Страница 27 - ПОДДЕРЖКА ПОТРЕБИТЕЛЕЙ И СЕРВИСНОЕ
СОДЕРЖАНИЕ 1. СВЕДЕНИЯ ПО ТЕХНИКЕ БЕЗОПАСНОСТИ...............................................28 2. УКАЗАНИЯ ПО БЕЗОПАСНОСТИ................................................................. 31 3. ОПИСАНИЕ ИЗДЕЛИЯ................................................................................... 33 4....
Страница 28 - возможностями
1. СВЕДЕНИЯ ПО ТЕХНИКЕ БЕЗОПАСНОСТИ Прежде чем приступить к установке и эксплуатации прибора внимательно ознакомьтесь с приложенным руководством. Производитель не несет ответственности за какие-либо травмы или ущерб, возникший вследствие неправильной установки или эксплуатации. Всегда храните данное...
Страница 29 - Общие правила техники безопасности
• Храните все упаковочные материалы вне досягаемости детей и утилизируйте материалы надлежащим образом. • Храните моющие средства вне досягаемости детей. • Не подпускайте детей и домашних животных к прибору, когда его дверца открыта. • Если прибор оснащен устройством защиты детей, его следует включи...
Страница 31 - УКАЗАНИЯ ПО БЕЗОПАСНОСТИ; электросети
душа, водостойкие текстильные изделия, изделия на резиновой основе, а также одежду и подушки со вставками из вспененной резины. • Смягчители для ткани и другие подобные средства следует использовать в соответствии с указаниями их изготовителей. • Извлекайте из вещей все предметы, которые могли бы ст...
Страница 32 - Внутреннее освещение
техническими данными, соответствуют характеристикам электросети. • Включайте прибор только в установленную надлежащим образом электророзетку с защитным контактом. • Не используйте тройники и удлинители. • Для отключения прибора от электросети не тяните за кабель электропитания. Всегда беритесь за са...
Страница 37 - Сушка по времени в; программе Шерсть
Программа Загруз‐ ка 1) Свойства / Тип ткани 2) Джинсы 4 кг Повседневная одежда, напри‐ мер, джинсы, свитера из тка‐ ней различной толщины (на‐ пример, на воротнике, манже‐ тах и швах). / Постельное белье XL 4,5 кг До трех комплектов постельно‐ го белья, один из которых мо‐ жет быть двуспальным. / С...
Страница 39 - Функция «Защита от; детей»
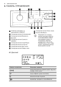
7. ПАРАМЕТРЫ A B C D E F G H A. Сенсорная кнопка Сушка по времени B. Сенсорная кнопка Старт/Пауза C. Сенсорная кнопка Отсрочка D. Сенсорная кнопка Звук оконч. E. Сенсорная кнопка Реверс плюс F. Сенсорная кнопка Очень тихая G. Сенсорная кнопка Антисминание+ H. Сенсорная кнопка Влажность 7.1 Функция «...
Страница 40 - Индикация контейнера; для конденсата
Если дисплей возвращается в обычный режим (при этом отображается время выбранной в Шаге 2 программы) во время установки уровня остаточной влажности, снова нажмите и удерживайте кнопки (F) и (E) для вызова режима «Регулировка остаточной влажности белья» (ранее установленное значение остаточной влажно...
Страница 41 - Запуск программы без; отсрочки пуска; Запуск программы с; отсрочкой; Изменение выбранной; программы
8. ПЕРЕД ПЕРВЫМ ИСПОЛЬЗОВАНИЕМ При первом запуске прибора упаковочные материалы с задней стороны барабана удаляются автоматически. Это может сопровождаться определенным шумом. Перед первым использованием прибора:• Протрите сушильный барабан влажной тряпкой. • Запустите 1-часовую программу с влажным ...
Страница 42 - По окончании программы; Подготовка белья
2. Подождите 1 секунду. На дисплее отобразится . 3. Задайте программу. 9.4 По окончании программы По окончании выполнения программы:• Выдается прерывистый звуковой сигнал. • На дисплее отображается • Загорится индикатор . • Загорятся индикаторы «Фильтр» и «Резервуар для воды». • Загорится индикатор ...
Страница 45 - управления и корпуса
5. 6. 7. 8. 9. 2 1 ПРЕДУПРЕЖДЕНИЕ Не касайтесь металлической поверхности влажными руками. Существует опасность травмы. Пользуйтесь защитными перчатками. При очистке проявляйте осторожность во избежание повреждения металлической поверхности. 11.4 Чистка барабана ВНИМАНИЕ! Перед очисткой отключите при...
Страница 46 - Очистка вентиляционных; щелей; ПОИСК И УСТРАНЕНИЕ НЕИСПРАВНОСТЕЙ
11.6 Очистка вентиляционных щелей Для удаления ворса из вентиляционных щелей воспользуйтесь пылесосом. 12. ПОИСК И УСТРАНЕНИЕ НЕИСПРАВНОСТЕЙ Неисправность Возможное решение Прибор не включается. Убедитесь, что вилка сетевого шнура вставлена в розетку электропитания. Проверьте предохранитель на домаш...
Страница 47 - Результаты сушки; неудовлетворительны; ТЕХНИЧЕСКИЕ ДАННЫЕ
Неисправность Возможное решение На дисплее отобразится . Если Вы захотите задать новую про‐ грамму, выключите и включите прибор. Убедитесь, что выбранные опции при‐ менимы к заданной программе. На дисплее отображается код ошибки (напр., «E51»). Выключите и включите прибор. Запу‐ стите новую программ...
Страница 48 - Данные по потреблению энергии
Энергопотребление при использова‐ нии стандартной программы для хлоп‐ка при полной загрузке 1) 2,21 кВт·ч Энергопотребление при использова‐ нии стандартной программы для хлоп‐ка при частичной загрузке. 2) 1,16 кВт·ч Годичное энергопотребление 3) 258,7 кВт·ч При оставлении во включенном со‐ стоянии 0...
Страница 49 - КРАТКОЕ РУКОВОДСТВО; использование
Программа Отжим при / остаточная влаж‐ ность Время су‐ шки 1) Энерго‐ потребле‐ ние 2) 1000 об/мин / 60% 185 мин 2,21 кВт·ч Под утюг 1400 об/мин / 50% 107 мин 1,27 кВт·ч 1000 об/мин / 60% 129 мин 1,57 кВт·ч Хлопок Eco 4,5 кг В шкаф 1400 об/мин / 50% 88 мин 0,97 кВт·ч 1000 об/мин / 60% 103 мин 1,16 к...
Страница 50 - Таблица программ
3. Одновременно с программой можно выбрать один или более особых опций. Для включения или выключения опции коснитесь соответствующей кнопки. 4. Коснитесь кнопки Старт/Пауза для запуска программы. 5. Прибор начнет работу. 14.2 Очистка фильтра 1 3 2 В конца каждого цикла на дисплеепоявляется символ фи...
Страница 51 - ОХРАНА ОКРУЖАЮЩЕЙ СРЕДЫ
Программа Загруз‐ ка 1) Свойства / Тип ткани Шерсть 1 кг Шерстяные ткани. Щадящая сушка изде‐ лий из шерсти, рассчитанных на ручную стирку. Извлекайте вещи сразу после зав‐ ершения программы. Верхняя одежда 2 кг Уличная одежда, теходежда, спортивная одежда, ткани с начесом, водонепроницаемые и дышащ...