Единица измерения: мм/дюйм
Страница 156 - Размер экрана и проекционное расстояние; Использование графика
Размер экрана и проекционное расстояние Данный раздел следует использовать при принятии решения о расстояния до экрана и размере экрана. [NP3150/NP2150/NP1150] Согласно графику, доступные проекционные расстояния варьируются в диапазоне от 1,0 м/41,2 дюйма для 30-дюймового экрана до 18 м/718 дюймов...
Страница 158 - Список размеров экрана
Список размеров экрана [NP3150/NP2150/NP1150] ПРИМЕЧАНИЕ: Величины в таблицах являются расчётными величинами и могут отличаться от действительных. Размер экрана и проекционное расстояние для проекции со стола при использовании стандартного объектива Следующий рисунок представляет собой пример исполь...
Страница 160 - Распределение контактов входного разъема D-Sub COMPUTER 1; Номер контакта Сигнал RGB (аналоговый)
Распределение контактов входного разъема D-Sub COMPUTER 1 Миниатюрный 15-штырьковый разъем D-Sub Уровень сигналаВидеосигнал: 0,7 Vp-p (аналоговый)Сигнал синхронизации: Уровень TTL 11 15 12 14 13 6 5 4 3 2 1 10 7 9 8 9. Приложение Номер контакта Сигнал RGB (аналоговый) Сигнал YCbCr 1 Красный Синхро...
Страница 161 - Перечень совместимых входных сигналов
9. Приложение Перечень совместимых входных сигналов Сигнал Разрешение Частота по вертикали Скорость обновления (точек) (КГц) (Гц) D: Перечисленные выше изображения, отмеченные буквой «D», поддерживаются цифровым сигналом. ПРИМЕЧАНИЕ: • Изображение, разрешение которого выше или ниже натурального ра...
Страница 162 - Коды управления и кабельные соединения ПК; Коды управления ПК
9. Приложение Коды управления и кабельные соединения ПК Коды управления ПК Функция Кодирование данных ПИТАНИЕ ВКЛЮЧЕНО 02Н 00Н 00Н 00Н 00Н 02H ПИТАНИЕ ОТКЛЮЧЕНО 02Н 01Н 00Н 00Н 00Н 03H ВЫБОР ВХОДНОГО РАЗЪЕМА «COMPUTER 1» 02Н 03Н 00Н 00Н 02Н 01Н 01Н 09H ВЫБОР ВХОДНОГО РАЗЪЕМА «COMPUTER 2» 02Н 03Н 0...
Страница 163 - Кабельные соединения; Протокол связи
0 9. Приложение ПРИМЕЧАНИЕ 1: Контакты 1, 4, 6 и 9 не используются. ПРИМЕЧАНИЕ 2: Чтобы упростить кабельное соединение, соедините контакты «Request to Send» и «Clear to Send» на обоих кон-цах кабеля. ПРИМЕЧАНИЕ 3: Для кабелей большой длины рекомендуется с помощью меню проектора установить скорость п...
Страница 164 - Удаление и присоединение блока беспроводной локальной сети USB
9. Приложение Удаление и присоединение блока беспроводной локальной сети USB Вставьте дополнительный блок беспроводной локальной сети USB в порт блока беспроводной локальной сети USB на задней па-нели проектора. Важная информация • Блок беспроводной локальной сети USB состоит из двух модулей: моду...
Страница 166 - Контрольный перечень возможных неисправностей; Частота случаев; всегда; Питание
В проектор не поступает изображение с ПК или видеооборудова- ния. По-прежнему отсутствует изображение, несмотря на то, что сначала проектор был подключен к ПК, а затем запущен ПК.Обеспечение подачи исходящего сигнала с ноутбука в проектор. • Включить и отключить отображение изображения на внешнем ус...