Страница 2 - Уважаемый покупатель
RQ T 88 06 2 Уважаемый покупатель Благодарим Вас за покупку этого изделия. Чтобы получить оптимальное качество работы системы и обеспечить безопасность, пожалуйста, внимательно прочитайте эту инструкцию. Основное устройство: Сделано в Сингапуре Фронтальные колонки: Сделано в Малайзии Сабвуфер: Сдела...
Страница 3 - СОДЕРЖАНИЕ; Простая установка; Подключение радио и шнура; Использование других полезных функций . .32; Перед
RQ T 88 06 3 СОДЕРЖАНИЕ Меры предосторожности. . . . . . . . . . . . . . . . . 4Принадлежности . . . . . . . . . . . . . . . . . . . . . . . . 4О материалах DivX VOD . . . . . . . . . . . . . . . . . . 5 Простая установка ШАГ 1 Сборка фронтальных колонок . . . . . . 6 Варианты установки колонок . . ...
Страница 4 - Меры предосторожности; Размещение; Принадлежности
RQ T 88 06 4 М еры пр едос тор о ж нос ти / Прин адле ж н ост и Меры предосторожности Установите устройство на горизонтальной поверхности вдали от прямых солнечных лучей, высоких температур, высокой влажности и сильной вибрации. Такие условия могут повредить корпус и другие компоненты устройства, те...
Страница 5 - О материалах DivX VOD; Показ регистрационного кода устройства
R Q T 880 6 5 О ма те р и ал ах Di vX V O D О материалах DivX VOD DivX Содержание “Видео по запросу” (VOD) шифруется для защиты авторских прав. Для воспроизведения материалов DivX VOD на данном устройстве вам сначала необходимо зарегистрировать устройство. Следуйте онлайновым инструкциям для приобре...
Страница 6 - Прикрепите колонку к стойке.; ШАГ; Сборка фронтальных колонок
R Q T 8806 Прос та я ус та новка 6 Подготовка ≥ Во избежание повреждения и царапин положите мягкую ткань и производите сборку колонок на ткани. ≥ Для сборки используйте крестовую отвертку. ≥ Перед началом сборки, установкой и подсоединением убедитесь в том, что вы располагаете всеми указанными компо...
Страница 7 - Прос; Предотвращение падения колонок; Варианты установки колонок
RQ T 88 06 7 Прос та я ус та новка ∫ Предотвращение падения колонок ≥ Вам необходимо приобрести соответствующее вворачиваемое в стену или балку кольцо, к которому будет привязана колонка. ≥ При креплении к бетонной стене или поверхности, которая может оказаться недостаточно прочной, проконсультируйт...
Страница 8 - Размещение колонок; аз
R Q T 8806 Прос та я ус та новка 8 Размещение колонок влияет на характеристики низких частот и на звуковое поле. Обратите внимание на следующие моменты: ≥ Размещайте колонки на устойчивых основаниях. ≥ Размещение колонок слишком близко к полу, стенам и углам может привести к усилению низких частот. ...
Страница 9 - Подключение колонок; дклю
RQ T 88 06 9 Прос та я ус та новка ШАГ 3 Подключение колонок Будьте внимательны, чтобы не перемкнуть (короткое замыкание) или не перепутать полярность проводов колонок, так как это может привести к их повреждению. 2 ФРОНТАЛЬНАЯ (П) 1 ФРОНТАЛЬНАЯ (Л) Основное устройство Полностью вставьте провод. i :...
Страница 10 - Телевизор с входным гнездом HDMI; Основные аудиоподключения; Аудио и видеоподключения; Основные видеоподключения
R Q T 8806 Прос та я ус та новка 10 ≥ Не подключайте устройство через кассетный видеомагнитофон. Из-за функции защиты от копирования изображение может отображаться неправильно. ≥ Перед подключением выключите телевизор и обратитесь к инструкции по эксплуатации телевизора. Используйте подключение HDMI...
Страница 11 - SCART; Другие видеоподключения для улучшенного качества изображения
RQ T 88 06 11 Прос та я ус та новка COMPONENT VIDEO OUT ≥ Использование разъема COMPONENT VIDEO OUT Ра зъемы COMPONENT VIDEO OUT позволяют получить более четкое изображение, чем разъем S-VIDEO OUT. Эти разъемы могут использоваться для чересстрочного или построчного выхода. Подключение с использовани...
Страница 12 - Подключение радио и шнура питания от сети
R Q T 8806 Прос та я ус та новка 12 Экономия электроэнергии Даже в выключенном состоянии это устройство потребляет небольшое количество электроэнергии (около 0,9 Вт). Для экономии электроэнергии отключите устройство от сети, если оно не будет использоваться в течение длительного времени.После повтор...
Страница 13 - Использование; Экран QUICK SETUP помогает вам сделать необходимые настройки.; Подготовка пульта дистанционного управления; Выполнение QUICK SETUP (БЫСТРАЯ НАСТРОЙКА)
RQ T 88 06 13 Прос та я ус та новка Не: ≥ смешивайте старые и новые батарейки. ≥ используйте одновременно батарейки разных типов. ≥ нагревайте и не допускайте контакта с пламенем. ≥ разбирайте и не замыкайте контакты. ≥ пытайтесь перезаряжать щелочные или марганцевые батарейки. ≥ используйте батарей...
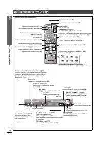
Страница 14 - Справочное руководство по органам управления
RQ T 88 06 14 Спр аво чное ру ково дст во п о орг ан ам у пра влен ия Справочное руководство по органам управления ADVANCEDSURROUND ONE TOUCH PLAY A.SRND (31) (31) (31) (31) (17) (32) (18) (32) A.SRND Включает/выключает устройство (13) Выбирает номера заголовков диска и т. п./ Вводит номера (17) Осн...
Страница 15 - Диски, которые могут воспроизводиться; Диски, которые не могут воспроизводиться; Чистите это устройство мягкой сухой тканью.; Предосторожности при
R Q T 880 6 15 Д ис ки, кот орые м ог ут в оспр оиз водит ьс я / П ре д ос то ро жност и при об ращ ении с ди ска м и / О бс л уж ив ание Диски, которые могут воспроизводиться Действия, описываемые в настоящей инструкции, в основном указываются вместе с форматами. Значки типа [DVD-V] обозначают форм...
Страница 16 - Основное воспроизведение; Использование основного устройства; Откройте лоток дисков.
RQ T 88 06 16 О сн овно е во спро изв еден и е Основное воспроизведение Для показа изображения с основного устройства, включите телевизор и измените его режим видеовхода (например, VIDEO 1, AV 1 и т. п.). ≥ Для изменения режима видеовхода телевизора обратитесь к его инструкции по эксплуатации. ≥ ДИС...
Страница 17 - Использование пульта дистанционного управления
R Q T 880 6 17 О сн овно е во спро изв еден и е В случае возникновения проблем обращайтесь к руководству по устранению неисправностей ( ➜ стр. с 35 по 37). Использование пульта дистанционного управления Стоп Позиция запоминается в то время, как на дисплее высвечивается индикация “RESUME”. ≥ Нажмите ...
Страница 18 - Удо; Удобные функции; Нажмите; Основные параметры; Воспроизведение всех групп
RQ T 88 06 18 Удо бны е ф унк ции Удобные функции Нажмите кнопку [FUNCTIONS]. При каждом нажатии кнопки: Главное меню ( ➜ стp. 22) ---> Основные параметры ---> Дополнительные параметры ^--------------- выключено (нет экранного дисплея) ,-------------b ≥ [MPEG4] [DivX] Во время поиска видео и а...
Страница 19 - Использование подменю; Воспроизведение позиций по порядкy (Playback Menu); ] для выбора группы и; Find
R Q T 880 6 19 Воспроизведение дисков данных с использованием навигационных меню Выбор “Play as Data Disc” в Other Menu ( ➜ стp. 25) будет действовать при условии, если следующие функции недоступны для воспроизведения WMA, MP3, JPEG, MPEG4 или DivX видеоматериалов. ≥ Воспроизведение дисков HighMAT T...
Страница 20 - Воспроизведение сцен одна за другой; ] для выбора дорожки и; Воспроизведение дисков; ] для выбора позиции; Выбор из списка; Воспроизведение программ; ] или цифровые кнопки для выбора; ] или цифровые кнопки для выбора
RQ T 88 06 20 Воспроизведение дисков данных с использованием навигационных меню Заголовки появляются при воспроизведении CD-дисков с функцией текста. ≥ Заголовки показываются только в том случае, если они записаны на диске. ≥ Вы не можете изменить заголовки программ, списков воспроизведения и диска....
Страница 21 - Рекомендации по созданию дисков данных
R Q T 880 6 21 Рекомендации по созданию дисков данных ≥ Когда имеется более 8 групп, восьмая группа будет показываться на одной вертикальной линии на экране меню. ≥ Изображения на экранном меню и на экране компьютера могут отличаться. ≥ Данное устройство не может воспроизводить файлы, записанные с и...
Страница 22 - Использование экранных меню; Выполните установки.; Pro
RQ T 88 06 22 И сп о л ьз ов ан ие эк р анн ы х м еню Использование экранных меню 1 Показывает главное меню. 2 Выберите меню. Например: [DVD-V] 3 Выполните установки. Например: [DVD-V] 4 Нажмите для выхода. Главное меню Показанные позиции отличаются в зависимости от типа диска. Pro gram GroupTitleCh...
Страница 23 - Other Sett; Показанные позиции отличаются в зависимости от типа диска.; Repeat
R Q T 880 6 23 И сп о л ьз ов ан ие эк р анн ы х м еню ∫ Play Menu (Меню воспроизведения) Работает только тогда, когда может отображаться истекшее время воспроизведения. Это также работает со всеми материалами JPEG. ∫ Picture Menu (Меню изображения) (Продолжение на следующей странице) Other Sett ing...
Страница 24 - Picture Menu; Dialogue Enhancer
RQ T 88 06 24 И с п о л ьз ов а н ие эк р а нн ы х м е ню Использование экранных меню ∫ Picture Menu (Меню изображения) (Продолжение) ∫ Audio Menu (Меню аудио) Other Settings (Другие настройки) Показанные позиции отличаются в зависимости от типа диска. Transfer Mode Если Вы выбрали “xxx § p” (постро...
Страница 25 - Проверка информации HDMI
R Q T 880 6 25 ∫ Display Menu (Меню дисплея) ∫ Other Menu (Другие меню) Проверка информации HDMI ≥ Показываются все возможные типы выходов. ≥ Текущий выход для “ Audio Stream ”, “ Video Format ” и “ Colour Space ” будет подчеркнут. (Если вы выбрали видеовыход без символа “ ¢ ” в “Video Output Mode” ...
Страница 26 - Изменение настроек плеера; Раздел; Disc; Audio
RQ T 88 06 26 Из мене ние нас тр оек плее ра Изменение настроек плеера ≥ Настройки сохраняются, даже при переключении устройства в режим ожидания. ≥ На следующей диаграмме подчеркнутые позиции являются заводскими настройками. ∫ Раздел “ Disc ” (Диск) § 1 Выбирается оригинальный язык, предназначенный...
Страница 27 - Video; TV Aspect
R Q T 880 6 27 Из мене ние нас тр оек плее ра ∫ Раздел “ Video ” (Видео) § 4 Обратитесь к разделу “Стоп-кадр и стоп-полукадр” ( ➜ стp. 38, Глоссарий). ∫ Раздел “ Audio ” (Аудио) § 5 Когда аудио выводится через разъем HDMI AV OUT и подключенное оборудование не поддерживает выбранную позицию, реальный...
Страница 28 - HDMI; Список кодов языков
RQ T 88 06 28 Из мене ние нас тр о ек плее ра Изменение настроек плеера ∫ Раздел “ HDMI ” ∫ Раздел “ Display ” (Дисплей) ∫ Раздел “ Others ” (Другое) QUICK SETUP позволяет выполнять последовательную установку позиций в затененной области. RGB Range Установите “HDMI Colour Space” на “RGB” ( ➜ стp. 24...
Страница 29 - Использование радио; При сильном уровне помех; Предварительная установка канала; Выбор предустановленных каналов; Только основное устройство
R Q T 880 6 29 Испо льз ова ние радио Использование радио В каждом диапазоне FM и АМ может быть занесено в память до 15 станций. При приеме стереорадиостанции в диапазоне FM на дисплее будет появляться надпись “ST”. ∫ При сильном уровне помех Если выбрано “FM” На основном блоке нажмите и держите [—F...
Страница 30 - Испо; Использование внешней антенны (дополнительно)
RQ T 88 06 30 Испо льз ова ние радио Использование радио При плохом качестве приема радиостанций используйте наружную антенну. ≥ Отсоединяйте наружную антенну, когда устройство не используется. ≥ Не используйте наружную антенну во время грозы. Использование внешней антенны (дополнительно) Оставьте р...
Страница 31 - Использование звуковых эффектов
R Q T 880 6 31 Испо льз ова ние зву ков ых эф фе кто в Использование звуковых эффектов ≥ В зависимости от типа источника, или при использовании наушников следующие звуковые эффекты могут быть недоступны или могут не действовать. ≥ Вы можете заметить ухудшение качества звучания при использовании этих...
Страница 32 - Использование других полезных функций; Отключение звука; Использование наушников; Использование Music Port
RQ T 88 06 32 Испо льз ова ние друг их по лез ны х ф унк ций Использование других полезных функций Нажмите [SLEEP] для выбора времени (в минутах). SLEEP 30 _----) SLEEP 60 _----) SLEEP 90 ^"""" OFF (_ SLEEP120 (__} Для отмены таймера Нажмите [SLEEP] для выбора “OFF”. Для проверки ост...
Страница 33 - Использование караоке; Отрегулируйте громкость микрофона.; Для включения и выключения вокала; ] для выбора “Audio” и затем; Управление другим оборудованием; Управление телевизором
R Q T 880 6 33 И спо льз ован ие дру гих п олез ных фу нк ций / У прав л ение д ру гим обор уд ов ание м [DVD-V] [VCD] ≥ При возникновении постороннего шума (подвывания) следует увеличить расстояние между микрофоном и колонками или уменьшить громкость микрофона. ≥ Если микрофон не используется, откл...
Страница 34 - Управление как телевизором, так и системой домашнего; Автоматическое переключение входа; Колонки домашнего кинотеатра
RQ T 88 06 34 Управление как телевизором, так и системой домашнего кинотеатра: с HDMI-управление (HDAVI-Control TM ) Что такое HDAVI-контроль? HDAVI-контроль – это удобная функция, обеспечивающая совместную эксплуатацию данного устройства и телевизора Panasonic (VIERA) с HDAVI-контролем. Вы можете и...
Страница 35 - Руководство по устранению неисправностей; Питание
RQ T 88 06 35 Ру ков одст во по у ст р ан ению не исп р авн о ст ей Руководство по устранению неисправностей Перед тем как обращаться в мастерскую, выполните следующие проверки. Если у вас возникли сомнения относительно некоторых пунктов проверки или указанные рекомендации не решают проблему, прокон...
Страница 36 - Маркер
RQ T 88 06 36 Ру ков одст во по у ст ран ению не исп равн ост ей Руководство по устранению неисправностей Маркер Стр. Повтор фрагмента А-В Ненормальный или нехарактерный звук Меню Ненормальное или неразличимое изображение Невозможно добавить маркеры. ≥ Вы не можете добавлять маркеры с дисками DVD-RA...
Страница 37 - Построчное видео
RQ T 88 06 37 Ру ков одст во по у ст р ан ению не исп р авн о ст ей Построчное видео Стр. Прослушивание радио Показания на дисплее устройства Информация на экране телевизора Наблюдается раздвоение изображения, когда включен выход построчного сигнала или выход HDMI. ≥ Эта проблема вызвана методом ред...
Страница 38 - Гл; Глоссарий; CPPM (Content Protection for Prerecorded Media); hot
RQ T 88 06 38 Гл осс арий Глоссарий CPPM (Content Protection for Prerecorded Media) Система защиты от копирования, используемая для файлов DVD-Audio. Данное устройство поддерживает CPPM. Декодер Декодер расшифровывает закодированные аудиосигналы, записанные на DVD диске, в обычные сигналы. Это назыв...
Страница 39 - Технические характеристики; РАЗДЕЛ УСИЛИТЕЛЯ; ОБЩИЕ ХАРАКТЕРИСТИКИ
RQ T 88 06 39 Те хнич ески е х ара кт ерис ти ки Технические характеристики Среднеквадратичная выходная мощность: Режим Dolb y Digital Фронт. канал 100 Вт на канал (3 ≠ ), 1 кГц, нелинейные искажения 10 % Канал сабвуфера 225 Вт на канал (6 ≠ ), 100 Гц, нелинейные искажения 10 % Полная среднеквадрати...