Страница 2 - СОДЕРЖАНИЕ; ИНФОРМАЦИЯ О ТОВАРЕ В СООТВЕТСТВИИ С ПОСТАНОВЛЕНИЕМ
СОДЕРЖАНИЕ 1. СВЕДЕНИЯ ПО ТЕХНИКЕ БЕЗОПАСНОСТИ.................................................3 2. УКАЗАНИЯ ПО БЕЗОПАСНОСТИ................................................................... 7 3. ОПИСАНИЕ ИЗДЕЛИЯ..................................................................................... 9...
Страница 3 - МЫ ДУМАЕМ О ВАС; ПОДДЕРЖКА ПОТРЕБИТЕЛЕЙ И СЕРВИСНОЕ; СВЕДЕНИЯ ПО ТЕХНИКЕ БЕЗОПАСНОСТИ
МЫ ДУМАЕМ О ВАС Благодарим вас за приобретение прибора Electrolux. Вы выбрали изделие, за которым стоят десятилетия профессионального опыта и инноваций. Уникальное и стильное, оно создавалось с заботой о вас. Поэтому когда бы вы ни воспользовались им, вы можете быть уверены: результаты всегда будут ...
Страница 4 - Безопасность детей и лиц с ограниченными; возможностями
1.1 Безопасность детей и лиц с ограниченными возможностями ВНИМАНИЕ! Существует риск удушья, получения травм или стойких нарушений трудоспособности. • Данный прибор может эксплуатироваться детьми старше 8 лет и лицами с ограниченными физическими, сенсорными или умственными способностями и с недостат...
Страница 5 - Общие правила техники безопасности
1.2 Общие правила техники безопасности • Не вносите изменения в характеристики данного прибора. • Если сушильный барабан устанавливается поверх стиральной машины, используйте монтажный комплект Комплект для вертикальной сборки, который можно приобрести в авторизованных магазинах, может использоватьс...
Страница 7 - УКАЗАНИЯ ПО БЕЗОПАСНОСТИ; электросети
• Перед выполнением любых операций по чистке и уходу выключите прибор и извлеките вилку сетевого шнура из розетки. 2. УКАЗАНИЯ ПО БЕЗОПАСНОСТИ 2.1 Установка • Удалите всю упаковку. • Не устанавливайте и не подключайте прибор, если он имеет повреждения. • Следуйте приложенной к прибору Инструкции по ...
Страница 8 - Внутреннее освещение
• Не садитесь и не вставайте на открытую дверцу прибора. • Не сушите в приборе неотжатые вещи. 2.4 Внутреннее освещение ВНИМАНИЕ! Существует опасность травмы. • О лампах внутри прибора и лампах, продаваемых отдельно в качестве запасных частей: данные лампы рассчитаны на работу в бытовых приборах в и...
Страница 11 - Установка и настройка My; Electrolux; Настройка беспроводного; соединения сушильного
Символ на дисплее Описание символа , , , продление заданной по умолчанию продол‐ жительности фазы «антисминание»: +30 мин, +60 мин, +90 мин, +2 часа) - выбор сушки по времени (от 10 минут до 2 часов) - выбор времени отсрочки (от 1 часа до 20 часов) 5. НАСТРОЙКА СОЕДИНЕНИЯ WI-FI. Данная глава описыва...
Страница 12 - Дистанционный запуск; Включение дистанционного
На экране примерно на 5 секундпоявится текст , замигает значок и начнется включение модуля беспроводной связи. На достижение готовности может потребоваться около 45 секунд. Когда беспроводной модуль будет готов, сообщение наэкране (Точка доступа) уведомит вас о том, что в течение около 3 минут будет...
Страница 13 - Выключение дистанционного; Обновление по протоколу; беспроводной связи
2. Нажмите кнопку Старт/Пауза для включения дистанционного запуска. На дисплее появится индикатор . Теперь можно запустить программу удаленно. Выключение дистанционного запуска Нажмите сенсорную кнопку Отсрочкастарта ( ) и подтвердите, нажав кнопку Старт/Пауза. Значок исчезнет, и дистанционный запус...
Страница 16 - Время сушки в программе; Шерсть
РЕКОМЕНДАЦИИ СУШКИ ПО ВРЕ‐ МЕНИ 10 - 20 мин только воз‐ действие хо‐ лодного воз‐ духа (без на‐ грева). 20 - 40 мин дополнитель‐ ная сушка для повыше‐ ния степени сушки после предыдущего цикла. > 40 мин полная сушка хорошо выжа‐ тых (>1200 об/мин) не‐ больших за‐ грузок белья до 4 кг. 7.4 Врем...
Страница 17 - Функция «Защита от; детей»
Программы 1) Уровень сушки Анти‐ сми‐ на‐ ние+ Очен ь ти‐ хо Ре‐ верс Плюс Ос‐ ве‐ жить Вре‐ мя су‐ шки Шерсть ■ 2) Пуховики ■ ■ Спорт ■ ■ Постельное белье XL ■ ■ ■ ■ ■ Деним ■ ■ ■ ■ Kyртки ■ Быстрая 3кг ■ ■ Микс Уход ■ ■ ■ ■ ■ 1) Одновременно с программой можно выбрать одну или более опций. Для их ...
Страница 18 - остаточной влажности; Индикация контейнера; для конденсата
Функцию «Защита от детей» можно выключить в процессе выполнения программы. Hажмите и удерживайте тот же сенсор, пока не погаснет индикатор функции «Защита от детей». Функция «Защита от детей» недоступна в течение 8 секунд после включения прибора. 8.2 Настройка уровня остаточной влажности При каждом ...
Страница 19 - ПЕРЕД ПЕРВЫМ ИСПОЛЬЗОВАНИЕМ
В случае установки комплекта для слива конденсата (дополнительная принадлежность) прибор автоматически сливает воду из контейнера для конденсата. В подобном случае рекомендуется отключить индикатор контейнера для конденсата. Выключение индикатора контейнера для конденсата: 1. Включите прибор нажатие...
Страница 20 - ЕЖЕДНЕВНОЕ ИСПОЛЬЗОВАНИЕ; Запуск программы без; отсрочки пуска
Brrrr Вращение барабана. Вращение вентиляторов. Работа насоса, перемещение конденсата в резервуар. 10. ЕЖЕДНЕВНОЕ ИСПОЛЬЗОВАНИЕ 10.1 Запуск программы без отсрочки пуска 1. Подготовьте вещи и загрузите их в прибор. ПРЕДУПРЕЖДЕНИЕ Убедитесь, что при закрывании дверцы белье не оказалось зажато между дв...
Страница 21 - Запуск программы с; отсрочкой; Изменение выбранной; программы; Окончание программы
Фактическое время сушки будет зависеть от загрузки (количества и состава вещей), температуры в помещении и влажности белья после цикла отжима. 4. Нажмите сенсорную кнопку Старт/ Пауза. Начнется выполнение программы 10.2 Запуск программы с отсрочкой 1. Выберите подходящую программу и функции в соотве...
Страница 22 - Подготовка белья
Всегда очищайте фильтр и опорожняйте резервуар для воды по окончании программы. 10.5 Режим ожидания Для снижения энергопотребления данная функция автоматически выключает прибор:• Спустя пять минут, если потребитель не запустил программу. • Через пять минут по окончании программы. В случае установки ...
Страница 24 - Слив воды из контейнера для сбора конденсата
5. 1) 6. 2 1 1) При необходимости удалите ворс из гнезда для фильтра и с уплотнителя. Для этого можно использовать пылесос. 12.2 Слив воды из контейнера для сбора конденсата 1. 2. 3. 4. Воду из резервуара для воды можно использовать вместо дистиллированной воды (например, для глажки с использованием...
Страница 26 - управления и корпуса; Очистка вентиляционных; щелей; ПОИСК И УСТРАНЕНИЕ НЕИСПРАВНОСТЕЙ
ПРЕДУПРЕЖДЕНИЕ Не касайтесь металлической поверхности влажными руками. Существует опасность травмы. Пользуйтесь защитными перчатками. При очистке проявляйте осторожность во избежание повреждения металлической поверхности. 12.4 Чистка барабана ВНИМАНИЕ! Перед очисткой отключите прибор от электросети....
Страница 27 - Устранение неисправностей
Возможная причина Возможная причина Решение E5A Перегрузка двигателя прибо‐ ра. Слишком много белья или белье перепуталось в бараба‐ не. Программа не завершена. Из‐ влеките белье из барабана, задайте программу и переза‐ пустите цикл. E97 Внутренний сбой. Отсутствует обмен данными между элек‐ тронным...
Страница 29 - Результаты сушки; ТЕХНИЧЕСКИЕ ДАННЫЕ
Неисправность Возможное решение Выключите микроволновую печь. Ста‐ райтесь не использовать одновремен‐ но микроволновую печь и дистанцион‐ ное управление сушильного барабана. Микроволны создают помехи для сигнала Wi-Fi. На дисплее отображается . Если Вы захотите задать новую про‐ грамму, выключите и...
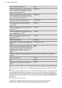
Страница 31 - Данные по потреблению энергии; ИНФОРМАЦИЯ О ТОВАРЕ В СООТВЕТСТВИИ С
14.1 Данные по потреблению энергии Программа Отжим при / остаточная влаж‐ ность Время сушки 1) Энерго‐ потре‐ бление 2) Хлопок Eco 9 кг В шкаф 1400 об/мин / 50% 190 мин 1,54 кВт·ч 1000 об/мин / 60% 208 мин 1,69 кВт·ч Хлопок 9 кг Под утюг 1400 об/мин / 50% 124 мин 1,02 кВт·ч 1000 об/мин / 60% 140 мин...
Страница 33 - ОХРАНА ОКРУЖАЮЩЕЙ СРЕДЫ
16. ОХРАНА ОКРУЖАЮЩЕЙ СРЕДЫ Материалы с символом следует сдавать на переработку. Положите упаковку в соответствующие контейнеры для сбора вторичного сырья. Принимая участие в переработке старого электробытового оборудования, Вы помогаете защитить окружающую среду и здоровье человека. Не выбрасывайте...