Pantera CL-550 - Инструкция по эксплуатации

Pantera CL-550

Автосигнализация Pantera CL-550 - инструкция пользователя по применению, эксплуатации и установке на русском языке. Мы надеемся, она поможет вам решить возникшие у вас вопросы при эксплуатации техники.

Если остались дополнительные вопросы — свяжитесь с нами через контактную форму.

1 Страница 1
2 Страница 2
3 Страница 3
4 Страница 4
5 Страница 5
6 Страница 6
7 Страница 7
8 Страница 8
9 Страница 9
10 Страница 10
11 Страница 11
12 Страница 12
13 Страница 13
14 Страница 14
15 Страница 15
16 Страница 16
17 Страница 17
18 Страница 18
19 Страница 19
20 Страница 20
21 Страница 21
22 Страница 22
23 Страница 23
24 Страница 24
25 Страница 25
26 Страница 26
27 Страница 27
28 Страница 28
29 Страница 29
30 Страница 30
31 Страница 31
32 Страница 32
Страница: / 32
Загрузка инструкции

PANTERA CL-550

©

Saturn Marketing Ltd.

1

PANTERA CL-550

!

,

:

,

-

-

.

,

-

-

.

-

,

,

-

.

,

,

-

;

,

-

.

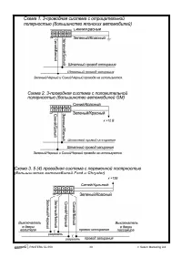
1.

,

,

(

,

).

2.

-

-

,

,

.

-

.

3.

(

)

щ

,

.

,

щ

щ

(

)

.

.

,

.

,

.

-

,

.

-

.

,

-

,

,

.

щ

щ

.

-

,

-

.

щ

.

"Загрузка инструкции" означает, что нужно подождать пока файл загрузится и можно будет его читать онлайн. Некоторые инструкции очень большие и время их появления зависит от вашей скорости интернета.

Характеристики

Другие модели - Автосигнализации Pantera

Все автосигнализации Pantera