Триммеры Bosch ART 26-18 LI 0.600.8A5.E00 - инструкция пользователя по применению, эксплуатации и установке на русском языке. Мы надеемся, она поможет вам решить возникшие у вас вопросы при эксплуатации техники.
Если остались вопросы, задайте их в комментариях после инструкции.
"Загружаем инструкцию", означает, что нужно подождать пока файл загрузится и можно будет его читать онлайн. Некоторые инструкции очень большие и время их появления зависит от вашей скорости интернета.

Български |
215
Bosch Power Tools
F 016 L81 308 | (21.9.15)
Включване
За Вашата сигурност
Внимание: Изключете градинския
електроинструмент и извадете акумулаторната
батерия, преди да извършвате настройки или да го
почиствате.
След изключване на акумулаторната тревокосачка
ножът продължава да се върти няколко секунди по
инерция. Преди да включвате повторно, изчакайте
въртенето на електродвигателя/ножа да спре
напълно.
Не включвайте електроинструмента
непосредствено след като сте го изключили.
Препоръчва се използването само на утвърдени от
Бош режещи елементи. При други режещи
елементи резултатът от рязането може да е
незадоволителен.
Зареждане на акумулаторната батерия
Не използвайте други зарядни устройства.
Вкл
ю
ченото в окомплектовката зарядно устройство е с
параметри, под
х
одя
щ
и за вградената в градинския Ви
електроинструмент литиево-йонна акумулаторна
батерия.
Внимавайте за напрежението на захранващата
мрежа!
Н
апрежението на за
х
ранва
щ
ата мрежа трябва
да съответства на данните, написани на табелката на
зарядното устройство.
З
арядни устройства,
обозначени с 230 V, могат да бъдат за
х
ранвани и с
220 V.
Акумулаторната батерия има температурен контрол,
който позволява зареждането само в диапазона между
0 ° C и 45 ° C. Така се увеличава дълготрайността на
акумулаторната батерия.
Упътване:
Акумулаторната батерия се доставя частично
заредена.
З
а да достигнете пълния капацитет на
акумулаторната батерия, преди първото й използване я
заредете докрай в зарядното устройство.
Литево-йонната акумулаторна батерия може да бъде
зареждана по всяко време, без това да съкра
щ
ава
дълготрайността й.
П
рекъсване на зареждането съ
щ
о не й
вреди.
Литиево-йонната акумулаторна батерия се предпазва от
дълбоко разреждане чрез системата «Electronic Cell
Protection (ECP)».
П
ри разредена акумулаторна батерия
градинският електроинструмент се изкл
ю
чва от
предпазен прекъсвач: градинският електроинструмент
спира и не може да бъде вкл
ю
чен.
След автоматичното изключване
не продължавайте да натискате
пусковия прекъсвач.
Възможно е да повредите
акумулаторната батерия.
Зареждане
П
роцесът на зареждане започва, когато
щ
епселът на
зарядното устройство бъде вкл
ю
чен в контакта и
акумулаторна батерия бъде поставена в гнездото .
Благодарение на интелигентността на процеса на
зареждане състоянието на акумулаторната батерия се
разпознава и тя се зарежда с оптималния ток за теку
щ
ите
си температура и напрежение.
Така животът на акумулаторната батерия се удължава, а,
при съ
х
раняване вър
х
у зарядното устройство, тя е винаги
напълно заредена.
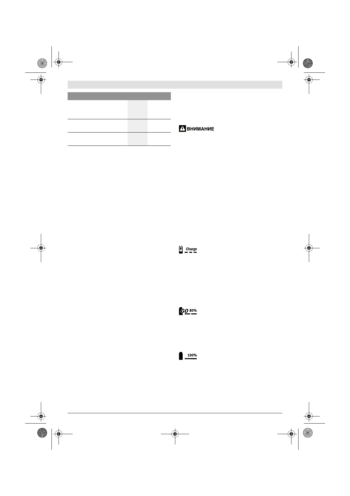
Значение на светлинните индикатори
Мигаща светлина (бързо) на зеления
светодиод за зареждане на акумулаторната
батерия
П
роцесът на бързо зареждане се
сигнализира чрез
бързо мигане
на
зеления
светодиод на акумулаторната батерия .
Упътване:
Бързо зареждане е възможно само ако
температурата на акумулаторната батерия е в границите
на допустимия интервал, вижте раздел «Те
х
нически
данни».
Мигаща светлина (бавно) на зеления
светодиод за зареждане на акумулаторната
батерия
Когато акумулаторната батерия се зареди на
80 %
,
зеленият
светодиод започва да мига
бавно.
Акумулаторната батерия може да бъде извадена и
ползвана веднага.
Непрекъсната светлина на зеления светодиод
за зареждане на акумулаторната батерия
Непрекъснато светещ зелен
светодиод за
зареждане на акумулаторната батерия
показва, че тя е напълно заредена.
Непрекъснато светене
на светодиода, когато няма
поставена акумулаторна батерия , указва, че
щ
епселът е
вкл
ю
чен в за
х
ранва
щ
ата мрежа и зарядното устройство е
готово за работа.
Указания за работа
Регулиране на работната
височина
10
285
П
оддържане, почистване и
съ
х
раняване
11
285
И
збор на допълнителни
приспособления
12
286
Дейност
Фигура
Страница
OBJ_BUCH-1981-004.book Page 215 Monday, September 21, 2015 8:23 AM