Кондиционеры Lessar LS-H55SKA4A/LU-H55SKA4A - инструкция пользователя по применению, эксплуатации и установке на русском языке. Мы надеемся, она поможет вам решить возникшие у вас вопросы при эксплуатации техники.
Если остались вопросы, задайте их в комментариях после инструкции.
"Загружаем инструкцию", означает, что нужно подождать пока файл загрузится и можно будет его читать онлайн. Некоторые инструкции очень большие и время их появления зависит от вашей скорости интернета.

22
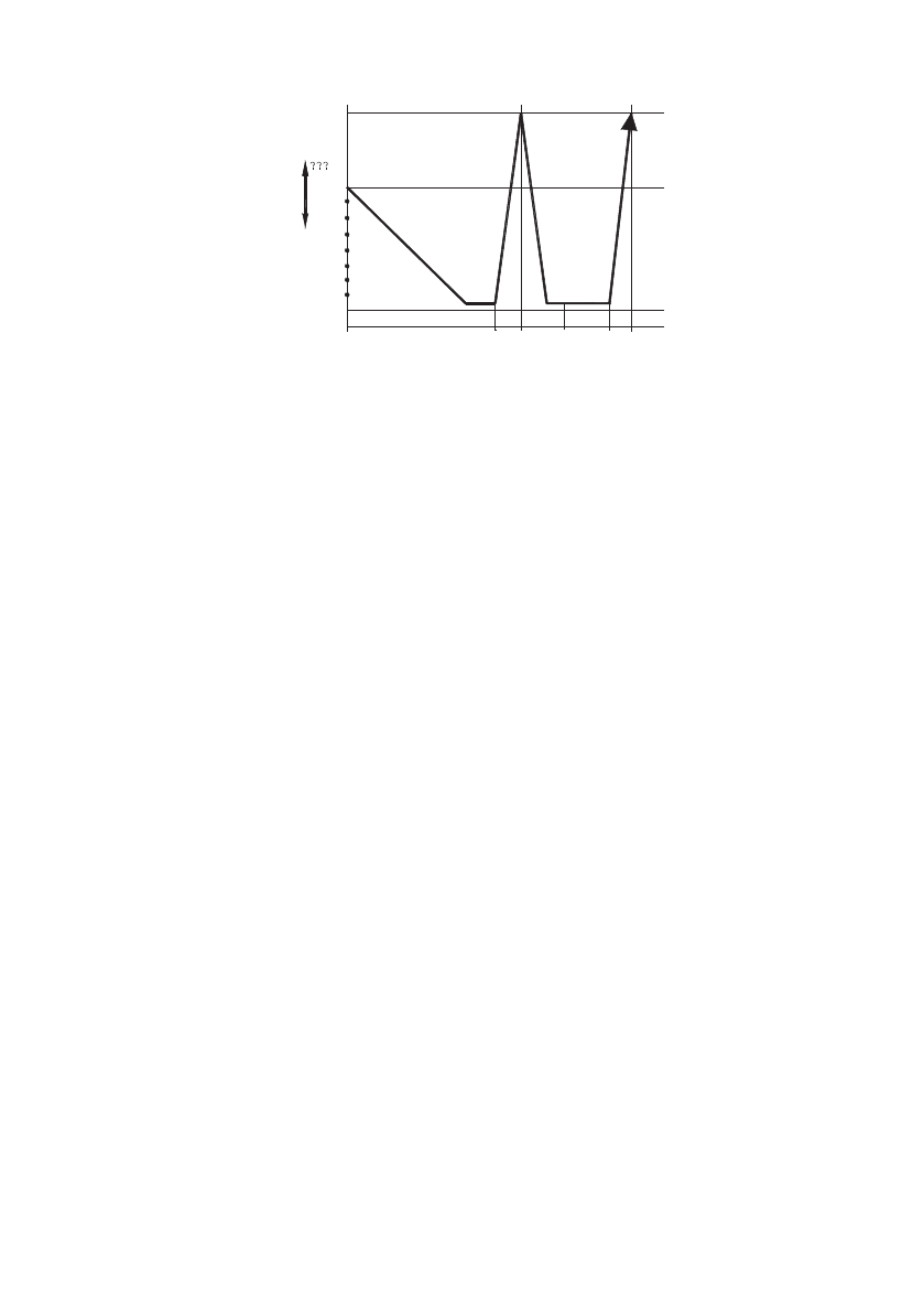
Атмосферное дав
ление
Вак
уу
м
Вакуумная сушка
(2 часа)
Тест (1 час)
Д
об
ав
ление
хл
адаг
ент
а
Д
об
ав
ление а
зо
та
Вак
уу
мная
сушк
а (1 час)
+0,5
0
–200
–400
–600
–700
–755 mmHg
–760
После первого вакуумирования добавьте в контур осушенный азот при давлении до 25 кг на
30 минут. Удалите азот и снова отвакуумируйте систему. После проверки на утечку добавьте
хладагент.
Также рекомендуем при работе с блоками с относительно небольшим содержанием воды при
монтаже использовать фильтры типа ADKS-Plus с фильтр-вставкой (корпус разборного типа)
производства ALCO Controls или других производителей с аналогичными характеристиками
водопоглощения и нейтрализации кислоты. Фильтр устанавливается на жидкостной линии для
удаления влаги или на газовой линии для нейтрализации кислоты и фильтрации хладагента от
твердых посторонних примесей. Система должна вакуумироваться вместе с фильтром!
При работе с фильтром помните, что фильтр-вставка (фильтрующий элемент) не должна нахо-
дится на открытом воздухе больше, чем несколько минут, и не прикасайтесь к вставке руками
без перчаток. Вставка очень быстро впитывает влагу, и если оставить ее на открытом воздухе
или трогать незащищенными руками, то вставка будет более не пригодна к работе. Помните,
что даже относительно большие вставки принимают не более 20–25 грамм влаги.
Содержание
- 3 Меры предосторожности; При установке
- 5 Перед первым пуском подайте питание
- 6 Назначение; Принцип работы кондиционера в режиме охлаждения; Функция защиты от обмерзания
- 7 Авторестарт
- 8 Комплектность сплит-системы
- 9 Спецификация
- 12 Диаметры фреонопроводов
- 13 Установка; Предостережение; Выбор места; Перед установкой
- 14 Установка внутреннего блока
- 15 Установка трубопровода отвода конденсата
- 16 Проверка дренажа; Установка сливного штуцера в наружном блоке; Установка наружного блока
- 17 Необходимые расстояния для монтажа и обслуживания
- 18 Перемещение и установка; Монтаж соединительной трубы; каждые 3 метра; Процедура соединения труб
- 19 Развальцовка труб
- 21 Удаление воздуха вакуумным насосом; Общая информация
- 23 Пожалуйста, обратите внимание
- 24 Вакуумирование; Порядок действий
- 25 Заправка
- 26 Процедура проверки
- 27 Изоляция
- 28 Электрические соединения; Электропроводка; Подключение наружного блока; Снимите защитную панель
- 29 Правила безопасности
- 31 Регламентное техническое обслуживание; Регламент технического обслуживания
- 32 Коды ошибок
- 33 Схемы соединений; L N
- 37 C N
- 38 Дата производства оборудования
- 39 Место производства оборудования