Умные часы Suunto Spartan Sport Wrist Hr Blue (SS022663000) - инструкция пользователя по применению, эксплуатации и установке на русском языке. Мы надеемся, она поможет вам решить возникшие у вас вопросы при эксплуатации техники.
Если остались вопросы, задайте их в комментариях после инструкции.
"Загружаем инструкцию", означает, что нужно подождать пока файл загрузится и можно будет его читать онлайн. Некоторые инструкции очень большие и время их появления зависит от вашей скорости интернета.

ПРИМЕЧАНИЕ: Параметр ГЛОНАСС является глобальным. Если вы его включите,
то функция ГЛОНАСС активируется для всех спортивных режимах с GPS.
3.16. Точность координат GPS и энергосбережение
Частота поправок GPS определяет точность отслеживания: чем короче промежуток
времени между поправками, тем выше точность. Во время упражнений каждая
поправка GPS записывается в журнал.
Частота поправок GPS также напрямую влияет на время работы от батареи. Чтобы
продлить время работы часов от батареи, понизьте точность GPS.
Доступны следующие варианты настройки точных значений GPS:
•
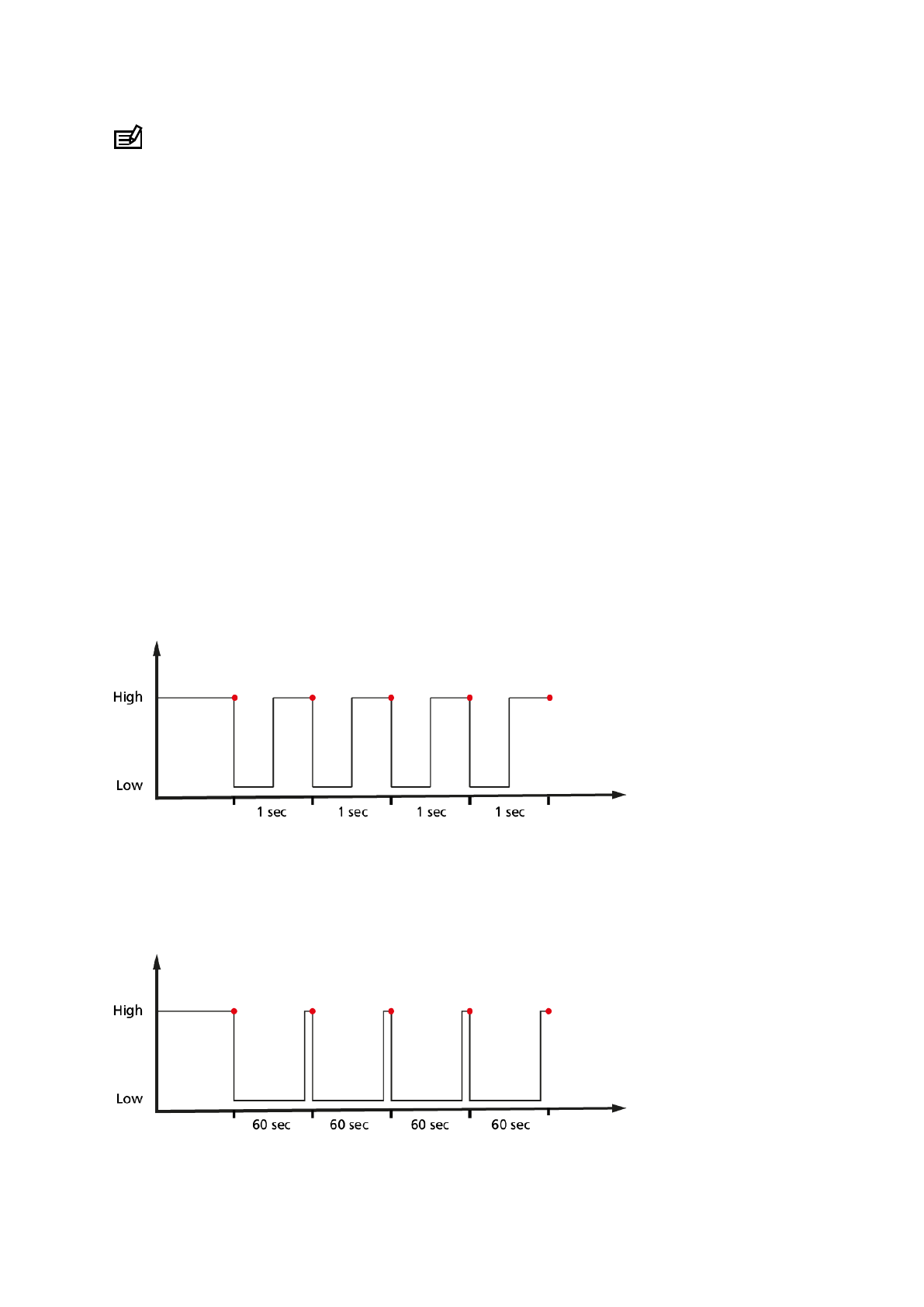
Best: поправка координат через ~ 1 с на полной мощности
•
Good: поправка координат через ~ 1 с при малой мощности
•
OK: поправка координат через ~ 60 с на полной мощности
При выборе Best часы постоянно используют GPS при полном питании. В режиме
полного питания GPS может отфильтровывать помехи и получать более точную
корректировку, что повышает точность отслеживания, но приводит к самому
интенсивному использованию батареи.
Используя Good, можно получать корректировки GPS через каждые несколько секунд,
но при этом снижается точность, т. к. GPS не все время работает в режиме полного
питания. Между корректировками GPS на некоторое время переходит в режим
пониженного питания, как показано ниже,
что продлевает время работы от батареи, но в этом случае у GPS меньше времени для
поиска надлежащей корректировки и фильтрации помех. Следовательно, в этом случае
отслеживание не столь точное, как при Best.
При выборе «OK» частота поправок GPS снижается до одной в минуту, что значительно
продлевает время работы от батареи, но снижает точность отслеживания.
Suunto Spartan Sport Wrist HR
25
Содержание
- 4 ТЕХНИКА БЕЗОПАСНОСТИ; Виды мер предосторожности
- 8 Во время записи упражнения:; Верхняя кнопка
- 15 Цели активности
- 18 Подсветка в режиме ожидания
- 21 Плохо
- 25 Точность координат GPS и энергосбережение; Best: поправка координат через ~ 1 с на полной мощности
- 26 Зона 4: Очень высокая
- 27 Задайте максимальный пульс; Задать пульсовые зоны по умолчанию
- 28 Ввод специальных пульсовых зон по видам спорта; Использование пульсовых зон в тренировке
- 31 Сопряжение устройств POD и датчиков
- 34 Удаление интересующих пунктов
- 42 Помощь при навигации
- 43 Тенденции сна
- 45 Звуковые сигналы о восходе и заходе солнца
- 47 Секундомер; Таймер обратного отсчета
- 48 Все вкл.: все события вызывают предупреждение
- 52 Справочная информация
- 54 Срок действия гарантии
- 55 Обращение в гарантийную службу Suunto













