Страница 3 - Спасибо; Условные обозначения; Внимание – важная информация по технике; Утилизация; Риск получения травмы или удушения!
RU Спасибо 3 Условные обозначения Внимание – важная информация по технике безопасности Общая информация и рекомендации Информация об охране окружающей среды Утилизация Помогите защитить окружающую среду и здоровье чело- века. Поместите упаковочные материалы в специальные контейнеры для последующей п...
Страница 4 - Содержание
Содержание RU 4 1- Информация о технике безопасности ................................................... 52- Описание изделия ................................................................................ 103- Панель управления .........................................................................
Страница 5 - - Информация о технике безопасности; Перед включением оборудования в первый раз необходимо
RU 1- Информация о технике безопасности 5 Перед включением оборудования в первый раз необходимо изучить следующие рекомендации по технике безопасности! ВНИМАНИЕ! Перед первым использованием ▶ Удостоверьтесь в отсутствии повреждений после транспортировки. ▶ Удостоверьтесь, что все транспортировочные ...
Страница 6 - Информация о технике безопасности; Ежедневное Пользование
1 1- Информация о технике безопасности RU 6 ВНИМАНИЕ! Ежедневное Пользование ▶ Не стирайте предварительно обработанные растворителями одежду, без их предварительной сушки на открытом воздухе. ▶ Не включайте и не извлекайте штепсельную вилку при наличии в воз- духе легко воспламеняемого газа ▶ Не исп...
Страница 8 - Обслуживание / очистка
1- Информация о технике безопасности RU 8 ВНИМАНИЕ! Обслуживание / очистка ▶ Если дети осуществляют очистку и обслуживание оборудования, они должны быть под наблюдением. ▶ Перед выполнением любого профилактического обслуживания отклю- чайте оборудование от сети. ▶ Нижняя часть смотрового окна должна...
Страница 9 - Установка
RU 1- Информация о технике безопасности 9 ВНИМАНИЕ! Установка ▶ Соблюдайте осторожность, чтобы не повредить электрический кабель и штепсель. В случае повреждения обратитесь для замены к электри- ку. ▶ Для источника питания используйте отдельную заземленную розетку, которая легко доступна после устан...
Страница 10 - Использование по назначению; Примечание: Отклонения
2- Описание изделия RU 10 2.2 Изображение оборудования2.2.1 Передняя панель (Рис. 2.2.1) 1 Ящик моющего средства для верхнего барабана 2 Ящик смягчителя для верхнего бараба- на 3 Ящик смягчителя для нижнего барабана 4 Ящик моющего средства для нижнего барабана 5 Боковая панель 6 Ручка верхней двери ...
Страница 12 - Примечание: Выберите язык
3- Панель управления RU 12 1 Выбор барабана 3.2 Выбор программы Доступны 12 программ для верхнего и 20 программ для нижнего барабана. Кроме того, стандартная программа 12 кг существует для одновременного использования обоих барабанов. Сдвиньте в бок, чтобы увидеть дальнейшие программы. Выбранная про...
Страница 13 - Кнопка включения
RU 3- Панель управления 13 3.3 Подменю Коснитесь символов, чтобы получить следующую информацию или дополнительные настройки: Сим- вол Значение Открывает видеоролики руководства. Режим настройки для функции блокировки детей, Звук, Язык, Яркость, Hастройка Wi-Fi и дистанционного управления. 3.4 Кнопка...
Страница 14 - Специальные функции; Индикаторы состояния программы
3- Панель управления RU 14 3.7 Специальные функции 3.7.1 Защита от детей Эта опция блокирует все элементы панели при активации. ▶ Включите функцию в меню «Настройка» (рисунок 3.7.1-1). ▶ После запуска программы символ блокировки отобра- жается через 1 минуту (рисунок 3.7.1-2) ▶ Когда Защита от детей...
Страница 15 - Подсветка барабана; ния
RU 3- Панель управления 15 3.7.2 Дверной замок По соображениям безопасности дверца оборудования обычно заблокирована во время стирки. Индикатор блокировки двери отображается на экране; Когда оба барабана работают, отображаются оба сигнала (рис. 3.7.2). ▶ Чтобы разблокировать дверь во время стирки, к...
Страница 21 - я с; Экологически ответственная эксплуатация; Стирка
RU 6 - Э к о л о г и ч е с к и б е з в р е д н а я с т и р к а 21 Экологически ответственная эксплуатация Стирка ▶ Для достижения наилучшего использования энергии, воды, моющего средства и времени вы должны использовать рекомендуемый максимальный размер нагрузки. ▶ Не допускайте избыточной нагрузки ...
Страница 22 - - Ежедневное использование; Краткое руководство; Отсутствие протечек
7- Ежедневное использование RU 22 7.0 Краткое руководство 7.1 Вставьте вилку в розетку. 7.2 Откройте водопроводный кран. 7.3 Включите оборудование, нажав символ включения питания в течение 3 секунд. 7.4. Подготовьте белье. 7.5. Выберите стиральный барабан в соответствии с стиркой. 7.6 Загрузите бель...
Страница 23 - Включите оборудование; Примечание: Специальные подсказки для сушки; Слишком большие
RU 23 7.3 Включите оборудование Коснитесь кнопки питания в течение 3 секунд, чтобы вклю- чить оборудование; Дисплей загорится (рис. 7.3). 7.3 7.4 Подготовка белья ▶ Сортируйте одежду по ткани (хлопок, синтетика, шерсть или шелк) и насколько они грязны. Обратите внимание на маркировку этикеток белья ...
Страница 25 - Примечание: Самоочистка; Выбор моющего средства; Добавление моющего средства
RU 25 7.6 Загрузка белья ▶ Помещайте белье в барабан по частям. ▶ Не допускайте перегрузки. Проверьте, можно ли положить руку вертикально поверх белья . ▶ Аккуратно закройте дверцу. Убедитесь, что части белья не были зажаты дверцей. Примечание: Самоочистка Перед первым использованием мы рекомендуем ...
Страница 28 - Примечание: Моющее средство; Добавить индивидуальный выбор
7- Ежедневное использование RU 28 Примечание: Моющее средство ▶ Поместите моющее средство в соответствующее отсеки в зависимости от выбранного ба- рабана. ▶ Не передозируйте моющее средство или смягчитель. Не используйте более 1 мерной чаш- ки (около 40 мл). ▶ Следуйте рекомендациям на упаковке моющ...
Страница 30 - Примечание: Временная задержка; Примечание: Цикл охлаждения для цикла сушки; Используйте
7- Ежедневное использование RU 30 7.10.2.1 Выбор временной задержки - Задержка времени окончания Используйте эту функцию для запуска программы с за- держкой. 1. Установите программу и выберите необходимые функции. 2. Сдвиньте или коснитесь опций, чтобы установить вре- менную задержку с шагом 1 час о...
Страница 33 - Примечание: Регистрация; Регистрация и вход в систему; Символы на дисплее устройства:
RU 8- Haier U+ 33 Примечание: Регистрация Регистрация требуется только при первом использовании приложения. Для дальнейшего ис- пользования при успешной регистрации, вам нужно ввести имя пользователя и пароль для использования приложения. 1. Включите оборудование и установите «Hастройка Wi- Fi» ВКЛ ...
Страница 34 - Примечание: Используйте тот; Начало стирки через приложение Haier U +; Примечание: дистанционного
8- Haier U+ RU 34 Примечание: Используйте тот же Wi-Fi Убедитесь, что ваш мобильный телефон и устройство подключены к одному и тому же Wi-Fi. 8.5 Соединение 1. Нажмите сенсорную кнопку «Добавить сейчас» (рис. 8.5-1) на мобильном телефоне. 2. Выберите тип устройства или коснитесь символа Wi-Fi(рисуно...
Страница 35 - Впускной клапан воды и фильтр
RU 9- Уход и чистка ВНИМАНИЕ! Перед началом обслуживания выключите машину и отключите его от сети питания и Регулярно проверяйте и очищайте оборудование. 35 9.1 Очистка машины ▶ Во время очистки и обслуживания машину необхо- димо выключать из розетки. ▶ Используйте мягкую ткань с мыльной жидкостью д...
Страница 36 - Длительные периоды неиспользования
9- Уход и чистка RU RU 36 1. Включите программу отжима и слейте воду. 2. После завершения программы выключите машину и выньте вилку из розетки (рисунок 9.5-2). 3. Откройте лючек фильтра A с помощью монеты или отвертки (рис. 9.5-3). 4. Приготовьте плоский контейнер (1) для улавливания воды (рис. 9.5-...
Страница 38 - Информационные коды; Примечание: Выявление неисправностей; Устранение неполадок с помощью кода дисплея; 0 - Рекомендации по устранению неисправностей
RU RU 38 Многие возникающие проблемы могут быть решены самостоятельно без специальных знаний. В случае возникновения проблемы ознакомьтесь со всеми показанными возможностями и следуйте при-веденным ниже инструкциям, прежде чем обращаться в службу послепродажного обслужива-ния. См. раздел ОБСЛУЖИВАНИ...
Страница 40 - 0-3 Устранение неполадок без кода отображения
RU RU 40 10-3 Устранение неполадок без кода отображения Неисправность Причина Решение Оборудование не работает. • Программа не запущена. • Дверца неплотно закрыта. • Оборудование не было включено • Отсутствует питание. • Защита от детей активирована • Задержка времени активирована? • Нажата кнопка п...
Страница 41 - 0- Рекомендации по устранению неисправностей
10- Рекомендации по устранению неисправностей RU 10- Рекомендации по устранению неисправностей RU RU RU 41 Неисправность Причина Решение Странный звук • Стиральная машина установле- на на неровной поверхности или не отрегулировано ее положение. Посторонние предметы, такие как мо- неты или молнии, по...
Страница 43 - Примечание: Утилизация упаковки; Транспортировка
RU 11- Установка RU 43 11.1 Подготовка ▶ Извлеките машину из упаковки. ▶ Удалите весь упаковочный материал, включая осно- вание из полистирола (A) с частью (B) (рис. 11.1) и фиксирующий материал внутри корпуса, чтобы дети их не достали. При вскрытии упаковки можно заметить наличие капель воды на пла...
Страница 44 - Сливной шланг; Регулировка ножек
11- Установка RU 44 11.4 Сливной шланг ВНИМАНИЕ! ▶ Используйте только шланги, входящие в комплект поставки. ▶ Никогда не используйте бывшие в употреблении шланги! ▶ Машина рассчитана на подачу только холодной воды. ▶ Перед подключением убедитесь, что подаваемая вода является чистой и прозрачной. Отр...
Страница 45 - заливного шланга; Подключение к электросети
RU 11- Установка 45 11.5 Подключение к заливного шланга ВНИМАНИЕ! ▶ Сливной шланг не должен погружаться в воду, должен быть надежно зафиксирован и не должен иметь утечек. Если дренажный шланг размещен на земле или если труба находит-ся на высоте менее 80 см, прибор будет постоянно сливаться при запо...
Страница 46 - 2- Технические данные
12- Технические данные RU 46 12.1 Изделие (в соответствии с EU 96/60) Торговая марка Haier Номер модели HWD120-B1558U Класс энергоэффективности 1) A Потребление энергии для мойки, вращения и сушки с использованием стандартных программ хлопка 2) в кВтч / полный рабочий цикл 3) 8.14 Потребление энерги...
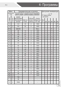
Страница 47 - Дополнительные технические данные
RU 12- Технические данные 47 Размер (ВхШхГ в мм) 1280x600x600 Напряжение / ток 220-240 В / 50 Гц / 10 А Макс. мощность (Вт) 2100 Давление воды (МПа) 0,03 - 1,0 Вес нетто (кг) 121 12.2 Дополнительные технические данные
Страница 48 - 3- Обслуживание покупателей; Служба поддержки клиентов
13- Обслуживание покупателей RU 48 Служба поддержки клиентов Мы рекомендуем обращаться в службу поддержки клиентов компании «Хайер», а также использовать оригинальные запасные части. Если у вас возникли проблемы с вашей бытовой техникой, пожалуйста, сначала изучите раздел «Устранение неисправностей»...