AEG BCR742350W - инструкции и руководства
Печь AEG BCR742350W - инструкции пользователя по применению, эксплуатации и установке на русском языке читайте онлайн в формате pdf
Инструкции:
Инструкция по эксплуатации AEG BCR742350W
Инструкция AEG BCR742350W
Краткое содержание
СОДЕРЖАНИЕ 1. СВЕДЕНИЯ ПО ТЕХНИКЕ БЕЗОПАСНОСТИ................................................... 3 2. УКАЗАНИЯ ПО БЕЗОПАСНОСТИ..................................................................... 5 3. ОПИСАНИЕ ИЗДЕЛИЯ.....................................................................................
• Детям младше 3 лет категорически запрещается находиться рядом с прибором во время его работы. 1.2 Общие правила техники безопасности • Установка прибора и замена кабеля должна осуществляться только квалифицированным персоналом! • ВНИМАНИЕ: Прибор и его доступные для контакта части сильно нагревают...
часть направляющей для противня из боковой стенки движением, направленным от стенки. Установка направляющих производится в обратном порядке. • Используйте только термощуп (датчик температуры внутри продукта), рекомендованный для данного прибора. 2. УКАЗАНИЯ ПО БЕЗОПАСНОСТИ 2.1 Установка ВНИМАНИЕ! Ус...
• Всегда готовьте при закрытой дверце духового шкафа. • В случае установки прибора за мебельной панелью (например, за дверцей) позаботьтесь о том, чтобы во время работы прибора дверца ни в коем случае не оказывалась закрытой. Нагрев и влажность, образующиеся за закрытой дверцей или мебельной панелью...
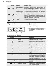
Для полок и противней. 4. ПАНЕЛЬ УПРАВЛЕНИЯ 4.1 Электронный программатор 2 1 3 4 5 8 9 10 11 7 6 Управление прибором осуществляется с помощью сенсоров. Сенсор Функция Комментарий 1 - Дисплей Отображение текущих настроек прибора. 2 ВКЛ/ВЫКЛ (ON/ OFF) Для включения и выключения прибора. 3 Режимы нагре...
Символ Описание Индикация быстрого на‐ грева Режим включен. При этом сокра‐ щается время нагрева. Вес, автоматич. На дисплее отображается информа‐ ция о том, что система автоматиче‐ ского взвешивания включена или что вес может быть изменен. Сохранение тепла Режим включен. 5. ПЕРЕД ПЕРВЫМ ИСПОЛЬЗОВАН...
6.5 Включение режима нагрева 1. Включите прибор. 2. Выберите меню Режимы нагрева. 3. Чтобы подтвердить выбор, нажмите на . 4. Выберите режим нагрева духового шкафа. 5. Чтобы подтвердить выбор, нажмите на . 6. Установите температуру. 7. Чтобы подтвердить выбор, нажмите на . 6.6 Индикация нагрева При ...
4. Нажмите на . 8. АВТОМАТИЧЕСКИЕ ПРОГРАММЫ ВНИМАНИЕ! См. Главы, содержащие Сведения по технике безопасности. 8.1 Рецепты в Интернете Рецепты для автоматических программ данного конкретного прибора можно найти на нашем веб-сайте. Для выбора подходящей книги рецептов проверьте PNC (код изделия) на та...
9. ИСПОЛЬЗОВАНИЕ ДОПОЛНИТЕЛЬНЫХ ПРИНАДЛЕЖНОСТЕЙ ВНИМАНИЕ! См. Главы, содержащие Сведения по технике безопасности. 9.1 Термощуп Термощуп служит для измерения температуры внутри продукта. Когда температура продукта достигает заданного значения, прибор выключается.Необходимо задать два значения темпера...
Противень для жарки:Установите противень для жарки на телескопические направляющие. Одновременная установка решетки и противня для жарки: Установите решетку и противень для жарки на телескопические направляющие. 10. ДОПОЛНИТЕЛЬНЫЕ ФУНКЦИИ 10.1 Любимая прогр. Вы можете сохранить в памяти прибора избр...
1. Коснитесь для включения дисплея. 2. Нажмите и удерживайте одновременно и , пока на дисплее не появится сообщение. Для выключения функции «Защита от детей» повторите действие 2. 10.3 Блокир. кнопок Данная функция предотвращает случайное включение режима нагрева. Ее можно включить только когда приб...
значениям, приведенным в таблице. • В первый раз используйте низкую температуру. • Если найти установки для конкретного рецепта не удается, поищите похожий рецепт. • При выпекании пирогов более чем на одном положении противня время выпекания можно увеличить на 10–15 минут. • Пироги и выпечка, распол...
Продукты Описание Температура (°C) Время (мин) Положение противня Печенье из слоеного теста Горячий воздух 170 - 180 1) 20 - 30 3 Рулеты Горячий воздух 160 1) 10 - 25 3 Рулеты Верхн/нижн. на‐ грев 190 - 210 1) 10 - 25 3 Small cakes/ Мелкое пече‐ нье (20 шт на противне) Горячий воздух 150 1) 20 - 35 ...
Продукты Температура (°C) Время (мин) Положение про‐ тивня Флан из слоеного теста 160 - 180 1) 45 - 55 2 «Фламмкухен» (по‐ хожее на пиццу блюдо из Эльзаса) 230 - 250 1) 12 - 20 2 Пироги 180 - 200 1) 15 - 25 2 1) Предварительно разогрейте духовой шкаф.2) Используйте противень для жарки. 11.10 Жарка •...
Гриль Продукты Температура (°C) Время (мин) Положение противня Первая сторо‐ на Вторая сторо‐ на Ростбиф 210 - 230 30 - 40 30 - 40 2 Филе говядины 230 20 - 30 20 - 30 3 Задняя часть свинины 210 - 230 30 - 40 30 - 40 2 Телячья вырез‐ ка 210 - 230 30 - 40 30 - 40 2 Спинка бара‐ шка 210 - 230 25 - 35 2...
Запеканки – несладкие Температура внутри продукта (°C) Меньше Средн. Больше Каннеллони, Лазанья, Запеканка из макарон 85 88 91 Запеканки – сладкие Температура внутри продукта (°C) Меньше Средн. Больше Запеканка с белым хлебом и фруктами / без фруктов, Рисовая запеканка с фруктами / без фруктов, Запе...
2. Вытяните заднюю часть направляющей из боковой стенки и снимите ее. 2 1 Установите извлеченные аксессуары в обратном порядке. Удерживающие упоры на телескопических направляющих должны быть обращены вперед. 12.3 Кат.чистка Извлеките все аксессуары и съемные направляющие для полок.Стенки и крышка ве...
13. ПОИСК И УСТРАНЕНИЕ НЕИСПРАВНОСТЕЙ ВНИМАНИЕ! См. Главы, содержащие Сведения по технике безопасности. 13.1 Что делать, если... Неисправность Возможная причина Решение Духовой шкаф не вклю‐ чается или не работает. Духовой шкаф не подклю‐ чен к электропитанию, или подключение произведено неверно. Пр...
Неисправность Возможная причина Решение На дисплее отображается код ошибки, не указанный в данной Таблице. Имел место сбой электро‐ ники. • Выключите и снова включите духовой шкаф с помощью предохрани‐ теля домашней элек‐ тропроводки или пред‐ охранительного выклю‐ чателя на электрощите. • Если на д...
15. ЭНЕРГОЭФФЕКТИВНОСТЬ 15.1 Экономия электроэнергии Данный духовой шкаф оснащен несколькими функциями, позволяющими экономить электроэнергию во время приготовления. Общие рекомендации Позаботьтесь о том, чтобы дверца во время работы прибора была плотно закрыта. Во время приготовления не открывайте ...
16. ОХРАНА ОКРУЖАЮЩЕЙ СРЕДЫ Материалы с символом следует сдавать на переработку. Положите упаковку в соответствующие контейнеры для сбора вторичного сырья. Принимая участие в переработке старого электробытового оборудования, Вы помогаете защитить окружающую среду и здоровье человека. Не выбрасывайте...
AEG Печи Инструкции
-
AEG B57415M
Инструкция по эксплуатации
-
AEG BE5531300M
Инструкция по эксплуатации
-
AEG BE5531302M
Инструкция по эксплуатации
-
AEG BE7714000M
Инструкция по эксплуатации
-
AEG BER352110M
Инструкция по эксплуатации
-
AEG BP5501432M
Инструкция по эксплуатации
-
AEG BP5531310M
Инструкция по эксплуатации
-
AEG BS5931400M
Инструкция по эксплуатации
-
AEG KE7415001M
Инструкция по эксплуатации
-
AEG KR5840310B/M
Инструкция по эксплуатации
-
AEG KS845680GM
Инструкция по эксплуатации
-
AEG KSR892220M
Инструкция по эксплуатации
-
AEG KSR892220M
Инструкция
-
AEG BER455120B
Инструкция по эксплуатации
-
AEG BER455120B
Инструкция
-
AEG E8140-1 Competence
Инструкция по эксплуатации
-
AEG KS8404101M
Инструкция по эксплуатации
-
AEG KS8404021M
Инструкция по эксплуатации
-
AEG KS8404001M
Инструкция по эксплуатации
-
AEG KS8100001M
Инструкция по эксплуатации