Котел Baxi POWER HT 230-320 - инструкция пользователя по применению, эксплуатации и установке на русском языке. Мы надеемся, она поможет вам решить возникшие у вас вопросы при эксплуатации техники.
Если остались вопросы, задайте их в комментариях после инструкции.
"Загружаем инструкцию", означает, что нужно подождать пока файл загрузится и можно будет его читать онлайн. Некоторые инструкции очень большие и время их появления зависит от вашей скорости интернета.

Программирование
358 462 05.10
Конденсационный
газовый
котел
Power HT 1.230 - 1.320
129
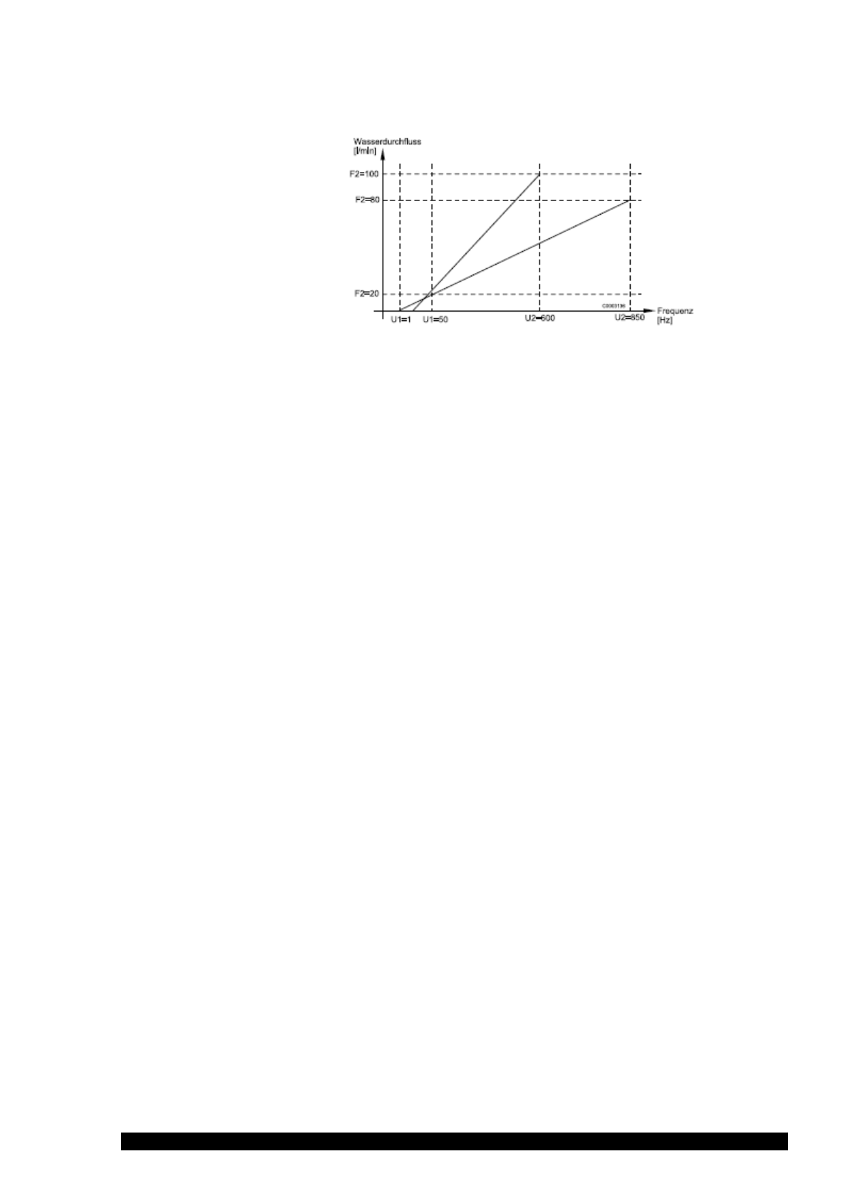
Рис
.30:
Пример
двух
разных
линейных
характеристик
датчика
Функция
модуля
расширения
1/2/3
(6020 - 6022)
Определение
функций
,
которые
настраиваются
посредством
модулей
расширения
1, 2
и
3.
Многофункциональный
:
Возможные
функции
,
связанные
с
многофункциональными
входами
/
выходами
приведены
в
программах
5890
и
5930
Контур
отопления
1
:
Для
этой
опции
производятся
настройки
в
меню
контура
отопления
1.
Контур
отопления
2
:
Для
этой
опции
производятся
настройки
в
меню
контура
отопления
2.
Контур
отопления
3
:
Для
этой
опции
производятся
настройки
в
меню
контура
отопления
3.
Солнечное
ГВС
:
Для
этого
параметра
настройки
производятся
в
солнечном
меню
.
Регулятор
/
насос
системы
:
Для
этого
параметра
соответствующие
настройки
выполняются
в
меню
регулятор
/
системный
насос
.
Выход
реле
QX21-QX23
(6030 - 6038)
Выходы
реле
для
модулей
1, 2 e 3.
Пояснения
в
программе
5890.
Вход
датчика
BX21/BX22
(6040 - 6045)
Вход
датчика
для
модулей
1, 2 e 3.
Настройка
входов
датчиков
BX21 e BX22
позволяет
активировать
дополнительные
функции
.
Пояснения
в
программе
5930.
Функция
входа
H2
модуля
1/2/3
(6046, 6054, 6062)
Пояснения
в
программе
5950.
Логика
работы
контакта
H2
EM 1/2/3
(6047, 6055, 6063)
Пояснения
в
программе
5951.
Значения
напряжения
1/2 H2
модулей
1-3
(6049, 6051, 6057, 6059,
6065, 6067)
Значение
функции
1/2 H2
модулей
1-3
(6050, 6052, 6058, 6060,
6066, 6068)
Эта
настройка
выполняется
с
помощью
двух
пар
параметров
по
значению
напряжения
и
значению
функции
(F1 / U1 e F2 / U2).
Содержание
- 4 Введение; Power HT
- 6 Безопасность; Power; HT
- 7 DVGW
- 9 Технические; Размеры; модель
- 10 CL
- 11 Электрическая; Легенда; Регуляция
- 12 ATF
- 13 Перед
- 15 Характеристики
- 16 Подача
- 19 Габариты
- 20 Транспортировка
- 22 Примеры
- 23 Меню
- 29 Регулировка
- 32 BRÖTJE
- 33 SAS
- 34 Внимание
- 39 Примечание
- 40 Torx TX 40
- 41 VDE
- 49 Снижение
- 50 ESC
- 51 Программирование
- 54 Таблица
- 55 software
- 58 ° C
- 63 SD
- 71 PWM P1; LPB
- 72 SW
- 73 Off
- 80 Конденсационный; Временная; La
- 81 ‐ Блок управления; комнатное устройство; CRP; Радио; QX
- 86 RGB; RGTF
- 87 Рис; TRx
- 88 TRw
- 90 Увеличение; Xon
- 91 TRK
- 92 Функциональное отопление
- 93 Способ отопления
- 94 Характеристическая кривая; Санитарная горячая вода
- 95 Скользящий
- 96 отсутствие приоритета
- 97 ACS; Бассейн
- 99 PWM
- 102 Reset
- 106 Уровень
- 108 Синхронизация насоса; TKx
- 109 ‐ Лето; Предупреждение
- 110 Полная загрузка
- 112 Использование с зондом
- 113 Push
- 116 «On»
- 117 Выходы; Циркуляционный
- 119 Операционной
- 120 CR
- 125 Система
- 128 PStick
- 129 Проверка
- 132 Off Off
- 134 Состояние
- 136 Автоматическое
- 137 Техническое
- 138 Вид; LMS
- 141 Монтаж
- 143 A DC
- 144 см
- 145 Очистка
- 148 Errore sonda temperatura pannello solare 1
- 149 EEPROM