Котел Baxi POWER HT 230-320 - инструкция пользователя по применению, эксплуатации и установке на русском языке. Мы надеемся, она поможет вам решить возникшие у вас вопросы при эксплуатации техники.
Если остались вопросы, задайте их в комментариях после инструкции.
"Загружаем инструкцию", означает, что нужно подождать пока файл загрузится и можно будет его читать онлайн. Некоторые инструкции очень большие и время их появления зависит от вашей скорости интернета.

Программирование
130
Конденсационный
газовый
котел
Power HT 1.230 - 1.320
358 462 05.10
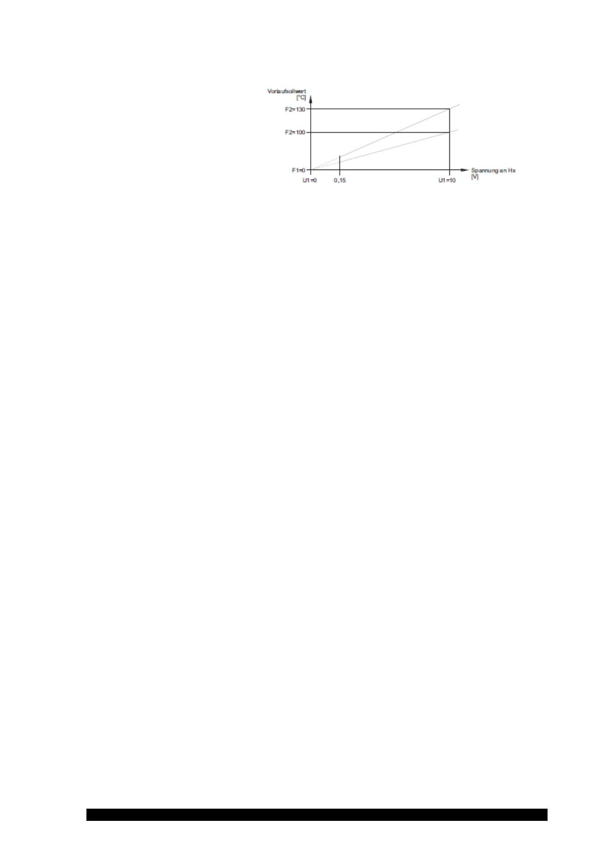
Рис
.31:
Пример
термического
запроса
10 V
и
запроса
на
холод
10 V
F1
Значение
функции
1
F2
Значение
функции
2
U1
Значение
напряжения
1
U2
Значение
напряжения
2
Выход
PWM P1
(6085)
Этим
параметром
устанавливается
функция
модулирующего
насоса
.
-
Нет
:
не
представлено
ни
одного
выхода
P1.
-
Насос
котла
Q1
:
включенный
насос
обеспечивает
циркуляцию
воды
в
котле
.
-
Насос
ГВС
Q3
:
Регулирующее
устройство
для
резервуара
ГВС
.
-
Насос
промежуточного
контура
Q33
:
Насос
подкачки
для
резервуара
ГВС
с
внешним
теплообменником
.
-
Насос
контура
отопления
CR Q2
:
включение
прямого
контура
CR1.
-
Насос
контура
отепления
CR2 Q6
:
включение
прямого
контура
CR2.
-
Насос
контура
отопления
CR3 Q20
:
включение
прямого
контура
CR3.
-
Насос
коллектора
Q5
:
для
подключения
солнечного
коллектора
необходим
циркуляционный
насос
контура
коллектора
.
-
Внешний
теплообменник
солнечного
насоса
K9
:
при
подключении
нескольких
теплообменников
бойлер
должен
быть
настроен
на
соответствующий
выход
реле
.
Также
должен
быть
установлен
тип
солнечного
регулятора
в
программе
5840.
-
Солнечный
насос
резервуара
K18
:
при
подключении
нескольких
теплообменников
резервуар
должен
быть
настроен
на
соответствующий
выход
реле
.
Также
должен
быть
установлен
тип
солнечного
регулятора
в
программе
5840.
Тип
датчика
коллектора
(6097)
Выбор
типа
датчика
для
измерения
температуры
коллектора
.
Корректировка
датчика
коллектора
1
(6098)
Настройка
значения
для
корректировки
датчика
коллектора
1.
Корректировка
внешнего
датчика
(6100)
Настройка
значения
для
корректировки
внешнего
датчика
Коэффициент
здания
(6110)
Использование
установленного
здесь
параметра
будет
влиять
на
скорость
реакции
заданного
значения
потока
от
колебаний
внешней
температуры
,
в
зависимости
от
типа
конструкции
здания
.
Примерные
значения
:
- 40
в
зданиях
с
толстыми
стенами
и
внешней
изоляцией
.
- 20
в
зданиях
с
нормальным
типом
конструкции
.
- 10
в
зданиях
с
легким
типом
конструкции
.
Содержание
- 4 Введение; Power HT
- 6 Безопасность; Power; HT
- 7 DVGW
- 9 Технические; Размеры; модель
- 10 CL
- 11 Электрическая; Легенда; Регуляция
- 12 ATF
- 13 Перед
- 15 Характеристики
- 16 Подача
- 19 Габариты
- 20 Транспортировка
- 22 Примеры
- 23 Меню
- 29 Регулировка
- 32 BRÖTJE
- 33 SAS
- 34 Внимание
- 39 Примечание
- 40 Torx TX 40
- 41 VDE
- 49 Снижение
- 50 ESC
- 51 Программирование
- 54 Таблица
- 55 software
- 58 ° C
- 63 SD
- 71 PWM P1; LPB
- 72 SW
- 73 Off
- 80 Конденсационный; Временная; La
- 81 ‐ Блок управления; комнатное устройство; CRP; Радио; QX
- 86 RGB; RGTF
- 87 Рис; TRx
- 88 TRw
- 90 Увеличение; Xon
- 91 TRK
- 92 Функциональное отопление
- 93 Способ отопления
- 94 Характеристическая кривая; Санитарная горячая вода
- 95 Скользящий
- 96 отсутствие приоритета
- 97 ACS; Бассейн
- 99 PWM
- 102 Reset
- 106 Уровень
- 108 Синхронизация насоса; TKx
- 109 ‐ Лето; Предупреждение
- 110 Полная загрузка
- 112 Использование с зондом
- 113 Push
- 116 «On»
- 117 Выходы; Циркуляционный
- 119 Операционной
- 120 CR
- 125 Система
- 128 PStick
- 129 Проверка
- 132 Off Off
- 134 Состояние
- 136 Автоматическое
- 137 Техническое
- 138 Вид; LMS
- 141 Монтаж
- 143 A DC
- 144 см
- 145 Очистка
- 148 Errore sonda temperatura pannello solare 1
- 149 EEPROM