Страница 9 - Басқару панелінің сипаттамасы; Дисплей
4. БАСҚАРУ ПАНЕЛІ 4.1 Басқару панелінің сипаттамасы Уровень Время Старт/Пауза TimeManager MyFavourite СУШКА Отсрочка старта Предв. стирка Температура Отжим СТИРКА/СУШКА Хлопок Эко Синтетика Шелк Шерсть ВКЛ/ВЫКЛ Стирка&Сушка 60 мин Пар Тонкие ткани Одеяла Полоскание Отжим/Слив Сушка шерсти Сушка ...
Страница 38 - ПОДДЕРЖКА ПОТРЕБИТЕЛЕЙ И СЕРВИСНОЕ
СОДЕРЖАНИЕ 1. СВЕДЕНИЯ ПО ТЕХНИКЕ БЕЗОПАСНОСТИ...............................................39 2. УКАЗАНИЯ ПО БЕЗОПАСНОСТИ................................................................. 43 3. ОПИСАНИЕ ИЗДЕЛИЯ................................................................................... 45 4....
Страница 39 - СВЕДЕНИЯ ПО ТЕХНИКЕ БЕЗОПАСНОСТИ; возможностями
Право на изменения сохраняется. 1. СВЕДЕНИЯ ПО ТЕХНИКЕ БЕЗОПАСНОСТИ Перед установкой и эксплуатацией прибора внимательно ознакомьтесь с приложенным руководством. Производитель не несет ответственности за какие-либо травмы или ущерб, возникший вследствие неправильной установки или эксплуатации. Всегд...
Страница 40 - Общие правила техники безопасности
• Храните все упаковочные материалы вне досягаемости детей и утилизируйте материалы надлежащим образом. • Храните моющие средства вне досягаемости детей. • Не подпускайте детей и домашних животных к прибору, когда его дверца открыта. • Очистка и доступное пользователю техническое обслуживание прибор...
Страница 43 - УКАЗАНИЯ ПО БЕЗОПАСНОСТИ; электросети
2. УКАЗАНИЯ ПО БЕЗОПАСНОСТИ 2.1 Установка Установку следует выполнять в соответствии с действующими местными нормами. • Следуйте приложенным к прибору инструкциям по его установке. • Не устанавливайте и не эксплуатируйте прибор в помещениях, где температура может упасть ниже 0°C или там, где он може...
Страница 46 - Описание панели управления
4. ПАНЕЛЬ УПРАВЛЕНИЯ 4.1 Описание панели управления Уровень Время Старт/Пауза TimeManager MyFavourite СУШКА Отсрочка старта Предв. стирка Температура Отжим СТИРКА/СУШКА Хлопок Эко Синтетика Шелк Шерсть ВКЛ/ВЫКЛ Стирка&Сушка 60 мин Пар Тонкие ткани Одеяла Полоскание Отжим/Слив Сушка шерсти Сушка ...
Страница 50 - Автоматическая сушка
Совместимость программных опций Программа Хлопок ■ ■ ■ ■ ■ ■ ■ Хлопок Экo ■ ■ ■ ■ ■ ■ Cтирка&Cушка 60 мин ■ ■ Синтетика ■ ■ ■ ■ ■ ■ ■ Шелк ■ ■ ■ Шерсть ■ ■ ■ ■ ■ Тонкие ткани ■ ■ ■ ■ ■ ■ ■ Одеяла ■ ■ Отжим/Слив 1) ■ ■ ■ Полоскание ■ ■ ■ ■ ■ 1) Задайте скорость отжима. Убедитесь, что она подходит...
Страница 51 - Сушка с заданным временем
Степень сушки Тип ткани Загрузка Под утюг Для белья, подлежащего глаж‐ ке Хлопок и лен (простыни, скатерти, ру‐ башки и т.д.) до 6 кг 1) Советы для тестирующей организации Тестирование в соответствии с EN 50229 должно производиться с ПЕРВОЙ загрузкой, вес которой должен соответствовать за‐ явленному...
Страница 52 - Синий; ПОКАЗАТЕЛИ ПОТРЕБЛЕНИЯ
5.4 Woolmark Apparel Care - Синий • Компания Woolmark Company одобрила применение используемой в данной машине программы стирки шерстяных изделий с этикеткой «ручная стирка» при условии выполнения стирки в соответствии с этикеткой с информацией по уходу и указаниями производителя данной стиральной м...
Страница 54 - Менеджер времени
• Дверца остается заблокированной. Чтобы открыть дверцу, необходимо слить воду. • На дисплее отображается индикатор . Для слива воды см. Главу «По окончании программы». 7.2 Температура Используйте эту функцию для изменения температуры по умолчанию. Индикатор = холодная вода. На дисплее отобразится т...
Страница 56 - дополнительное полоскание; Звуковая сигнализация; ПЕРЕД ПЕРВЫМ ИСПОЛЬЗОВАНИЕМ; ЕЖЕДНЕВНОЕ ИСПОЛЬЗОВАНИЕ
Используйте данную опцию в случае аллергии на средства для стирки или если в вашем регионе очень мягкая вода. На дисплее высветится соответствующий индикатор. Включение данной функции описано в Главе «Настройки». 8. ПАРАМЕТРЫ 8.1 Защита от детей С помощью этой функции можно заблокировать панель упра...
Страница 57 - Добавление средства; для стирки и добавок; Отделения дозатора моющих средств
Не превышайте норму загрузки при укладке белья в барабан. 4. Плотно закройте дверцу. ПРЕДУПРЕЖДЕНИЕ Убедитесь, что белье не зажато между уплотнением и дверцей. Это может привести к протечке или повреждению белья. Стирка сильно загрязненных маслом или жиром вещей может привести к повреждению резиновы...
Страница 58 - Жидкое или порошковое; Включение прибора
10.4 Жидкое или порошковое средство для стирки. 1. A 2. 3. B 4. • Положение A для стирального порошка (заводская настройка). • Положение B для жидкого средства для стирки. При использовании жидкого средства для стирки: • Не используйте гелеобразные или густые жидкие средства для стирки. • Не превыша...
Страница 59 - Запуск программы без; отсрочки пуска; Запуск программы с; отсрочкой пуска; Прерывание программы; и изменение выбранных
10.7 Запуск программы без отсрочки пуска Нажмите на . • Индикатор перестанет мигать и загорится постоянным светом. • Индикатор начнет мигать на дисплее. • Программа запускается, дверца блокируется, на дисплеепоявляется индикатор . В случае миганияиндикатора дверца блокируется. Если после нескольких ...
Страница 61 - переход в режим ожидания; ЕЖЕДНЕВНОЕ ИСПОЛЬЗОВАНИЕ – ТОЛЬКО; СУШКА; Установка степени сушки; до заданной степени
Прибор автоматически произведет слив воды и отжим приблизительно через 18 часов (за исключением программ стирки шерстяных изделий). 10.13 АВТОМАТИЧЕСКИЙ переход в режим ожидания Если прибор не будет выключен, то через несколько минут по окончании программы стирки он перейдет в режим сохранения энерг...
Страница 62 - Сушка с заданным; временем; Завершение программы; сушки
меньше размера по умолчанию, прибор автоматически регулирует значение времени в ходе цикла. 2. Для начала выполнения программы нажмите на . На дисплее высветится индикацияблокировки дверцы . Индикатор программы сушки начнет мигать. Не все уровни доступны для всех видов белья. 11.3 Сушка с заданным в...
Страница 63 - ЕЖЕДНЕВНОЕ ИСПОЛЬЗОВАНИЕ – СТИРКА И; Стирка и автоматическая; сушка; Стирка и сушка с; заданным временем
12. ЕЖЕДНЕВНОЕ ИСПОЛЬЗОВАНИЕ – СТИРКА И СУШКА ВНИМАНИЕ! См. Главы, содержащие Сведения по технике безопасности. Данный прибор является автоматической стирально-сушильной машиной. 12.1 Программа «Нон-стоп» 1. Чтобы включить прибор, нажмите и удерживайте ВКЛ/ВЫКЛ в течение нескольких секунд. 2. Загруз...
Страница 64 - Окончание программы; Удаление ворса от; одежды
На дисплее появится индикатор . На дисплее отобразится текущее значение времени сушки. например: . Через несколько секунд на дисплее отобразится окончательноезначение времени , состоящее из полной суммы продолжительности циклов стирки и сушки (стирка + сушка + антисминание + этапы охлаждения). Если ...
Страница 65 - Средства для стирки и; добавки
стирке. Рекомендуется стирать их отдельно при первой стирке. • Застегните наволочки, закройте молнии, зацепите крючки, защелкните кнопки. Завяжите ремешки. • Выньте из карманов все их содержимое и расправьте вещи. • Выверните многослойные изделия, изделия из шерсти и вещи с аппликациями. • Удалите с...
Страница 66 - Рекомендации по сушке; Этикетки с информацией; по уходу; Продолжительность; цикла сушки
13.5 Жесткость воды Если вода в Вашем регионе имеет высокую или среднюю жесткость, рекомендуется использовать предназначенные для стиральных машин смягчители для воды. В регионах, где вода имеет низкую жесткость, использование смягчителя для воды не требуется.Чтобы узнать уровень жесткости воды в Ва...
Страница 67 - Очистка наружных; поверхностей; Профилактическая; стирка; Уплотнитель дверцы
2. Используйте специальный кондиционер для ткани для сушильных барабанов. По окончании программы сушки без промедления извлеките белье. 14. УХОД И ОЧИСТКА ВНИМАНИЕ! См. Главы, содержащие Сведения по технике безопасности. 14.1 Очистка наружных поверхностей Для очистки прибора используйте только теплу...
Страница 70 - Очистка наливного шланга и фильтра клапана; Меры против замерзания
Всегда держите под рукой тряпку, чтобы вытереть воду. Убедитесь, что крыльчатка насоса свободно вращается. Если она не вращается, обратитесь в авторизованный сервисный центр. Также убедитесь, что фильтр затянут надлежащим образом во избежание протечек. 14.7 Очистка наливного шланга и фильтра клапана...
Страница 71 - ПОИСК И УСТРАНЕНИЕ НЕИСПРАВНОСТЕЙ
1. Выньте вилку сетевого кабеля из розетки. 2. Закройте водопроводный вентиль. 3. Поместите оба конца наливного шланга в контейнер и дайте воде вытечь из шланга. 4. Слейте воду из сливного насоса. См. операции, выполняемые для экстренного слива воды. 5. После слива воды из сливного насоса подключите...
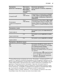
Страница 72 - Возможные неисправности
15.2 Возможные неисправности Неисправность Возможное решение Программа не запу‐ скается. • Убедитесь, что вилка сетевого шнура вставлена в розетку электропитания. • Убедитесь, что дверца прибора закрыта. • Убедитесь, что предохранитель на электрощите не поврежден. • Убедитесь, что кнопка «Пуск/Пауза...
Страница 74 - АВАРИЙНОЕ ОТКРЫВАНИЕ ДВЕРЦЫ
Неисправность Возможное решение Не удается выбрать какую-либо опцию. • Убедитесь, что вы нажимаете только на требуемый сенсор(-ы). Прибор не выполняет сушку или не высуши‐ вает белье должным образом. • Откройте водопроводный вентиль. • Убедитесь, что сливной фильтр не засорен. • Уменьшите количество...
Страница 75 - ТЕХНИЧЕСКИЕ ДАННЫЕ
3. Откройте заслонку фильтра. 4. Нажав и удерживая рычаг аварийной разблокировки по направлению вниз, откройте дверцу прибора. 5. Извлеките белье и закройте дверцу прибора. 6. Закройте заслонку. 17. ТЕХНИЧЕСКИЕ ДАННЫЕ Размеры Ширина/Высота/Глуби‐ на/Общая глубина 600 мм/ 850 мм/ 605 мм/ 639 мм Подкл...