Кондиционеры Lessar LS-HE18TTA2/LU-HE18UTA2 - инструкция пользователя по применению, эксплуатации и установке на русском языке. Мы надеемся, она поможет вам решить возникшие у вас вопросы при эксплуатации техники.
Если остались вопросы, задайте их в комментариях после инструкции.
"Загружаем инструкцию", означает, что нужно подождать пока файл загрузится и можно будет его читать онлайн. Некоторые инструкции очень большие и время их появления зависит от вашей скорости интернета.

47
Ə
ƾƸƺƽǀƱƼƹƺƱưƬƮƷƱƹƴƱ
ƑƬƶƿƿƸ
ƑƬƶƿƿƸƹƬNjƽƿDŽƶƬ",ǃƬƽƬ#
Ɵ
Ʊƽƾ"+ǃƬƽ#
ƒƺƭƬƮƷƱƹƴƱǁƷƬưƬƯƱƹƾƬ
ƒƺƭƬƮƷƱƹƴƱƬƳƺƾƬ
ƑƬƶƿƿƸƹƬNjƽƿDŽƶƬ"+ǃƬƽ#
Пожалуйста
,
обратите
внимание
на
следующие
моменты
.
Это
важно
!
Внимание
!
Любая
пайка
трубопроводов
при
работе
с
R410A
должна
осуществляться
только
под
азотом
!
Пайка
в
воздушной
среде
запрещена
,
так
как
оборудование
может
выйти
из
строя
из
-
за
образования
окалины
на
внутренних
частях
трубопровода
!
Внимание
!
R410A —
негорючий
газ
;
при
соприкосновении
с
пламенем
или
горячими
по
-
верхностями
разлагается
с
образованием
высокотоксичных
продуктов
.
Контакт
с
не
-
которыми
активными
металлами
при
определенных
условиях
(
например
,
при
высоких
температурах
и
/
или
давлении
)
может
привести
к
взрыву
или
возгоранию
.
Строго
со
-
блюдайте
правила
техники
безопасности
при
работе
с
хладагентом
!
Внимание
!
Дозаправка
хладагентом
должна
осуществляться
только
в
жидкой
фазе
!
За
-
правка
газом
может
привезти
к
выходу
оборудования
из
строя
,
так
как
хладагент
R410A
является
двойной
квазиазеотропной
смесью
гидрофторуглеродов
R32
и
R125,
и
заправ
-
ка
газом
может
привести
к
разбалансировке
состава
смеси
.
Пожалуйста
,
помните
,
что
сервисные
штуцеры
на
оборудовании
с
R410A
имеют
увеличенный
диаметр
и
требуют
специальных
шлангов
либо
переходников
для
ра
-
боты
!
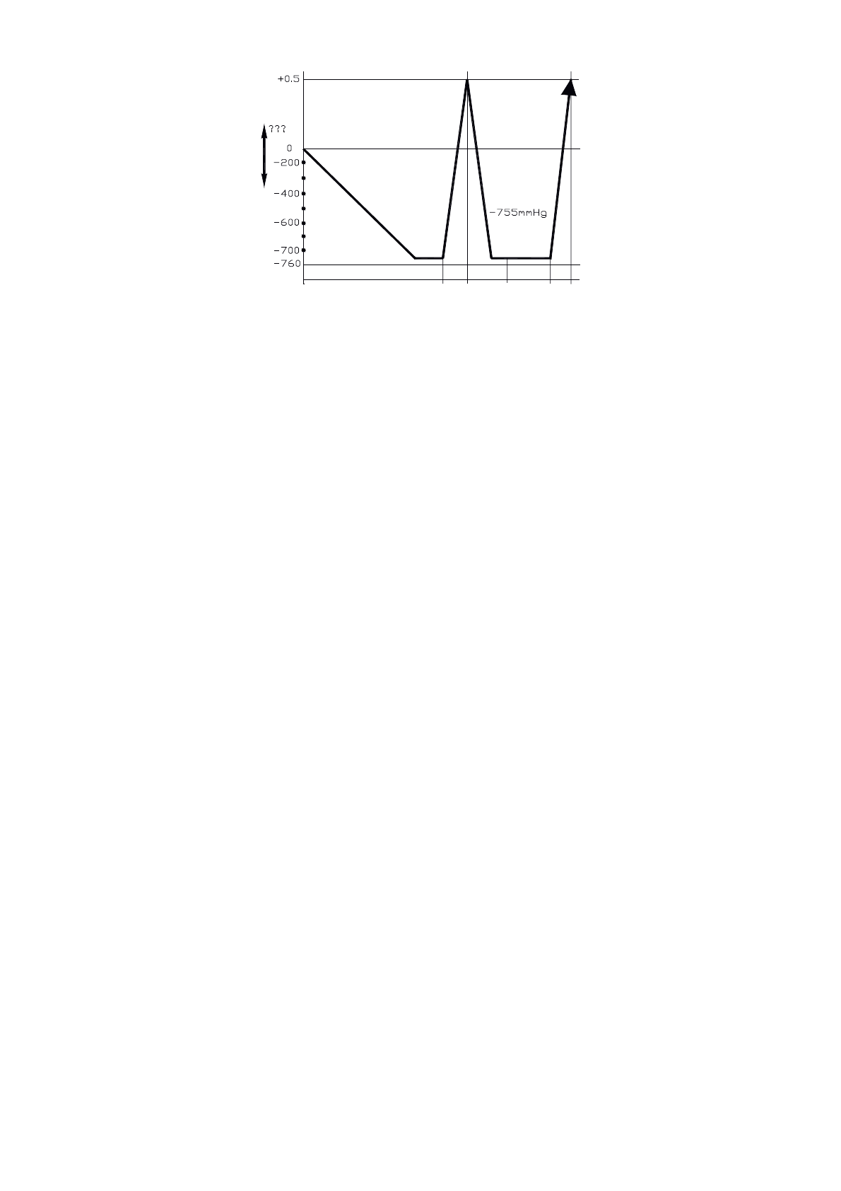
При
поиске
утечек
хладагента
R410A
бесполезно
и
небезопасно
использовать
газо
-
пламенную
горелку
(
течеискатель
на
основе
горения
пропана
)!
Используйте
аппа
-
ратный
комплекс
для
поиска
утечек
с
насадками
под
нужный
газ
!
При
длине
трубопроводов
более
5
метров
в
одну
сторону
добавьте
хладагент
в
систему
.
Запишите
количество
заправленного
хладагента
в
инструкцию
для
дальнейшего
технического
обслуживания
.