Pantera SLK-4i - Инструкция по эксплуатации

Pantera SLK-4i

Автосигнализация Pantera SLK-4i - инструкция пользователя по применению, эксплуатации и установке на русском языке. Мы надеемся, она поможет вам решить возникшие у вас вопросы при эксплуатации техники.

Если остались дополнительные вопросы — свяжитесь с нами через контактную форму.

1 Страница 1
2 Страница 2
3 Страница 3
4 Страница 4
5 Страница 5
6 Страница 6
7 Страница 7
8 Страница 8
9 Страница 9
10 Страница 10
11 Страница 11
12 Страница 12
13 Страница 13
14 Страница 14
15 Страница 15
16 Страница 16
Страница: / 16
Загрузка инструкции

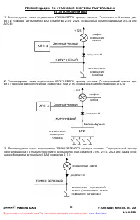
АВТОМОБИЛЬНАЯ ОХРАННАЯ СИСТЕМА

PANTERA SLK-4i

Руководство по установке

УСТАНОВКА ОСНОВНЫХ КОМПОНЕНТОВ СИСТЕМЫ

ОСНОВНОЙ БЛОК СИСТЕМЫ

Выберите место для установки основного блока системы в салоне (например, за или под приборной па-
нелью) и закрепите его при помощи шурупов. Центральный блок управления можно также закрепить при
помощи пластиковых перетяжек.

Не устанавливайте

 центральный блок управления в моторном отсеке, так как он не герметичен. Избе-

гайте устанавливать блок непосредственно на имеющиеся в автомобиле электронные блоки. Они могут

быть источником радиопомех, уменьшающих радиус действия передатчика или вызывающих перебои в

работе.

СИРЕНА

Выберите место для установки сирены в моторном отсеке, которое хорошо защищено от доступа из-под

днища автомобиля. Не размещайте сирену рядом с сильно нагревающимися узлами или движущимися

частями в моторном отсеке. Для предотвращения скопления влаги раструб сирены должен быть на-

правлен вниз.

Установите сирену в выбранном месте при помощи входящего в комплект кронштейна.

КОНЦЕВЫЕ ВЫКЛЮЧАТЕЛИ КАПОТА ИЛИ БАГАЖНИКА

В комплект системы входит концевой выключатель для обеспечения охраны капота автомобиля. Выклю-
чатель должен всегда устанавливаться на служащую массой металлическую поверхность автомобиля.
Важно выбрать такое место, где исключается скопление или протекание воды, избегайте мест стока вла-
ги на стенках крыльев капота или багажника. Выбирайте места, защищенные резиновыми прокладками,
когда капот закрыт.

Концевой выключатель может быть установлен с помощью прилагаемой скобы или в монтажном отвер-

стии диаметром 8 мм. Помните, что при правильной установке концевой выключатель должен иметь ход

как минимум 6 мм (1/4 дюйма) при закрывании капота.
Вы можете также установить дополнительный концевой выключатель для обеспечения охраны багажни-
ка или задней двери автомобиля.

СВЕТОДИОДНЫЙ ИНДИКАТОР (СИД)

В комплект входит красный светодиодный индикатор (СИД), который показывает состояние охранной
системы. Он должен устанавливаться на приборной панели и быть хорошо виден снаружи автомобиля,
но не должен отвлекать водителя. После выбора места установки проверьте возможность прокладки
проводов за панелью и убедитесь, что при сверлении отверстия не будут повреждены какие-либо ком-
поненты автомобиля.
Просверлите отверстие диаметром 7 мм и пропустите в него с лицевой стороны панели Красный и Си-
ний провода светодиода. Установите светодиод в просверленное отверстие.

ПЕРЕКЛЮЧАТЕЛЬ VALET

Выберите место установки кнопочного переключателя Valet, которое, с одной стороны, должно быть лег-
ко доступно для водителя автомобиля, а с другой стороны, не позволит угонщику быстро найти пере-
ключатель Valet и отключить систему. Переключатель может быть установлен, например, в нижней час-

ти приборной панели с помощью 2-сторонней липкой ленты

При любом методе крепления убедитесь в наличии свободного доступа к задней части переключателя

для подсоединения проводов при установке.

ДАТЧИК УДАРА

Выберите твердую поверхность на переборке между салоном и моторным отсеком внутри салона и ус-

тановите датчик при помощи двух прилагаемых винтов. Датчик также может быть легко установлен при

помощи перетяжек под панелью приборов или на рулевой колонке. При любом методе крепления дат-

чика убедитесь в наличии свободного доступа к датчику для его регулировки.

PANTERA SLK-4i 

© 2004 Saturn High-Tech, Inc. USA

МЕ-67

Подготовлено компанией АвтоСет. Автосигнализации и автоэлектроника.

 www.AutoSet.ru

"Загрузка инструкции" означает, что нужно подождать пока файл загрузится и можно будет его читать онлайн. Некоторые инструкции очень большие и время их появления зависит от вашей скорости интернета.

Характеристики

Другие модели - Автосигнализации Pantera

Все автосигнализации Pantera