Страница 26 - Добро пожаловать в Electrolux!; Мы рекомендуем использовать оригинальные запчасти.
СОДЕРЖАНИЕ 1. СВЕДЕНИЯ ПО ТЕХНИКЕ БЕЗОПАСНОСТИ...............................................272. УКАЗАНИЯ ПО БЕЗОПАСНОСТИ................................................................. 283. ОПИСАНИЕ ИЗДЕЛИЯ................................................................................... 304. ПА...
Страница 28 - УКАЗАНИЯ ПО БЕЗОПАСНОСТИ
• Соблюдайте максимально допустимую загрузку в 7 кг (см. Главу «Таблица программ»). • Рабочее давление воды (минимальное и максимальное) должно находиться в пределах 0,5 бар (0,05 МПа) и 8 бар (0,8 МПа). • Вентиляционные отверстия в днище (если они предусмотрены конструкцией) не должны перекрываться...
Страница 30 - Описание панели управления
2.5 Утилизация ВНИМАНИЕ!Существует опасностьтравмы или удушья. • Отключите прибор от электросети. • Отрежьте и утилизируйте кабель электропитания. • Удалите защелку дверцы, чтобы предотвратить риск ее запиранияпри попадании внутрь приборадетей и домашних животных. 3. ОПИСАНИЕ ИЗДЕЛИЯ 3.1 Обзор прибо...
Страница 33 - шелковых и; штор; Изделия из синтетических и смесовых
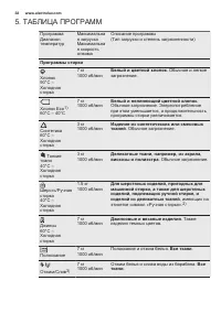
ПрограммаДиапазонтемператур Максимальная загрузкаМаксимальная скоростьотжима Описание программы(Тип загрузки и степень загрязненности) Дамское белье40°С –Холоднаястирка 1 кг800 об/мин Особая программа, предназначенная длястирки вещей из тканей, требующих оченьбережного обращения, например, женскогоб...
Страница 34 - ПОКАЗАТЕЛИ ПОТРЕБЛЕНИЯ
Программа Хлопок Eco ■ ■ ■ ■ ■ ■ Синтетика ■ ■ ■ ■ ■ ■ ■ ■ Тонкие ткани ■ ■ ■ ■ ■ ■ ■ Шерсть/Ручнаястирка ■ ■ ■ ■ ■ Джинсы ■ ■ ■ ■ ■ ■ Полоскание ■ ■ ■ ■ ■ Отжим/Слив 1) ■ ■ ■ Дамское белье ■ ■ ■ ■ ■ Шелк ■ ■ ■ Шторы ■ ■ ■ ■ ■ Одеяла ■ ■ Освежить ■ ■ ■ Быстро ■ ■ ■ 1) Задайте скорость отжима . Удост...
Страница 36 - Очень тихая; Менеджер времени
• Дверца остается заблокированной. Чтобы открыть дверцу, необходимослить воду. • На дисплее отображается индикатор . Для слива воды см раздел«По окончаниипрограммы». Очень тихая • Используйте эту функцию, чтобы пропустить все фазы отжима ивыполнить бесшумную стирку. • Для некоторых программ стирки н...
Страница 37 - дополнительное полоскание; не загорится/отключится; Звуковая сигнализация
Индикатор 1) 1) ■ ■ ■ 4) ■ ■ ■ 3) ■ 3) ■ ■ 3) 1) Если имеется в наличии . 2) Самая быстрая : для освежения белья . 3) Продолжительность программы по умолчанию . 4) Наиболее длительная : постепенное увеличение продолжительности программы уменьшает энергопотребление . Оптимизирование этапа нагрева бер...
Страница 38 - Добавление средства
9. ПЕРЕД ПЕРВЫМ ИСПОЛЬЗОВАНИЕМ 1. Залейте 2 литра воды в отсек моющего средства для этапастирки. При этом активируется система слива.2. Поместите небольшое количество моющего средства в отсек дляэтапа стирки. 3. Не загружая в прибор одежды, выберите и запустите программудля стирки изделий из хлопка ...
Страница 39 - Жидкое или порошковое; При использовании жидкого средства для стирки:; Включение прибора
10.4 Жидкое или порошковое средство для стирки. 1. 2. A 3. B 4. • Положение A для стирального порошка (заводская настройка). • Положение B для жидкого средства для стирки. При использовании жидкого средства для стирки: • Не используйте гелеобразные или густые жидкие средства для стирки. • Не превыша...
Страница 44 - Уплотнитель дверцы
• Выберите программу стирки хлопка с максимальной температурой снебольшим количеством моющегосредства. 12.4 Уплотнитель дверцы Регулярно проверяйте состояниеуплотнителя и удаляйте все предметыс его внутренней стороны. 12.5 Очистка дозатора моющего средства 1. 2. 3. 4. www.electrolux.com 44
Страница 47 - Меры против замерзания; ПОИСК И УСТРАНЕНИЕ НЕИСПРАВНОСТЕЙ
9. 1 2 10. 12.8 Экстренный слив В результате неисправности приборможет быть не в состоянии произвестислив воды.В этом случае выполните действия с(1) по (9), описанные в Главе «Очисткасливного фильтра». Принеобходимости очистите насос.После выполнения операцийэкстренного слива воды необходимоповторно...
Страница 48 - Возможные неисправности
• - Прибор не сливает воду. • - Дверца прибора открыта или не закрыта как следует.Пожалуйста, проверьте дверцу! • - Нестабильная работа электросети. Дождитесьстабилизации электросети. ВНИМАНИЕ!Перед выполнениемпроверки выключитеприбор. 13.2 Возможные неисправности Неисправность Возможное решение Про...
Страница 50 - ТЕХНИЧЕСКИЕ ДАННЫЕ; ОХРАНА ОКРУЖАЮЩЕЙ СРЕДЫ
Неисправность Возможное решение Перед стиркой используйте специальные средства дляудаления стойких пятен. Убедитесь в правильности выбранной температуры. Уменьшите объем загрузки. Не удается выбратькакой-либо режим. Убедитесь, что Вы нажимаете только на требуемуюсенсорную кнопку/кнопки. После провер...