Страница 2 - Ниже приведен список разделов данного руководства:; Оглавление; Меры безопасности; Перед началом работы с фотокамерой прочтите инструкции по
Содержание данного руководства Ниже приведен список разделов данного руководства: Справка Пользуйтесь справкой фотокамеры для помощи по выбранному элементу меню и другим вопросам. Дополнительные сведения см. на стр. 21. i Оглавление ➜ 0 x–xvii Этот раздел поможет найти информацию по названию функции...
Страница 3 - Комплектация; Карты памяти продаются
i Комплектация Убедитесь, что в комплект поставки фотокамеры входят все перечисленные ниже компоненты. Карты памяти продаются отдельно . • Гарантия• Руководство пользователя (данное руководство) • Справочное руководство • Руководство по установке программного обеспечения • Компакт-диск с программным...
Страница 4 - ii; Символы и обозначения; полужирным
ii Символы и обозначения Для упрощения поиска необходимой информации используются следующие символы и обозначения: Пункты меню, параметры и сообщения на мониторе фотокамеры отображаются полужирным шрифтом. A Сведения о товарных знаках Macintosh, Mac OS и QuickTime являются зарегистрированными товарн...
Страница 5 - iii; iv
iii Введение Основные операции Параметры съемки Фокусировка Режим спуска затвора Чувствительность ISO Экспозиция Баланс белого Коррекция изображения Съёмка со вспышкой Другие параметры съёмки Дополнительные сведения о просмотре снимков Подключения Сведения о параметрах меню Технические примечания X ...
Страница 6 - Данный указатель поможет найти ответы на любые вопросы.; Новые возможности; Вопросы и ответы
iv Данный указатель поможет найти ответы на любые вопросы. ❚❚ Новые возможности ❚❚ Настройка фотокамеры Вопросы и ответы Вопрос Ключевая фраза 0 Как получить снимки высокого качества в формате NEF (RAW)? NEF (RAW) 14 бит 70 Как использовать монитор в качестве видоискателя? Live View 47 Как снять вид...
Страница 7 - Меню и индикаторы
v ❚❚ Меню и индикаторы Как настроить время? Часовой пояс и дата 29, 302 Как настроить переход на зимнее и летнее время?Как изменять часовой пояс во время путешествий?Как настроить яркость монитора для отображения меню или просмотра снимков? Яркость ЖКИ 301 Как изменить задержку автоспуска? Автоспуск...
Страница 8 - Съемка
vi ❚❚ Съемка Как получить дополнительные сведения о батарее? Информ. о батарее 307 Как отключить сброс нумерации файлов при установке новой карты памяти? Посл. нумерации файлов 277 Как сбросить нумерацию файлов на 1?Как очистить фотокамеру или объектив? Чистка фотокамеры 357 Вопрос Ключевая фраза 0 ...
Страница 9 - vii; Просмотр снимков
vii ❚❚ Просмотр снимков Как вручную задать значения выдержки и диафрагмы? Режим экспозиции h (ручной) 111 Можно ли сделать снимки светлее или темнее? Поправка экспозиции 118 Как снимать с большой выдержкой? Длительные выдержки 114 Как автоматически варьировать экспозицию или мощность вспышки для сер...
Страница 10 - viii; Обработка снимков
viii ❚❚ Обработка снимков Как удалить ненужный снимок? Удаление отдельных снимков 220 Можно ли удалить несколько снимков одновременно? Удалить 221 Можно ли увеличить снимки? Увеличение при просмотре 218 Можно ли защитить снимки от случайного удаления? Защита 219 Можно ли скрыть выбранные снимки? Скр...
Страница 11 - ix; Просмотр и печать снимков с помощью других устройств
ix ❚❚ Просмотр и печать снимков с помощью других устройств ❚❚ Дополнительные принадлежности Вопрос Ключевая фраза 0 Можно ли просматривать снимки на телевизоре? Просмотр на телевизоре 239 Можно ли просмотреть снимки в высоком разрешении? HDMI 241 Как скопировать снимки на компьютер? Подключение к ко...
Страница 13 - xi; Запись и просмотр видеороликов
xi Компоновка кадров на мониторе (Режим Live View) 47 Компоновка кадров с помощью монитора ......................................... 48 Запись и просмотр видеороликов 57 Запись видеороликов ................................................................................... 58Просмотр видеороликов......
Страница 14 - xii; Чувствительность ISO
xii Чувствительность ISO 95 Выбор чувствительности вручную ..........................................................96Автоматическое управление чувствительностью ISO....................98 Экспозиция 101 Замер экспозиции ..................................................................................
Страница 15 - xiii; Съёмка со вспышкой; Двухкнопочный сброс:; Дополнительные сведения о просмотре снимков 203
xiii Съёмка со вспышкой 169 Встроенная вспышка ...................................................................................170Использование встроенной вспышки .................................................171Режимы вспышки ......................................................................
Страница 16 - xiv; Сведения о параметрах меню; Пользовательские настройки:
xiv Печать нескольких снимков ................................................................ 233Создание задания печати DPOF: Задание печати ...................... 237 Просмотр снимков на экране телевизора ........................................ 239 Устройства стандартной чёткости ..................
Страница 17 - xv
xv b: Замер/экспозиция ............................................................................... 270 b1: Шаг изменения чувст. ISO ......................................................... 270b2: Шаг EV контроля экспоз. ........................................................... 270b3: Попр. эк...
Страница 18 - xvi
xvi f6: Функция кн. предв. просм.......................................................... 296f7: Функция кнопки AE-L/AF-L......................................................... 296f8: Настр. дисков управления ......................................................... 297f9: Отп. кн. для исп. диска...
Страница 19 - xvii; Технические примечания
xvii Технические примечания 339 Совместимые объективы...........................................................................340Дополнительные вспышки .......................................................................347 Система креативного освещения (CLS) Nikon ................................
Страница 20 - xviii; ПРЕДУПРЕЖДЕНИЯ
xviii Меры безопасности Перед началом работы с данным устройством внимательно изучите следующие меры безопасности во избежание получения травм и повреждения изделия Nikon. Сохраните инструкции по технике безопасности в месте, доступном всем пользователям данного устройства для дальнейшего ознакомлен...
Страница 21 - xix
xix A Не пользуйтесь устройством в присутствии горючих газов Не работайте с электронным оборудованием и с фотокамерой в присутствии горючих газов: это может привести к взрыву или пожару. A Храните устройство в недоступном для детей месте Несоблюдение этого требования может привести к травме. A Не на...
Страница 22 - xx
xx A Соблюдайте необходимые меры предосторожности при работе с быстрым зарядным устройством • Не допускайте попадания воды на устройство. Несоблюдение этого требования может привести к возгоранию или поражению электрическим током. • Пыль на металлических частях сетевой вилки или вокруг них необходим...
Страница 23 - xxi; Уведомления
xxi Уведомления • Никакая часть руководств, включенных в комплект поставки изделия, не может быть воспроизведена, передана, переписана, сохранена в информационно-поисковой системе или переведена на любой язык, в любой форме, любыми средствами без предварительного письменного разрешения компании Niko...
Страница 24 - xxii
xxii Уведомление для потребителей в Европе Данный символ указывает на необходимость утилизации устройства отдельно от других отходов. Приведенные ниже инструкции предназначены только пользователям из европейских стран: • Данный продукт предназначен для утилизации в отдельных приемных пунктах. Не выб...
Страница 25 - xxiii
xxiii Уведомление о запрещении копирования или воспроизведения Необходимо помнить, что даже простое обладание материалом, скопированным или воспроизведенным цифровым способом с помощью сканера, цифровой фотокамеры или другого устройства, может преследоваться по закону. • Материалы, копирование или в...
Страница 26 - xxiv
xxiv A Перед съемкой важных событий Перед съемкой важных событий, например, свадьбы или перед тем, как взять фотокамеру в путешествие, сделайте пробный снимок, чтобы убедиться в правильности работы фотокамеры. Компания Nikon не несет ответственность за убытки или упущенную выгоду, возникшие в резуль...
Страница 27 - Введение
X 1 X Введение В данном разделе приведены сведения, с которыми необходимо ознакомиться перед использованием фотокамеры, включая названия её компонентов. Общие сведения ................................................................................. 2 Знакомство с фотокамерой ..........................
Страница 28 - Общие сведения
2 X Общие сведения Благодарим вас за приобретение цифровой зеркальной фотокамеры Nikon. Для получения наилучших результатов рекомендуется внимательно изучить все приведенные инструкции. Сохраните руководство в доступном месте, чтобы с ним могли ознакомиться все пользователи изделия. D Пользуйтесь то...
Страница 29 - Знакомство с фотокамерой; Корпус фотокамеры
3 X Знакомство с фотокамерой Ознакомьтесь с элементами управления фотокамерой и средствами отображения информации. При необходимости отметьте этот раздел закладкой и обращайтесь к нему во время чтения остальных разделов руководства. Корпус фотокамеры 1 2 3 4 5 8 6 7 9 10 11 12 13 14 15 1 Диск режима...
Страница 34 - Панель управления
8 X Панель управления 2 1 3 4 5 6 7 8 9 11 10 12 13 14 15 1 Индикатор цветовой температуры............. 141 2 Выдержка ..............................................108, 112Величина поправки экспозиции ................. 118Величина поправки мощности вспышки ... 177Чувствительность ISO .................
Страница 38 - Отображение информации; При нажатии кнопки
12 X Отображение информации При нажатии кнопки R на ЖК-мониторе отображается съемочная информация, включая выдержку, диафрагму, количество оставшихся кадров, емкость буфера и режим выбора зоны фокусировки. A Выключение монитора Чтобы убрать съемочную информацию с монитора, нажмите кнопку R еще два р...
Страница 41 - Изменение настроек информационного экрана; на экране
15 X ❚❚ Изменение настроек информационного экрана Чтобы изменить настройки перечисленных ниже элементов, нажмите кнопку R на экране съемочной информации. Выделите элементы с помощью мультиселектора и нажмите кнопку J , чтобы перейти в меню для выделенного элемента. Кнопка R 6 7 8 9 10 3 4 5 1 2 1 Ба...
Страница 43 - Основные операции
s 17 s Основные операции В данном разделе описываются использование меню фотокамеры, подготовка фотокамеры к работе, а также фотосъемка и просмотр сделанных снимков. Меню фотокамеры .......................................................................... 18 Использование меню фотокамеры .............
Страница 44 - Меню фотокамеры
18 s Меню фотокамеры К большинству параметров съемки, просмотра и настройки можно получить доступ из меню фотокамеры. Чтобы войти в меню, нажмите кнопку G . Кнопка G Выберите из следующих меню: • D : Просмотр ( 0 244) • B : Настройка ( 0 300) • C : Съемка ( 0 253) • N : Обработка ( 0 315) • A : Поль...
Страница 45 - Использование меню фотокамеры; Элементы управления меню; Для перемещения по меню выполните описанные ниже действия.
19 s Использование меню фотокамеры ❚❚ Элементы управления меню Для перемещения по пунктам меню фотокамеры используются мультиселектор и кнопка J . ❚❚ Перемещение по меню Для перемещения по меню выполните описанные ниже действия. 1 Перейдите в меню. Чтобы открыть меню, нажмите кнопку G . 2 Выделите с...
Страница 47 - Выберите выделенный элемент.
21 s 8 Выберите выделенный элемент. Чтобы выбрать выделенный элемент, нажмите кнопку J . Для выхода без выбора элемента нажмите кнопку G . Обратите внимание на следующее:• Пункты меню, которые отображаются серым цветом, в данный момент недоступны. • При нажатии кнопки 2 или центральной части мультис...
Страница 48 - Первые шаги; Зарядите батарею; Подключите зарядное устройство.; Снимите защитную крышку с батареи.
22 s Первые шаги Зарядите батарею Питание фотокамеры D300S осуществляется от литий-ионной аккумуляторной батареи EN-EL3e (входит в комплект поставки). Для максимальной продолжительности съемки перед использованием зарядите батарею с помощью быстрого зарядного устройства MH-18a, входящего в комплект ...
Страница 50 - Установка батареи; Выключите фотокамеру.
24 s Установка батареи 1 Выключите фотокамеру. 2 Откройте крышку батарейного отсека. Разблокируйте ( q ) и откройте ( w ) крышку батарейного отсека. 3 Вставьте батарею. Вставьте батарею, как показано на рисунке справа. 4 Закройте крышку батарейного отсека. D Установка и извлечение батарей Всегда вык...
Страница 52 - Присоедините объектив
26 s Присоедините объектив Следите, чтобы после снятия объектива внутрь фотокамеры не попала пыль. Объектив AF-S VR Zoom-Nikkor 18-200мм f/3,5-5,6G IF-ED используется в данном руководстве для иллюстрации. 1 Выключите фотокамеру. 2 Снимите заднюю крышку объектива и защитную крышку фотокамеры. Шкала ф...
Страница 53 - Присоедините объектив.; или; Снятие объектива; кнопку отсоединения (
27 s 3 Присоедините объектив. Совместив установочные метки на объективе и корпусе фотокамеры, установите объектив в байонет ( q ). Следя за тем, чтобы не нажать кнопку отсоединения объектива, поверните его против часовой стрелки до фиксации ( w ). Если объектив оснащен переключателем A-M или M/A-M ,...
Страница 54 - Основные настройки; записанные на фотографиях, будут неверными.; Выберите; Нажмите кнопку; Language
28 s Основные настройки Настройки языка в меню режима настройки отображаются автоматически при первом входе в меню. Выберите язык и настройте дату и время. Следует учитывать, что если дата и время не установлены, на мониторе будет мигать символ B , и время и дата, записанные на фотографиях, будут не...
Страница 55 - Часовой пояс и дата; Выберите часовой пояс.; Часовой пояс; Настройте дату и время.; Дата и время
29 s 4 Выберите Часовой пояс и дата . Выберите Часовой пояс и дата и нажмите 2 . 5 Выберите часовой пояс. Выберите Часовой пояс и нажмите 2 . Нажмите кнопку 4 или 2 , чтобы выделить часовой пояс (в поле UTC отображается отличие выбранного часового пояса от времени UTC (по Гринвичу, в часах), и нажми...
Страница 56 - Формат даты; нажмите; Вернитесь в режим съемки.
30 s 8 Задайте формат даты. Выберите Формат даты и нажмите 2 . Нажмите кнопку 1 или 3 для выбора порядка отображения года, месяца и дня и нажмите кнопку J . 9 Вернитесь в режим съемки. Нажмите спусковую кнопку затвора наполовину, чтобы выйти в режим съемки. A Батарея для часов Часы фотокамеры питают...
Страница 57 - Вставьте карту памяти; ecure; Карты памяти CompactFlash
31 s Вставьте карту памяти Фотокамера имеет два гнезда для карт памяти, одно для карт CompactFlash Тип I, (карты Типа II и микронакопители на жестких дисках использовать нельзя), другой для карт памяти S ecure D igital (SD) (карты памяти продаются отдельно; 0 393). Следующий раздел посвящен установк...
Страница 58 - Карты памяти SD
32 s Карты памяти SD : Удерживая карту, как показано на рисунке, вставьте ее в гнездо для карт SD до щелчка. Зелёный индикатор доступа мигнет. Если карта памяти вставляется впервые после использования или форматирования на другом устройстве, отформатируйте карту, как описано на странице 34. 4 Закрой...
Страница 59 - Извлечение карт памяти; : Откройте крышку гнезда
33 s ❚❚ Извлечение карт памяти 1 Выключите фотокамеру. Убедитесь, что индикатор доступа не светится и фотокамера выключена. 2 Извлеките карту памяти. Карты памяти CompactFlash : Откройте крышку гнезда карты памяти и нажмите кнопку извлечения ( q ) для частичного извлечения карты ( w ). После этого к...
Страница 60 - Форматирование карты памяти; . Если установлены две; Чтобы отформатировать карту памяти, нажмите кнопки
34 s Форматирование карты памяти Перед первым использованием, а также после использования или форматирования на других устройствах, карту памяти необходимо отформатировать. 1 Включите фотокамеру. 2 Нажмите кнопку Q . Удерживайте одновременно кнопки Q ( I и O ), пока на экранах выдержки на панели упр...
Страница 62 - Настройте видоискатель.
36 s Настройка резкости видоискателя Видоискатель оснащен регулятором диоптрийной настройки, который позволяет приспособить фотокамеру к индивидуальным особенностям зрения. Перед съемкой убедитесь, что изображение в видоискателе сфокусировано. 1 Включите фотокамеру. Снимите крышку объектива и включи...
Страница 63 - Съемка и просмотр снимков; Включение фотокамеры; Проверьте уровень заряда батарей.
37 s Съемка и просмотр снимков Включение фотокамеры Перед началом съемки включите фотокамеру и проверьте уровень заряда батарей и количество оставшихся кадров, как описано ниже. 1 Включите фотокамеру. Включите фотокамеру. Включится панель управления, и засветится экран видоискателя. 2 Проверьте уров...
Страница 64 - Проверьте количество оставшихся кадров.; выдержки — мигающий символ
38 s 3 Проверьте количество оставшихся кадров. Счетчик кадров на панели управления и в видоискателе показывает число снимков, которые можно сделать при текущих настройках (если установлены две карты памяти, на экране отображается доступное место на карте в основном гнезде фотокамеры; 0 72). Когда эт...
Страница 66 - Настройка фотокамеры; Выберите режим экспозиции
40 s Настройка фотокамеры В разделе основных операций описаны основные действия при съемке. 1 Выберите режим экспозиции e . Нажмите кнопку I и поверните главный диск управления для выбора режима экспозиции e . В большинстве случаев фотокамера автоматически подбирает значения выдержки и диафрагмы для...
Страница 67 - Проверьте настройки фотокамеры.
41 s 4 Выберите режим покадровой автофокусировки. Поверните переключатель режимов фокусировки до фиксации в положении S (покадровая следящая автофокусировка). Это позволяет фотокамере автоматически фокусироваться на объекте в выбранной точке фокусировки при нажатии спусковой кнопки затвора наполовин...
Страница 68 - Подготовьте фотокамеру к работе
42 s Подготовьте фотокамеру к работе Во время компоновки кадра в видоискателе правой рукой обхватите специальный выступ на фотокамере, а левой рукой поддерживайте корпус или объектив снизу. Для большей устойчивости и сохранения равновесия слегка прижмите локти к телу и поставьте одну ногу на полшага...
Страница 69 - Фокусировка и съемка; вспомогательная подсветка AF, облегчающая фокусировку.
43 s Фокусировка и съемка 1 Для фокусировки нажмите спусковую кнопку затвора наполовину ( 0 44). По умолчанию фотокамера фокусируется на объекте в центральной точке фокусировки. Скомпонуйте снимок в видоискателе, расположив объект в центральной точке фокусировки, и нажмите спусковую кнопку затвора н...
Страница 72 - Удаление ненужных снимков; . Обратите внимание, что восстановить удаленные снимки
46 s Удаление ненужных снимков Чтобы удалить снимок, который отображается на мониторе, нажмите кнопку O . Обратите внимание, что восстановить удаленные снимки нельзя. 1 Откройте снимок. Откройте снимок, который требуется удалить, как описано в разделе «Просмотр снимков» на предыдущей странице. 2 Уда...
Страница 74 - Для компоновки кадров на мониторе нажмите кнопку; фотокамера закреплена на штативе (; Ручной; ): Данный режим рекомендуется использовать при съемке
48 x Компоновка кадров с помощью монитора Для компоновки кадров на мониторе нажмите кнопку a . Доступны следующие параметры:• Штатив ( h ): Данный режим рекомендуется использовать, когда фотокамера закреплена на штативе ( 0 49). Можно увеличить масштаб изображения, отображаемого на мониторе, когда т...
Страница 75 - меню; Режим Live view; выделите
49 x Режим «Штатив» ( h ) 1 Скомпонуйте кадр в видоискателе. Когда фотокамера установлена на штативе или ровной, устойчивой поверхности, скомпонуйте кадр в видоискателе. 2 Выберите Штатив при использовании опции Режим Live view . Чтобы открыть меню, нажмите кнопку G . В меню Режим Live view выделите...
Страница 76 - Выполните фокусировку.; Автофокусировка; Ручная фокусировка
50 x 4 Выполните фокусировку. Автофокусировка (режим фокусировки S или C ): в режиме съемки со штативом точку фокусировки, выбранную с помощью модуля автофокусировки с определением контраста, можно переместить в любую точку кадра с помощью мультиселектора. Чтобы выполнить фокусировку с помощью модул...
Страница 77 - Закончите работу в режиме Live View.
51 x 5 Сделайте снимок. Чтобы сделать снимок, нажмите спусковую кнопку затвора до конца. Монитор выключается во время съемки. 6 Закончите работу в режиме Live View. Нажмите кнопку a , чтобы завершить работу в режиме live view. D Фокусировка с помощью модуля автофокусировки с определением контраста Д...
Страница 78 - Выделите; в меню
52 x Ручной режим ( g ) 1 Выберите Ручной при использовании опции Режим Live view . Чтобы открыть меню, нажмите кнопку G . Выделите Ручной в меню Режим Live view и нажмите J . 2 Нажмите кнопку a . Зеркало поднимется, и сцена, видимая через объектив, отобразится на мониторе фотокамеры вместо видоиска...
Страница 84 - Запись видеороликов; цветовое пространство (; : Фотокамера автоматически регулирует выдержку и
58 y Запись видеороликов В режиме live view запись видеороликов производится на скорости 24 к/с. Перед записью выберите режим управления снимками ( 0 154) и цветовое пространство ( 0 166). 1 Выберите режим live view. Чтобы открыть меню, нажмите кнопку G . В меню Режим Live view выделите нужную коман...
Страница 85 - изменить с шагом ±3 EV с помощью поправки экспозиции (
59 y 3 Выполните фокусировку. Перед съемкой скомпонуйте исходный кадр и нажмите B ( Штатив ) или нажмите спусковую кнопку затвора наполовину ( Ручной ), чтобы сфокусироваться на объекте. Если фотокамера работает в режиме удержания в руках, то после запуска записи автофокусировка будет отключена. 4 Н...
Страница 88 - Настройки видео
62 y ❚❚ Настройки видео Выполните настройки видео перед записью. 1 Выберите Настройки видео . Чтобы открыть меню, нажмите кнопку G . Выделите параметр Настройки видео в меню режима съемки и нажмите 2 . 2 Выберите параметры видео. Чтобы выбрать размер кадра, выделите Качество и нажмите 2 . Выделите о...
Страница 89 - Просмотр видеороликов; 04). Нажмите центральную кнопку мультиселектора
63 y Просмотр видеороликов В режиме полнокадрового просмотра видеоролики обозначаются символом 1 ( 0 204). Нажмите центральную кнопку мультиселектора для начала просмотра. Можно выполнить следующие действия: Действие Элемент управления Описание Пауза 3 / J Пауза просмотра. Просмотр Возобновить просм...
Страница 90 - Редактирование видеороликов
64 y Редактирование видеороликов Уберите нежелательный отснятый материал, чтобы создать редактированные копии видеороликов. 1 Откройте список параметров обработки. Откройте видеоролик в режиме полнокадрового просмотра J , чтобы получить доступ к параметрам обработки. 2 Выберите Редактировать видео ....
Страница 91 - Да; и нажмите кнопку
65 y 5 Сохраните копию. Выберите Да и нажмите кнопку J , чтобы сохранить отредактированную копию. При необходимости можно редактировать копию, как описано выше, чтобы удалить лишние фрагменты. Отредактированные видеоролики в режиме полнокадрового просмотра отмечаются символом 9 . D Редактирование ви...
Страница 93 - Параметры съемки
d 67 d Параметры съемки В данном разделе описывается выбор качества и размера изображения. Качество изображения................................................................... 68 Размер изображения ...................................................................... 71 Использование двух карт п...
Страница 94 - Качество изображения
68 d Качество изображения Фотокамера D300S поддерживает следующие параметры качества изображения. Сведения о количестве снимков, которое можно сохранить на карту памяти при различных значениях размера и качества изображения см. на стр. 394. Параметр Тип файла Описание NEF (RAW) NEF Необработанные да...
Страница 95 - и поворотом
69 d Качество изображения задается нажатием кнопки QUAL и поворотом главного диска управления до появления на панели управления нужного значения. A NEF (RAW) После передачи на компьютер снимки формата NEF (RAW) можно просматривать только с помощью программного обеспечения ViewNX (входит в комплект п...
Страница 96 - Сжатие JPEG; Выберите тип сжатия для изображения в формате JPEG.
70 d В меню режима съемки доступны следующие параметры. Чтобы открыть меню, нажмите кнопку G , выделите нужный параметр и нажмите кнопку 2 . ❚❚ Сжатие JPEG Выберите тип сжатия для изображения в формате JPEG. ❚❚ Запись изображения NEF (RAW) > Тип Выберите тип сжатия для снимков в формате NEF (RAW)...
Страница 97 - Размер изображения; и поворачивая
71 d Размер изображения Размер изображения измеряется в пикселях. Выберите один из следующих вариантов: * Размер печати в дюймах соответствует отношению размера изображения в пикселях к разрешению принтера вточках на дюйм (dpi; 1дюйм=приблизительно 2,54см). Задать размер изображения можно, нажав кно...
Страница 99 - Фокусировка; – Управление фокусировкой фотокамеры
N 73 N Фокусировка – Управление фокусировкой фотокамеры В данном разделе приведены сведения о функциях, управляющих фокусировкой фотокамеры. Режим фокусировки ....................................................................... 74 Режим зоны АФ .......................................................
Страница 100 - Режим фокусировки; автоматических
74 N Режим фокусировки Режим фокусировки выбирается переключателем режимов фокусировки на передней панели фотокамеры. Предусмотрены два автоматических режима фокусировки (АФ), когда фотокамера автоматически фокусируется при нажатии спусковой кнопки затвора наполовину, и один ручной режим, в котором ...
Страница 102 - Режим зоны АФ
76 N Режим зоны АФ Режим выбора зоны фокусировки определяет способ выбора точки фокусировки в автоматическом режиме ( 0 74). Для выбора режима зоны фокусировки поверните переключатель режима выбора зоны фокусировки. Доступны следующие параметры: Режим Описание K АФ по одной точке Точка фокусировки в...
Страница 104 - Выбор точки фокусировки
78 N Выбор точки фокусировки Фотокамера D300S предлагает на выбор 51 точку фокусировки, которые в совокупности покрывают широкую область кадра. Точка фокусировки выбирается либо вручную, позволяя фокусироваться на объектах, размещенных практически в любой части кадра (АФ по одной точке и АФ с динами...
Страница 106 - Блокировка фокуса; Покадровая автофокусировка
80 N Блокировка фокуса Блокировка фокуса применяется для изменения композиции после фокусировки, что позволяет сфокусироваться на объекте, который в конечной композиции будет вне точки фокусировки. Кроме того, блокировка фокуса может применяться при невозможности применения системы автофокусировки (...
Страница 107 - Непрерывная следящая АФ; (в видоискателе отображается символ
81 N Непрерывная следящая АФ Чтобы одновременно заблокировать фокус и экспозицию, нажмите кнопку AE-L/ AF-L (в видоискателе отображается символ AE-L, см. стр. 116). Фокус и экспозиция остаются заблокированными, пока нажата кнопка AE-L/AF-L , даже если убрать палец со спусковой кнопки затвора. 3 Изме...
Страница 108 - Объект содержит множество мелких элементов
82 N Получение хороших результатов съемки при автофокусировке Автоматическая фокусировка работает некорректно при перечисленных ниже условиях. Если фотокамера не может выполнить фокусировку, спусковая кнопка затвора может быть заблокирована. Возможно, будет отображаться индикатор фокусировки ( ● ), ...
Страница 109 - : установите переключатель режима фокусировки; : установите переключатель режимов
83 N Ручная фокусировка Ручная фокусировка предназначена для использования с объективами, не поддерживающими автофокусировку (объективы, не входящие в серию AF NIKKOR), или при неудовлетворительных результатах работы автофокусировки ( 0 82). • Объективы AF-S : установите переключатель режима фокусир...
Страница 110 - Электронный дальномер
84 N Электронный дальномер Для объективов с максимальной диафрагмой f/5,6 или c большей светосилой качество фокусировки на объекте в выбранной точке фокусировки можно проверить по индикатору фокусировки в видоискателе (доступна любая из 51 точки фокусировки). Поместив объект в выбранную точку фокуси...
Страница 111 - Режим спуска затвора; – Покадровый, непрерывный, тихий затвор, с автоспуском или с
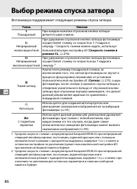
k 85 k Режим спуска затвора – Покадровый, непрерывный, тихий затвор, с автоспуском или с поднятым зеркалом Режим спуска затвора определяет, каким образом фотокамера будет осуществлять съемку: по одному кадру (с уменьшением или без уменьшения шума), в непрерывной последовательности, с задержкой спуск...
Страница 112 - Выбор режима спуска затвора; Фотокамера поддерживает следующие режимы спуска затвора.
86 k Выбор режима спуска затвора Фотокамера поддерживает следующие режимы спуска затвора. Режим Описание S Покадровый При каждом нажатии спусковой кнопки затвора делается один снимок. C L Непрерывный низкоскоростной При удержании спусковой кнопки затвора фотокамера осуществляет съемку со скоростью 1...
Страница 114 - Непрерывный режим; Чтобы во время съемки воспользоваться режимом; Выберите режим; Скорость съемки в реж. CL; 76) в непрерывном низкоскоростном режиме.
88 k Непрерывный режим Чтобы во время съемки воспользоваться режимом C H (непрерывный высокоскоростной) или режимом C L (непрерывный низкоскоростной), выполните следующие действия. 1 Выберите режим C H или C L . Нажмите фиксатор диска режима спуска затвора и поверните диск в положение C H или C L . ...
Страница 117 - Режим автоспуска
91 k Режим автоспуска Автоспуск можно использовать для уменьшения вибраций фотокамеры во время съемки и для создания автопортретов. Чтобы воспользоваться автоспуском, рекомендуется установить фотокамеру на штатив или поместить ее на ровную устойчивую поверхность и выполнить следующие действия: 1 Выб...
Страница 119 - Режим с поднятым зеркалом
93 k Режим с поднятым зеркалом Данный режим рекомендуется использовать для предотвращения смазывания изображения, вызванного непроизвольным смещением фотокамеры при подъеме зеркала. Рекомендуется использовать штатив. 1 Выберите режим съемки с поднятым зеркалом. Нажмите фиксатор диска режима спуска з...
Страница 121 - – Восприимчивость к свету
S 95 S Чувствительность ISO – Восприимчивость к свету «Чувствительность в единицах ISO» - цифровой эквивалент чувствительности фотопленки. Чем выше чувствительность, тем меньше света требуется для экспозиции, что дает возможность использовать более короткую выдержку или меньшее значение диафрагмы. В...
Страница 122 - EV. В особых случаях; ISO
96 S Выбор чувствительности вручную Чувствительность может быть установлена в диапазоне от 200 до 3200 единиц ISO с шагом, эквивалентным 1 / 3 EV. В особых случаях возможно использование установок на 0,3 – 1 EV меньше 200 единиц ISO и на 0,3 – 1 EV больше 3200 единиц ISO. Для настройки чувствительно...
Страница 125 - будет использовано значение параметра; ть; чувствительность будет; Максимальная чувст-ть; . После окончания настройки
99 S будет использовано значение параметра Максимальная чувст- ть ). В режимах экспозиции e и g чувствительность будет изменяться только в том случае, если значение выдержки, равное значению параметра Макс. выдержка ( 1 / 4 000 –1 s), приводит к недоэкспонированию. Более длинная выдержка может испол...
Страница 127 - Экспозиция; – Управление установкой экспозиции фотокамерой
V 101 Z Экспозиция – Управление установкой экспозиции фотокамерой В этом разделе описываются функции, предназначенные для управления экспозицией, такие как замер экспозиции, режим экспозиции, блокировка экспозиции, поправка экспозиции и брекетинг. Замер экспозиции.......................................
Страница 128 - Замер экспозиции
102 Z Замер экспозиции Режим замера определяет способ установки экспозиции фотокамерой. Доступны следующие параметры: Метод Описание a 3D цветной матричный замер II Рекомендуется для использования в большинстве случаев. Фотокамера измеряет экспозицию для значительной части кадра и устанавливает её н...
Страница 131 - и вращайте главный диск
105 Z Чтобы выбрать режим экспозиции, нажмите кнопку I и вращайте главный диск управления, пока на панели управления или в видоискателе не будет отображен нужный режим. A Предварительный просмотр глубины резкости Чтобы оценить эффект выбранного значения диафрагмы, нажмите и удерживайте кнопку просмо...
Страница 138 - Выберите диафрагму и выдержку.; » или варьировать от 30 сек и; Диафрагма
112 Z 2 Выберите диафрагму и выдержку. Когда система экспозамера включена поверните главный диск управления, чтобы выбрать выдержку, и вспомогательный диск управления, чтобы установить диафрагму. Выдержка может быть равна « p » или варьировать от 30 сек и 1 / 8 000 сек, или же затвор можно оставить ...
Страница 140 - Подготовьте фотокамеру к работе.
114 Z Длительные выдержки При выборе выдержки A затвор остается открытым, пока нажата спусковая кнопка затвора. Используется для создания снимков движущихся огней, звезд, ночных пейзажей или фейерверков с длительной выдержкой. Для предотвращения смазывания рекомендуется использовать штатив и дополни...
Страница 141 - » на; Нажмите спусковую кнопку затвора до конца.
115 Z 3 Выберите выдержку. Когда активна система экспозамера, поворачивайте главный диск управления до появления символа « A » на индикаторах выдержки. Индикаторы экспозиции не отображаются когда выбран режим « A ». 4 Нажмите спусковую кнопку затвора до конца. Нажмите спусковую кнопку затвора на фот...
Страница 142 - Заблокируйте экспозицию.
116 Z Блокировка экспозиции (AE) Функция блокировки экспозиции предназначена для изменения компоновки кадра после замера экспозиции. 1 Выберите центрально-взвешенный или точечный метод замера ( 0 102). При использовании матричного замера блокировка экспозиции не даёт желаемых результатов. При исполь...
Страница 143 - Не отпуская кнопку
117 Z 3 Измените компоновку кадра. Не отпуская кнопку AE-L/AF-L , измените композицию кадра и сделайте снимок. A Область замера При точечном замере экспозиция блокируется на значении, замеренном в 3 миллиметровой окружности, находящейся по центру выбранной фокусной точки. При центрально-взвешенном з...
Страница 144 - Поправка экспозиции
118 Z Поправка экспозиции Поправка экспозиции используется для выбора значения экспозиции, отличного от предлагаемого фотокамерой; её использование позволяет сделать снимки темнее или светлее. В режиме экспозиции h будет изменяться только информация, отображаемая на электронном индикаторе экспозиции...
Страница 145 - отпустите кнопку
119 Z Поправка экспозиции может быть задана от –5 EV (недоэкспонирование) до +5 EV (переэкспонирование) с шагом 1 / 3 EV. В общем случае следует выбирать положительные значения для увеличения яркости снимка и отрицательные для её уменьшения. При значениях, отличных от ±0,0 в центре индикаторов экспо...
Страница 146 - Брекетинг; ктивный; Брекетинг экспозиции и вспышки
120 Z Брекетинг Брекетинг автоматически слегка изменяет экспозицию, мощность вспышки, А ктивный D - L ighting или баланс белого каждого снимка выполняя брекетинг текущего значения. Используется в тех случаях, когда трудно подобрать оптимальные параметры экспозиции, активного D-Lighting или баланса б...
Страница 147 - Выберите число снимков.; и вращайте главный диск управления.
121 Z 2 Выберите число снимков. Для выбора числа снимков в последовательности брекетинга нажмите кнопку Fn и вращайте главный диск управления. Количество снимков отображается на панели управления. При ненулевых значениях на панели управления отображается символ M и индикатор брекетинга, а в видоиска...
Страница 148 - Выберите шаг экспозиции.; Для установки шага экспозиции нажмите кнопку; и вращайте
122 Z 3 Выберите шаг экспозиции. Для установки шага экспозиции нажмите кнопку Fn и вращайте вспомогательный диск управления. При значениях по умолчанию можно выбрать следующие значения шага: 1 / 3 , 2 / 3 и 1 EV. Программы брекетинга с шагом 1 / 3 перечислены ниже. Индикация на панели управления Кол...
Страница 150 - Отмена брекетинга; Для отмены брекетинга нажмите кнопку
124 Z ❚❚ Отмена брекетинга Для отмены брекетинга нажмите кнопку Fn и вращайте главный диск управления, пока количество снимков в последовательности брекетинга не станет равным нулю ( ), а символ M перестанет отображаться на панели управления. При следующей активации брекетинга будет восстановлена по...
Страница 151 - Брекетинг баланса белого; Выберите брекетинг баланса белого.; Установка авт. брекетинга
125 Z ❚❚ Брекетинг баланса белого Фотокамера создает несколько копий каждой фотографии с различным уровнем баланса белого. Более подробную информацию о балансе белого смотрите на стр. 133. 1 Выберите брекетинг баланса белого. Для пользовательской настройки e5 Установка авт. брекетинга выберите значе...
Страница 152 - Выберите шаг баланса белого.
126 Z 3 Выберите шаг баланса белого. Для выбора значения изменения баланса белого нажмите кнопку Fn и вращайте вспомогательный диск управления. Каждый шаг приращения равен примерно 5 майред. Доступны следующие шаги: 1 (5 майред), 2 (10 майред) или 3 (15 майред). Более высокие значения B соответствую...
Страница 155 - Брекетинг Активного D-Lighting
129 Z ❚❚ Брекетинг Активного D-Lighting Фотокамера изменяет Активный D-Lighting по серии экспозиций. Для получения более подробной информации об активном D-Lighting см. стр. 164. 1 Выберите Брекетинг Активного D-Lighting. Для пользовательской настройки e5 Установка авт. брекетинга выберите значение ...
Страница 156 - Для выбора активного D-Lighting нажмите кнопку
130 Z 3 Выберите Активный D-Lighting. Для выбора активного D-Lighting нажмите кнопку Fn и вращайте вспомогательный диск управления. Активный D-Lighting отображается на панели управления. Индикация на панели управления Активный D-Lighting Y Авто R Умеренный Q Нормальный P Усиленный Z Сверхусиленный К...
Страница 158 - Для выхода из режима брекетинга нажмите кнопку
132 Z ❚❚ Отмена брекетинга Для выхода из режима брекетинга нажмите кнопку Fn и вращайте главный диск управления, пока количество кадров брекетинга не обнулится. При следующей активации брекетинга будет восстановлена последняя использовавшаяся программа. Брекетинг также можно отменить при помощи двух...
Страница 159 - Баланс белого; – Обеспечение естественной цветопередачи
r 133 r Баланс белого – Обеспечение естественной цветопередачи Цвет света, отраженного от объекта, зависит от цветовой температуры источника освещения. Человеческий мозг может адаптироваться к изменению условий освещения, поэтому человек воспринимает белый цвет независимо от того, где расположены бе...
Страница 160 - Параметры баланса белого
134 r Параметры баланса белого Для получения на снимке естественных цветов установите перед съёмкой значение баланса белого, соответствующее источнику освещения. Доступны следующие параметры: Параметр Цветовая температура * Описание v Авто 3 500– 8 000 K Баланс белого настраивается автоматически. Дл...
Страница 161 - Для выбора баланса белого можно нажать кнопку; WB; и поворачивать
135 r Для большинства источников освещения рекомендуется использовать автоматическую настройку баланса белого. Если с помощью автоматической настройки баланса белого не удается достичь желаемого результата, выберите один из перечисленных выше параметров или используйте предустановку баланса белого. ...
Страница 163 - Меню «Баланс белого»
137 r Тонкая настройка баланса белого Можно выполнить тонкую настройку баланса белого для различных источников освещения или намеренно внести в изображение цветовые оттенки. Для выполнения тонкой настройки баланса белого используйте параметр Баланс белого в меню режима съемки или нажмите кнопку WB и...
Страница 164 - ветовой
138 r 2 Выполните тонкую настройку баланса белого. Для тонкой настройки баланса белого используйте мультиселектор. Для тонкой настройки баланса белого используйте оси желтый (A)–синий (B) и зеленый (G)–фиолетовый (M). Горизонтальная (янтарный-синий) ось соответствует цветовой температуре, каждый шаг...
Страница 165 - на цветовую температуру. Величина сдвига цветовой
139 r A Тонкая настройка баланса белого Цвета на осях тонкой настройки являются относительными, а не абсолютными. Например, если для параметра баланса белого выбрано «теплое» значение, например, J (Лампы накаливания), перемещение курсора в область B (синего) приведет к тому, что снимки станут немног...
Страница 166 - Кнопка WB; При значениях, отличных от; Ручная; можно использовать для тонкой настройки; и поворачивайте
140 r ❚❚ Кнопка WB При значениях, отличных от K ( Выбор цвет. темп. ) и L ( Ручная настройка ) кнопку WB можно использовать для тонкой настройки баланса белого по оси «желтый (A)–синий (B)» ( 0 138; для тонкой настройки баланса белого, если выбрано значение K или L , используйте меню режима съемки, ...
Страница 167 - Выбор цветовой температуры; Если для баланса белого выбрана опция
141 r Выбор цветовой температуры Если для баланса белого выбрана опция K ( Выбор цвет. темп. ) цветовая температура может быть выбрана нажатием кнопки WB и поворотом вспомогательного диска управления. Значение цветовой температуры отображается на панели управления: Панель управления Кнопка WB Вспомо...
Страница 168 - Ручная настройка
142 r Ручная настройка Ручная настройка предназначена для записи и повторного использования определенных значений баланса белого при съёмке в условиях смешанного освещения или для устранения влияния источников освещения, дающих сильные оттенки. Для определения предустановленного значения баланса бел...
Страница 170 - Измерение значения баланса белого; Осветите эталонный объект.
144 r ❚❚ Измерение значения баланса белого 1 Осветите эталонный объект. Для измерения баланса белого в предполагаемых условиях освещения используйте нейтрально-серый или белый объект. В студийных условиях в качестве эталонного объекта рекомендуется использовать стандартный серый шаблон. Обратите вни...
Страница 171 - Измерьте баланс белого.; b a
145 r 4 Измерьте баланс белого. Прежде чем индикатор перестанет мигать, поместите эталонный объект в кадр так, чтобы он заполнил всё поле видоискателя, и нажмите спусковую кнопку затвора до конца. Фотокамера измерит значение баланса белого и сохранит его в предустановке d-0. Снимок при этом не запис...
Страница 172 - и вращая вспомогательный диск управления до
146 r 6 Выберите предустановку d-0. Чтобы сразу воспользоваться новым предустановленным значением баланса белого, выберите предустановку d-0, нажав кнопку WB и вращая вспомогательный диск управления до отображения на панели управления предустановки d-0. D Режим прямого измерения При отсутствии выпол...
Страница 174 - меню баланса белого и нажмите; Выделите вариант; Выбрать
148 r ❚❚ Копирование баланса белого из снимка (только для d-1–d-4) Чтобы скопировать значение баланса белого из существующего снимка на карточке памяти в выбранную предустановку (только для d-1–d-4), выполните следующие действия. Существующие значения баланса белого невозможно скопировать в предуста...
Страница 175 - Выделите исходный снимок.; Скопируйте значение баланса белого.; 03), он будет скопирован в комментарий к
149 r 4 Выделите исходный снимок. Выделите исходный снимок. Чтобы просмотреть выделенный снимок в полнокадровом режиме, нажмите и удерживайте кнопку X . Чтобы просмотреть другие снимки, нажмите W и выберите нужную карту памяти и папку ( 0 217). 5 Скопируйте значение баланса белого. Чтобы скопировать...
Страница 176 - Выберите вариант; Выберите предустановку.; Установить
150 r ❚❚ Выбор предустановки баланса белого Чтобы выбрать предустановленное значение баланса белого, выполните следующие действия. 1 Выберите вариант L ( Ручная настройка ). Выделите Ручная настройка в меню баланса белого и нажмите кнопку 2 . 2 Выберите предустановку. Выделите предустановку и нажмит...
Страница 178 - Ввод комментария; комментарий; Измените текст комментария.
152 r ❚❚ Ввод комментария Чтобы ввести комментарий длиной до тридцати шести символов для выбранной предустановки баланса белого, выполните описанные ниже действия. 1 Выберите вариант L ( Ручная настройка ). Выделите Ручная настройка в меню баланса белого и нажмите 2 . 2 Выберите предустановку. Выдел...
Страница 179 - Коррекция изображения
J 153 J Коррекция изображения В данном разделе описана процедура оптимизации резкости, контраста, яркости, насыщенности и оттенка с помощью режимов управления снимками, приведена информация о сохранении деталей в тенях и светах с помощью функции «Активный D-Lighting», а также описана процедура выбор...
Страница 180 - Режимы управления снимками; Выбор режима управления снимками; нажмите кнопку
154 J Режимы управления снимками Уникальная система режимов управления снимками компании Nikon позволяет переносить настройки обработки снимков, включая резкость, контраст, яркость, насыщенность и оттенок между совместимыми устройствами и программным обеспечением. Выбор режима управления снимками В ...
Страница 183 - Настройки режимов управления снимками
157 J ❚❚ Настройки режимов управления снимками Параметр Описание Быстрая настройка Выбор значений между –2 и +2 позволяет уменьшить или увеличить влияние выбранного режима управления снимками (обратите внимание, что при этом происходит сброс всех ручных настроек). Например, выбор положительных значе...
Страница 186 - Работа; изменить
160 J Создание пользовательских режимов управления снимками Режимы управления снимками, предустановленные в фотокамере, можно изменить и сохранить в качестве пользовательских режимов управления снимками. 1 Выберите Работа с реж. упр. снимками . Чтобы открыть меню, нажмите кнопку G . В меню режима съ...
Страница 187 - После окончания настройки нажмите кнопку
161 J 4 Измените выбранный режим управления снимками. Дополнительные сведения см. на стр. 157. Чтобы отменить любые изменения и начать процедуру с настроек по умолчанию, нажмите кнопку O . После окончания настройки нажмите кнопку J . 5 Выберите нужное. Выберите нужный режим управления снимками (от C...
Страница 192 - Цветовое пространство; Выделите параметр
166 J Цветовое пространство Цветовое пространство определяет гамму цветов, доступных для воспроизведения. Выберите цветовое пространство, исходя из того, каким образом снимки будут использоваться в дальнейшем. 1 Выберите Цветовое простр . Чтобы открыть меню, нажмите кнопку G . Выделите параметр Цвет...
Страница 195 - – Использование встроенной вспышки; В данном разделе описано использование встроенной вспышки.
l 169 l Съёмка со вспышкой – Использование встроенной вспышки В данном разделе описано использование встроенной вспышки. Встроенная вспышка .................................................................... 170 Использование встроенной вспышки ..................................... 171 Режимы вспыш...
Страница 196 - Встроенная вспышка
170 l Встроенная вспышка При полной мощности ведущее число вспышки составляет 17 м (ISO 200, 20 °C). Она поддерживает режим i-TTL сбалансированной заполняющей вспышки для цифровых зеркальных фотокамер, в котором тестирующие предвспышки, регулирующие мощность вспышки для баланса освещения, применяютс...
Страница 197 - Выберите режим вспышки.
171 l Использование встроенной вспышки Для использования встроенной вспышки выполните следующие действия. 1 Выберите метод замера экспозиции ( 0 102). Выберите матричный или центрально-взвешенный замер, чтобы активировать i-TTL сбалансированную заполняющую вспышку для цифровых зеркальных фотокамер. ...
Страница 199 - Опускание встроенной вспышки
173 l Опускание встроенной вспышки Если вспышка не используется, закройте её, чтобы не расходовать энергию, мягко нажав на вспышку сверху и опустив её до щелчка. D Встроенная вспышка Используется с объективами с фокусным расстоянием 16–300 мм ( 0 344). Снимайте бленды во избежание отбрасывания ими т...
Страница 201 - Режимы вспышки; D300S поддерживает следующие режимы вспышки:
175 l Режимы вспышки D300S поддерживает следующие режимы вспышки: Режим вспышки Описание Синхронизация по передней шторке Рекомендуется в обычных случаях. В программном автоматическом режиме и в режиме с приоритетом диафрагмы выдержка устанавливается автоматически в пределах от 1 / 250 и 1 / 60 сек ...
Страница 203 - Поправка мощности вспышки
177 l Поправка мощности вспышки Поправка мощности вспышки применяется для регулировки мощности вспышки в пределах от –3 EV до +1 EV с шагом 1 / 3 EV. Она позволяет изменять яркость основного объекта съемки по отношению к заднему плану. Увеличение мощности вспышки повышает яркость основного объекта, ...
Страница 204 - Для блокировки мощности вспышки выполните следующие действия:; Функция кнопки Fn
178 l Блокировка мощности вспышки Данная функция позволяет блокировать мощность вспышки, позволяя изменить композицию кадра без изменения мощности вспышки и обеспечить нужное освещение объекта, даже если он находится не в центре кадра. Мощность вспышки регулируется автоматически в соответствии с изм...
Страница 205 - Измените компоновку кадра.; , чтобы разблокировать значение мощности
179 l 4 Уровень блокировки мощности вспышки. Убедитесь, что в видоискателе отображается индикатор готовности вспышки ( M ), и нажмите кнопку Fn . Будет произведена тестирующая предвспышка для определения необходимой мощности вспышки. Мощность вспышки будет зафиксирована на данном уровне, а на панели...
Страница 207 - Другие параметры съёмки
t 181 t Другие параметры съёмки В данном разделе описаны следующие операции: восстановление настроек по умолчанию, запись мультиэкспозиции, съёмка с интервальным таймером, использование устройств GPS и объективов без микропроцессора. Двухкнопочный сброс: восстановление значений по умолчанию ...........
Страница 210 - Создание мультиэкспозиции; Мультиэкспозиция; Количество
184 t Мультиэкспозиция Чтобы сохранить серию из двух и более (до десяти) экспозиций в одном снимке, следуйте инструкциям, приведенным ниже. Мультиэкспозицию можно записать при любой настройке качества изображения, причем, поскольку при этом используются необработанные данные матрицы фотокамеры, запи...
Страница 211 - Автоусиление; и нажмите
185 t 3 Выберите число снимков. Для выбора количества экспозиций, которые будут объединены в один снимок, нажмите кнопку 1 или 3 , а затем нажмите кнопку J . 4 Выберите Автоусиление . Выделите вариант Автоусиление и нажмите кнопку 2 . 5 Задайте усиление. Выделите один из следующих вариантов и нажмит...
Страница 212 - Готово
186 t 6 Выберите вариант Готово . Выделите вариант Готово и нажмите кнопку J . На панели управления отобразится символ n . Чтобы выйти без записи мультиэкспозиции, в меню режима съемки выберите Мультиэкспозиция > Сброс . 7 Скомпонуйте кадр, выполните фокусировку и сделайте снимок. В непрерывном в...
Страница 214 - Прекращение записи мультиэкспозиции
188 t ❚❚ Прекращение записи мультиэкспозиции Если во время записи мультиэкспозиции в меню режима съемки выбрать вариант Мультиэкспозиция , отобразятся параметры, показанные справа. Чтобы прервать запись мультиэкспозиции до завершения съемки необходимого числа кадров, выделите вариант Отмена и нажмит...
Страница 215 - Съёмка с интервальным таймером; Выберите параметр; Съемка с интервалом
189 t Съёмка с интервальным таймером Фотокамера имеет функцию автоматического выполнения снимков через предустановленные интервалы. 1 Выберите параметр Съемка с интервалом . Чтобы открыть меню, нажмите кнопку G . Выделите параметр Съемка с интервалом в меню режима съемки и нажмите кнопку 2 . 2 Выбер...
Страница 216 - Выберите время запуска.; Выбор
190 t 3 Выберите время запуска. Нажмите кнопку 4 или 2 для выделения значения часов или минут, нажмите кнопку 1 или 3 для изменения этого значения. Время запуска не отображается, если для параметра Выбор времени запуска выбрано значение Сейчас . Нажмите 2 , чтобы продолжить. 4 Выберите интервал врем...
Страница 219 - Приостановка съёмки с интервальным таймером; Запуск
193 t ❚❚ Приостановка съёмки с интервальным таймером Для приостановки съёмки с интервальным таймером можно выполнить одно из следующих действий.• Нажмите кнопку J между интервалами. • Выделите Запуск > Пауза в меню интервального таймера, нажимая J . • Выключите фотокамеру и включите её снова (при...
Страница 220 - Прекращение съёмки с интервальным таймером; в меню интервального таймера; Сброс меню режима съемки; в меню режима съемки; Нет снимка
194 t ❚❚ Прекращение съёмки с интервальным таймером Если батарея разряжена, съёмка с интервальным таймером автоматически прекращается. Для прекращения съёмки с интервальным таймером можно выполнить одно из следующих действий.• Выберите Запуск > Выкл. в меню интервального таймера • Выполните двухк...
Страница 222 - Меню параметров объектива без микропроцессора; Объектив без; Выберите номер объектива.; Номер
196 t ❚❚ Меню параметров объектива без микропроцессора 1 Выберите вариант Объектив без CPU . Чтобы открыть меню, нажмите кнопку G . Выделите Объектив без CPU в меню режима настройки и нажмите 2 . 2 Выберите номер объектива. Выделите вариант Номер объектива и нажмите кнопку 4 или 2 для выбора значени...
Страница 223 - 92), кнопке предварительного просмотра глубины
197 t 5 Выберите вариант Готово . Выделите вариант Готово и нажмите кнопку J . Указанные фокусное расстояние и диафрагма будут сохранены под выбранным номером объектива. Эти значения можно в любой момент вызвать из памяти фотокамеры, выбрав номер объектива с помощью элементов управления фотокамерой,...
Страница 224 - Использование устройства GPS
198 t Использование устройства GPS Устройство GPS можно подключить к 10-контактному разъему дистанционного управления, что позволит осуществлять запись текущей широты, долготы, высоты над уровнем моря, всеобщего координированного времени и направления для каждого сделанного снимка. Фотокамера может ...
Страница 225 - Другие устройства GPS
199 t ❚❚ Другие устройства GPS Приобретаемые дополнительно устройства GPS Garmin, поддерживающие формат данных ассоциации NMEA (National Marine Electronics Association) NMEA0183 версии 2.01 или 3.01, можно подключить к 10-контактному разъему дистанционного управления фотокамеры с помощью переходного...
Страница 227 - Параметры меню режима настройки; Раздел; GPS; меню режима настройки содержит параметры,; Расположение; : Этот пункт меню доступен
201 t ❚❚ Параметры меню режима настройки Раздел GPS меню режима настройки содержит параметры, перечисленные ниже.• Автовыкл. замера : Выберите, будет ли экспонометр автоматически выключаться при подключении устройства GPS. • Расположение : Этот пункт меню доступен только в случае подключения к фоток...
Страница 229 - – Функции просмотра снимков
I 203 I Дополнительные сведения о просмотре снимков – Функции просмотра снимков В данном разделе описывается процедура просмотра снимков и действия, которые можно выполнять во время просмотра. Режим полнокадрового просмотра ............................................... 204 Информация о снимке .......
Страница 233 - Информация о снимке; Режим дисплея; 47 страница данных съемки 4
207 I Информация о снимке При полнокадровом просмотре информация о снимках накладывается на выводимое изображение. Для каждого снимка предусмотрено до 9 страниц информации. Нажмите кнопку 1 или 3 для циклического переключения страниц в следующем порядке. Следует учитывать, что данные съемки, гистогр...
Страница 234 - Сведения о файле
208 I ❚❚ Сведения о файле 1 Отображается, только если для параметра Режим дисплея выбрано значение Точка фокусировки ( 0 247). 2 Если снимок был сделан в режиме фокусировки S , то на экране отображается точка начальной блокировки фокусировки. В режиме фокусировки C точка фокусировки отображается тол...
Страница 236 - Гистограмма RGB
210 I ❚❚ Гистограмма RGB 1 1 Отображается, только если для параметра Режим дисплея выбрано значение Гистограмма RGB ( 0 247). 2 Мигающие зоны указывают области засветки (области, которые могут быть переэкспонинрованы) для текущего канала. Нажимая кнопку W , нажимайте кнопку 4 или 2 для переключения ...
Страница 238 - Данные съемки, страница 1
212 I ❚❚ Данные съемки, страница 1 1 1 Отображается, только если для параметра Режим дисплея выбрано значение Данные ( 0 247). 2 Для снимков, сделанных в режиме автоматического определения чувствительности, данное значение отображается красным цветом. 3 Отображается, если при использовании любого ме...
Страница 240 - Данные съемки, страница 4; Данные GPS
214 I ❚❚ Данные съемки, страница 4 * * Отображается, только если для параметра Режим дисплея выбрано значение Данные ( 0 247) и информация об авторских правах была приложена к фотографии ( 0 309). ❚❚ Данные GPS 1 1 Отображается только для снимков, при съемке которых использовалось устройство GPS ( 0...
Страница 242 - Можно выполнить следующие действия:
216 I Одновременный просмотр нескольких снимков: просмотр миниатюр Для просмотра снимков в виде «сводных листов» из четырех, девяти или 72 снимков нажмите кнопку W . Можно выполнить следующие действия: Полнокадровы й просмотр Просмотр миниатюр Действие Элемент управления Описание Увеличение числа из...
Страница 245 - Защита снимков от удаления; С помощью кнопки; будут
219 I Защита снимков от удаления С помощью кнопки L можно предотвратить случайное удаление снимков в режимах полнокадрового просмотра, просмотра миниатюр и увеличения при просмотре. Защищенные снимки невозможно удалить, используя кнопку O или команду Удалить в меню режима просмотра. Помните, что при...
Страница 246 - Удаление снимков; Чтобы удалить текущий снимок, нажмите кнопку; Откроется диалоговое окно подтверждения.
220 I Удаление снимков Для удаления снимка, отображаемого в режиме полнокадрового просмотра или выделенного в списке миниатюр, нажмите кнопку O . Чтобы удалить несколько выбранных снимков или все снимки в текущей папке просмотра воспользуйтесь параметром Удалить в меню режима просмотра. Восстановить...
Страница 247 - Меню режима просмотра; Выбранные: Удаление выбранных снимков
221 I Меню режима просмотра Параметр Удалить в меню режима просмотра содержит следующее. Имейте в виду, что в зависимости от числа снимков для их удаления может потребоваться некоторое время. ❚❚ Выбранные: Удаление выбранных снимков 1 Выберите Выбранные . Нажмите кнопку G и выберите Удалить в меню р...
Страница 249 - Подключения; – Подключение к внешним устройствам
Q 223 Q Подключения – Подключение к внешним устройствам В этом разделе описываются копирование снимков на компьютер, печать снимков и их просмотр на телевизионном экране. Подключение к компьютеру....................................................... 224 Прямое USB-подключение .........................
Страница 250 - Подключение к компьютеру; Руководство по установке; Поддерживаемые операционные системы; Windows
224 Q Подключение к компьютеру В данном разделе описывается, как пользоваться USB-кабелем UC-E4 (входит в комплект поставки) для подключения фотокамеры к компьютеру. Перед подключением фотокамеры установите приложения Nikon Transfer и ViewNX с поставляемого компакт-диска Software Suite (см. Руководс...
Страница 251 - Прямое USB-подключение
225 Q Прямое USB-подключение Подключите фотокамеру с помощью USB-кабеля UC-E4, входящего в комплект поставки. 1 Выключите фотокамеру. 2 Включите компьютер. Включите компьютер и подождите, пока загрузится операционная система. 3 Подключите USB-кабель. Подключите USB-кабель, как показано на рисунке. В...
Страница 252 - Передайте фотографии.; Start; из меню; Help; по
226 Q 5 Передайте фотографии. Приложение Nikon Transfer запустится автоматически; нажмите кнопку Start Transfer (Запустить передачу) , чтобы передать фотографии (для получения более подробной информации по работе с приложением Nikon Transfer , выберите Nikon Transfer help (Справка по Nikon Transfer)...
Страница 253 - 52) передачу и печать фотографий можно производить по
227 Q Беспроводная и проводная локальные сети Если используется дополнительный беспроводной передатчик WT-4 ( 0 352) передачу и печать фотографий можно производить по беспроводной или проводной локальной сети, а также управлять фотокамерой с сетевых компьютеров с установленным приложением Camera Con...
Страница 254 - Печать снимков
228 Q Печать снимков Чтобы отпечатать фотографии JPEG на принтере PictBridge через USB-соединение, выполните следующие шаги. Выполните съёмку Выберите снимки для печати, используя Задание печати (DPOF) ( 0 237) Подключите фотокамеру к принтеру ( 0 229) Печать фотографий по одной ( 0 230) Печать неск...
Страница 255 - Подключение принтера
229 Q Подключение принтера Подключите фотокамеру с помощью USB-кабеля UC-E4, входящего в комплект поставки. 1 Выключите фотокамеру. 2 Подключите USB-кабель. Выключите принтер и подключите USB-кабель, как показано на рисунке. Вставляйте штекеры под прямым углом, не прилагая чрезмерных усилий. 3 Включ...
Страница 256 - Печать снимков по очереди; Настройте параметры печати.
230 Q Печать снимков по очереди 1 Выберите снимок. Для просмотра остальных снимков нажмите 4 или 2 . Нажмите кнопку 1 или 3 для просмотра сведений о снимке ( 0 207) или кнопку X для увеличения текущего кадра ( 0 218). Для одновременного просмотра на экране шести снимков нажмите кнопку W . Чтобы выде...
Страница 259 - Печать нескольких снимков; Печать выборки
233 Q Печать нескольких снимков 1 Вызовите меню PictBridge. Нажмите кнопку G в окне просмотра PictBridge (см. шаг 3 на стр. 229). 2 Выберите Печать выборки или Печать (DPOF) . Выделите один из следующих вариантов и нажмите кнопку 2 . • Печать выборки Выбор снимков для печати. • Печать (DPOF) : Печат...
Страница 262 - Создание списка эскизов; Печать списка; Откройте меню параметров печати.
236 Q ❚❚ Создание списка эскизов Для печати списка всех снимков в формате JPEG, хранящихся на карточке памяти, выберите вариант Печать списка на шаге шаг 2 в разделе «Печать нескольких снимков» ( 0 233). Имейте в виду, что если на карте памяти хранится более 256 снимков, будут напечатаны только перв...
Страница 263 - Задание печати; установить
237 Q Создание задания печати DPOF: Задание печати С помощью параметра меню режима просмотра Задание печати (DPOF) можно создавать цифровые задания печати для принтеров, поддерживающих стандарт PictBridge, и устройств, поддерживающих стандарт DPOF. 1 Выберите Выбрать/ установить . Нажмите кнопку G и...
Страница 265 - Устройства стандартной чёткости
239 Q Просмотр снимков на экране телевизора Поставляемый аудио/видеокабель EG-D2 можно использовать для подключения D300S к телевизору или видеомагнитофону для показа или записи снимков. Мини - штекер типа C кабеля H igh- D efinition M ultimedia I nterface (HDMI) (приобретается дополнительно) можно ...
Страница 266 - Видеостандарт
240 Q A Видеостандарт Если снимок не отображается, убедитесь, что фотокамера правильно подключена, и что выбранный Видеостандарт ( 0 301) соответствует видео стандарту телевизора. A Просмотр на телевизоре Для длительного просмотра снимков рекомендуется использовать сетевой блок питания EH-5a или EH-...
Страница 267 - Устройства высокой чёткости
241 Q Устройства высокой чёткости Фотокамеру можно подключить к устройствам HDMI с помощью кабеля HDMI с мини-штекером типа C (приобретается дополнительно). 1 Выключите фотокамеру. Обязательно выключайте фотокамеру перед подключением или отключением HDMI-кабеля. 2 Подключите HDMI-кабель, как показан...
Страница 269 - В данном разделе описаны параметры меню фотокамеры.; Пользовательские настройки: Тонкая настройка
U 243 U Сведения о параметрах меню В данном разделе описаны параметры меню фотокамеры. D Меню режима просмотра: Управление снимками ......... 244 C Меню режима съемки: Параметры съемки ....................... 253 A Пользовательские настройки: Тонкая настройка фотокамеры ................................
Страница 270 - Для вызова меню нажмите
244 U D Меню режима просмотра: Управление снимками Для вызова меню нажмите G и выберите K (меню режима просмотра). Кнопка G Параметр 0 Удалить 221 Папка просмотра 245 Скрыть снимок 245 Режим дисплея 247 Копировать снимки 248 Просмотр снимка 251 После удаления 251 Повернуть вертикально 251 Слайд-шоу ...
Страница 271 - Скрыть снимок; Папка просмотра; Скрыть снимок
245 U Выбор папки для просмотра. Этот параметр предназначен для скрытия или отображения выбранных снимков, как описано ниже. Просмотр скрытых снимков возможен только в меню Скрыть снимок , а удалить их можно только с помощью форматирования карты памяти. 1 Выберите Выбрать/ установить . Нажмите кнопк...
Страница 274 - Выбрать источник; Установите; Копировать снимки
248 U Копирование снимков с одной карты на другую. Этот параметр доступен только в том случае, если в фотокамеру вставлены две карты памяти. Копирование снимков. 1 Установите Выбрать источник . Выделите Выбрать источник нажмите 2 . 2 Выберите карту-источник. Выделите гнездо, в которое вставлена карт...
Страница 275 - Сделайте начальный выбор.; Выбрать все снимки; назначения; Выберите папку назначения.; Выбрать папку по номеру
249 U 5 Сделайте начальный выбор. Перед тем, как выбрать отдельные снимки или отменить их выбор, можно обозначить все или все защищенные снимки в папке для копирования, выбрав параметр Выбрать все снимки или Выбрать защищенные снимки . Чтобы обозначить только отдельные выбранные снимки для копирован...
Страница 276 - Копировать
250 U Чтобы выбрать папку из списка имеющихся папок, выберите Выбрать папку из списка , выделите папку и нажмите J . 9 Скопируйте снимки. Выделите вариант Копировать снимки? и нажмите 2 . Откроется диалоговое окно подтверждения; выделите Да и нажмите J . Снова нажмите J , чтобы выйти из этого режима...
Страница 278 - Чтобы начать слайд-шоу, выберите параметр; Начать снова; вернуться в меню режима просмотра.
252 U Создание слайд-шоу с использованием всех снимков в текущей папке просмотра ( 0 245). Скрытые снимки ( 0 245) не отображаются. Чтобы начать слайд-шоу, выберите параметр Запуск и нажмите кнопку J . Во время слайд-шоу можно выполнить следующие действия. После завершения показа слайдов отображаетс...
Страница 279 - Для вызова меню режима съемки нажмите
253 U C Меню режима съемки: Параметры съемки Для вызова меню режима съемки нажмите G и выберите C (меню режима съемки). Кнопка G Параметр 0 Банк меню режима съемки 254 Сброс меню режима съемки 256 Активная папка 256 Наименование файлов 258 Выбор основного гнезда 72 Функция дополнит. гнезда 72 Кач-во...
Страница 280 - и изменений в режимах управления снимками (быстрая; Переименование банков меню режима съёмки; При выборе параметра; Банк меню режима съемки
254 U Параметры меню режима съемки хранятся в одном из четырех банков. За исключением параметров Мультиэкспозиция и Съемка с интервалом и изменений в режимах управления снимками (быстрая настройка и другие ручные настройки), изменение настроек в одном банке не влияет на другие банки. Для сохранения ...
Страница 281 - Банк меню
255 U 2 Введите имя. Для перемещения указателя в области имени нажмите кнопку W , а затем кнопку 4 или 2 . Для ввода нового символа в текущей позиции указателя выделите мультиселектором нужный символ в области клавиатуры и нажмите центральную часть мультиселектора. Для удаления символа в текущей поз...
Страница 282 - Новый номер папки; Новый; Выберите номер папки.; Активная папка
256 U Выберите Да , чтобы восстанавливать настройки по умолчанию текущего банка меню режима съемки. Перечень настроек по умолчанию см. на стр. 368. Выбор папки для хранения снимков. ❚❚ Новый номер папки 1 Выберите вариант Новый номер папки . Выделите вариант Новый номер папки и нажмите кнопку 2 . По...
Страница 283 - Выбрать папку; Выберите выделенную папку.
257 U ❚❚ Выбрать папку 1 Выберите Выбрать папку . Выделите Выбрать папку и нажмите 2 . 2 Выделите папку. Чтобы выделить папку, нажмите кнопку 1 или 3 . 3 Выберите выделенную папку. Нажмите кнопку J для выбора выделенной папки и возврата в меню режима съемки (чтобы выйти без изменения активной папки,...
Страница 284 - используется для изменения буквенного; Наименование файлов
258 U Снимки сохраняются в файлах с именами, состоящими из буквенного обозначения DSC_ (в случае использования цветового пространства Adobe RGB, _DSC), за которым следуют четырехзначное число и трехбуквенное расширение (например, DSC_0001.JPG). Параметр Наименование файлов используется для изменения...
Страница 286 - Для вызова меню пользовательских настроек нажмите
260 U A Пользовательские настройки: Тонкая настройка фотокамеры Для вызова меню пользовательских настроек нажмите G и выберите закладку A (Меню польз. настроек). Пользовательские настройки используются для настройки фотокамеры в соответствии с индивидуальными предпочтениями пользователя. Кнопка G Гр...
Страница 287 - Доступны следующие пользовательские настройки.
261 U Доступны следующие пользовательские настройки. Пользовательская настройка 0 B Банк польз. настроек 262 A Сброс польз. настр. 262 a Автофокусировка a1 Выбор приор. для AF-C 263 a2 Выбор приор. для реж. AF-S 264 a3 Динамич. выбор зоны 264 a4 Следящ. АФ с сист. Lock-On 266 a5 Активация АФ 266 a6 ...
Страница 288 - , чтобы восстанавливать
262 U Пользовательские настройки хранятся в одном из четырёх банков. Изменение настроек в одном банке не влияет на другие банки. Для сохранения часто используемого набора настроек выберите один из четырёх банков и настройте фотокамеру на использование этого набора. Новые настройки будут храниться в ...
Страница 292 - Только; , автофокусировку можно; a6: Подсветка точки АФ
266 U Этот параметр позволяет задать режим автофокусировки при значительных и неожиданных изменениях расстояния до объекта. Если выбран параметр Спуск/AF-ON , то для включения автофокусировки можно использовать как спусковую кнопку затвора, так и кнопку B . Если выбран параметр Только AF-ON , автофо...
Страница 294 - a9: Встроенная подсветка АФ
268 U Выберите, будет ли вспомогательная подсветка АФ включаться по мере необходимости при фокусировке в условиях недостаточного освещения. a9: Встроенная подсветка АФ Кнопка G ➜ A Меню Пользовательских настроек Параметр Описание Вкл. Вспомогательная подсветка АФ включается при недостаточном освещен...
Страница 298 - ) этого круга можно задать
272 U Имейте в виду, что диаметр фиксируется на значении 8 мм, если используется объектив без микропроцессора. Используйте данный режим для тонкой настройки экспозиции, устанавливаемой фотокамерой. Для каждого метода замера тонкая настройка экспозиции может выполняться отдельно и изменяться в предел...
Страница 299 - Нет ограничения
273 U Если выбрано значение по умолчанию Выкл. , экспозиция блокируется только при нажатии кнопки AE-L/AF-L . Если выбрано значение Вкл. , экспозиция будет блокироваться и при нажатии спусковой кнопки затвора наполовину. Выбирает время работы экспонометра фотокамеры, если не выполняются другие опера...
Страница 304 - d8: Дисплей информации
278 U Если выбрано значение по умолчанию Авто ( AUTO ), для более резкого контраста с фоном цвет букв на экранах с информацией ( 0 12) будет автоматически меняться с черного на белый и с белого на черный. Чтобы всегда использовать один цвет букв, выберите значение Ручной , а затем значение Темный на...
Страница 307 - Этот параметр задает выдержку синхронизации вспышки.; e1: Выдержка синхронизации
281 U Этот параметр задает выдержку синхронизации вспышки. e: Брекетинг/вспышка e1: Выдержка синхронизации Кнопка G ➜ A Меню Пользовательских настроек Параметр Описание 1/320 cек (Авто FP) Автоматическую высокоскоростную синхронизацию FP можно использовать со вспышками SB-900, SB-800, SB-600 и SB-R2...
Страница 308 - Управление вспышкой при использовании значения 1/320 сек (Авто FP); При использовании значения; встроенную вспышку можно использовать при выдержке до
282 U Управление вспышкой при использовании значения 1/320 сек (Авто FP) При использовании значения 1/320 сек (Авто FP) для пользовательской настройки e1 ( Выдержка синхронизации , 0 281) встроенную вспышку можно использовать при выдержке до 1 / 320 сек; дополнительные вспышки SB-900, SB-800, SB-600...
Страница 310 - Полная
284 U ❚❚ Ручной Мощность вспышки можно изменять в пределах от значения Полная мощность до значения 1/128 ( 1 / 128 полной мощности). При полной мощности ведущее число вспышки составляет 17 м (ISO 200, 20 ° C). ❚❚ Стробоскоп Вспышка срабатывает несколько раз, пока открыт затвор, создавая стробоскопич...
Страница 311 - Режим управления
285 U ❚❚ Режим управления Предназначен для использования встроенной вспышки в качестве управляющей для одной или нескольких ведомых вспышек SB-900, SB-800, SB-600 или SB-R200 (приобретаются дополнительно) в двух группах (А и В) с помощью системы улучшенного беспроводного освещения. При выборе данног...
Страница 312 - Настройте встроенную вспышку.; мощность вспышки изменить
286 U Для съёмки в режиме управления выполните описанные ниже действия. 1 Настройте встроенную вспышку. Выберите режим управления и мощность встроенной вспышки. Помните, что в режиме – – мощность вспышки изменить нельзя. 2 Настройте группу A. Выберите режим управления и мощность вспышек группы A. 3 ...
Страница 315 - e4: Моделирующая вспышка
289 U Если выбрано значение Вкл. , при нажатии кнопки предварительного просмотра глубины резкости встроенная вспышка, вспышки SB-900, SB-800, SB-600 и SB-R200 (приобретаются дополнительно) излучают моделирующий свет ( 0 105). При выборе значения Выкл. моделирующая вспышка не включается. Этот парамет...
Страница 316 - e7: Порядок брекетинга
290 U Этот параметр определяет изменяемые настройки при выборе для пользовательской настройки e5 значения АЭ и вспышка или Только АЭ в ручном режиме экспозиции. Брекетинг вспышки выполняется только в режиме i-TTL или AA. Если вспышка не используется и выбрано значение, отличное от Только вспышка , ч...
Страница 317 - Выбирает функцию при установке выключателя питания в положение; Режим съемки
291 U Выбирает функцию при установке выключателя питания в положение D . Этот параметр определяет функцию центральной кнопки мультиселектора в режимах съёмки и просмотра (независимо от выбранного параметра нажатие центральной кнопки мультиселектора во время полнокадрового показа видеофрагмента включ...
Страница 318 - f5: Функция кнопки Fn
292 U При выборе значения Сброс задержки выкл. экспоз. мультиселектор можно использовать для включения экспонометра ( 0 39), если тот выключен. Если выбран вариант Ничего , при нажатии мультиселектора экспонометр не включается. Если выбрано значение Инфо 13 /Просмотр 42 , нажатие кнопки 1 или 3 в ре...
Страница 319 - При выборе; Нажатие кнопки Fn; для пользовательской настройки f5
293 U ❚❚ Нажатие кнопки Fn При выборе Нажатие кнопки Fn для пользовательской настройки f5 появляются следующие параметры: Параметр Описание q Предварительный просм. * Нажмите кнопку Fn для предварительного просмотра глубины резкости ( 0 105). r Блок. FV * Нажмите кнопку Fn , чтобы блокировать мощнос...
Страница 325 - При выборе опции; Разрешить спуск затвора; спусковую кнопку; Заблокировать; , спусковая кнопка затвора будет работать только при
299 U При выборе опции Разрешить спуск затвора спусковую кнопку затвора можно будет нажать даже при отсутствии установленной карты памяти, но снимки записываться не будут (хотя будут отображаться на мониторе в демонстрационном режиме). Снимки при этом не записываются, но отображаются на мониторе в д...
Страница 326 - Для вызова меню режима настройки нажмите
300 U B Меню режима настройки: Настройка фотокамеры Для вызова меню режима настройки нажмите G и выберите закладку B (меню режима настройки). Кнопка G Параметр 0 Параметр 0 Форматировать карту памяти 301 Информ. о батарее 307 Яркость ЖКИ 301 Беспроводной передатчик 227 Очистка матрицы 358 Опред. под...
Страница 327 - Имейте в; Форматировать карту памяти; Яркость ЖКИ
301 U Чтобы начать форматирование, определите гнездо для карты и выберите Да . Имейте в виду, что форматирование безвозвратно удаляет все снимки и другие данные с карты памяти. Перед форматированием убедитесь, что нужные копии были сохранены. Нажмите кнопку 1 или 3 , чтобы настроить яркость монитора...
Страница 329 - отображается на третьей странице информации о снимке (; : сохранение изменений и возврат в меню режима; Ввести комментарий; Длина комментария не может превышать 36 знаков.; Добавить комментарий; можно включить; Комментарий
303 U Выбор языка меню и сообщений фотокамеры. Доступны следующие параметры. Добавление комментариев к новым снимкам во время съемки. Комментарии можно просматривать как метаданные при помощи ПО ViewNX (входит в комплект поставки) или Capture NX 2 (приобретается дополнительно 0 355). Текст комментар...
Страница 330 - Авт. поворот изображения
304 U Если выбрано значение Вкл. , при записи снимков сохраняется информация об ориентации фотокамеры, что позволяет автоматически поворачивать снимки при просмотре ( 0 204) или при помощи ViewNX (входит в комплект поставки) или Capture NX 2 (приобретается дополнительно; 0 355). Возможна запись след...
Страница 331 - Функция; доступна только для; Выберите пункт «Запуск».; . Для выхода без записи; Выберите этот; Образец снимка для уд. пыли
305 U Данный параметр предназначен для сбора данных, необходимых для функции «Удаление пыли» в программе Nikon Capture NX 2 (приобретается дополнительно; подробные сведения см. в руководстве пользователя Capture NX 2). Функция Образец снимка для уд. пыли доступна только для фотокамеры с установленны...
Страница 332 - Получите эталонный снимок.
306 U 2 Наведите фотокамеру на однородный объект белого цвета. Расположите объектив на расстоянии около 10 см от хорошо освещенного, однородного объекта белого цвета, кадрируйте его, исключая лишние детали, затем нажмите спусковую кнопку затвора наполовину. В режиме автофокуса фокус автоматически ус...
Страница 334 - Беспроводной передатчик; Опред. подлинность снимка
308 U Этот параметр используется для настройки подключения к беспроводным сетям с помощью беспроводного передатчика WT-4 (приобретается дополнительно). См. «Подключения: Беспроводная и проводная локальные сети» ( 0 227). Выберите s Вкл. , чтобы добавить к новым снимкам информацию, позволяющую опреде...
Страница 337 - Виртуальный горизонт
311 U Настройки, сохраненные в фотокамере D300S, можно восстановить, выбрав пункт Загр. параметры . Обратите внимание, что параметр Сохр./загр. параметры доступен, только если в фотокамере установлена карточка памяти, параметр Загр. параметры доступен, только если карточка памяти содержит сохраненны...
Страница 338 - Тонкая настройка АФ
312 U Тонкая настройка фокуса для 12 типов объективов. Тонкая настройка автофокуса не рекомендуется в большинстве ситуаций и может повлиять на нормальную фокусировку; используйте ее только при необходимости. Тонкая настройка АФ Кнопка G ➜ B Меню режима настройки Параметр Описание Тонк настр АФ (Вкл/...
Страница 339 - использование таких устройств запрещено.
313 U Этот режим доступен, только если на фотокамере установлена карта памяти Eye-Fi (приобретается дополнительно). Выберите Включить , чтобы загрузить снимки в запланированное место. Имейте в виду, что снимки могут не загрузиться, если сигнал слабый. Соблюдайте местные законы, касающиеся использова...
Страница 340 - Просмотр текущей версии прошивки фотокамеры.; Версия прошивки
314 U Просмотр текущей версии прошивки фотокамеры. D Карты Eye-Fi За информацией об ошибках, возникающих при работе Eye-Fi карт, обращайтесь к руководству по эксплуатации Eye-Fi картой и направляйте вопросы производителю. Фотокамера может включить и выключить Eye-Fi карту, но она может не поддержива...
Страница 341 - Создание обработанных копий; Чтобы открыть меню обработки, нажмите
315 U N Меню обработки: Создание обработанных копий Чтобы открыть меню обработки, нажмите G и выберите вкладку N (меню обработки) Функции меню обработки используются для обрезки кадров или для редактирования сделанных снимков. Меню обработки открывается, только если карта памяти с фотографиями устан...
Страница 342 - Чтобы создать обработанную копию:; Откройте меню обработки.
316 U Создание обработанных копий Чтобы создать обработанную копию: 1 Выберите снимок. Откройте нужный снимок в режиме полнокадрового просмотра ( 0 204). 2 Откройте меню обработки. Нажмите кнопку J , чтобы отобразить меню обработки. 3 Откройте список параметров обработки. Выделите нужный элемент мен...
Страница 343 - . Обработанные копии
317 U 4 Выберите параметры обработки. За дополнительной информацией обращайтесь к разделам, посвященным выбранному пункту. Для возврата в режим полнокадрового просмотра без создания обработанной копии нажмите кнопку K . 5 Создайте обработанную копию. Для создания обработанной копии нажмите кнопку J ...
Страница 346 - Коррекция “красных глаз”
320 U Эта функция предназначена для подавления эффекта «красных глаз», возникающего при съемке со вспышкой, и доступна только для снимков, сделанных с использованием вспышки. Снимок, выбранный для использования этой функции, отображается в режиме предварительного просмотра, как показано справа. Подт...
Страница 347 - Кадрирование
321 U Создание кадрированной копии выбранного снимка. Границы рамки кадрирования выбранного снимка отображаются желтым цветом, процесс создания кадрированной копии описан в следующей таблице. Кадрирование Кнопка G ➜ N меню обработки Действие Элемент управления Описание Уменьшение размера рамки кадри...
Страница 348 - Цианотипия; (монохромный с синим и; Сепия; выбранный снимок; Монохромный; Эффекты фильтра
322 U Этот параметр позволяет создавать копии снимков с параметрами Черно-белый , Сепия или Цианотипия (монохромный с синим и белым цветами). При выборе режимов Сепия и Цианотипия выбранный снимок отображается в режиме предварительного просмотра. Нажимайте кнопку 1 , чтобы увеличить насыщенность, ил...
Страница 349 - Цветовой баланс
323 U Используйте мультиселектор для создания копии снимка с измененным цветовым балансом. На экране одновременно отображаются гистограммы красного, зеленого и синего каналов ( 0 210), что позволяет оценить распределение цветов на копии снимка. Чтобы создать копию снимка, нажмите кнопку J . Цветовой...
Страница 350 - Наложение; Наложение изображений
324 U Функция наложения изображений объединяет два существующих снимка в формате NEF (RAW) и создает одно изображение, которое сохраняется отдельно от оригиналов; результаты, полученные при использовании необработанных данных с матрицы фотокамеры, заметно лучше по сравнению с наложениями, созданными...
Страница 351 - Выберите второй снимок.; Просм; Выделите столбец
325 U 4 Выберите второй снимок. Выбранный снимок появится под заголовком Сним. 1 . Нажмите 2 , чтобы выделить Сним. 2 и повторите шаги 2-3 для выбора второго фото. 5 Задайте усиление. Выделите Сним. 1 или Сним. 2 и установите нужную для наложения экспозицию, нажимая кнопку 1 или 3 для выбора усилени...
Страница 354 - EXE
328 U 3 Выберите установки для обработки снимков в формате NEF (RAW). Установите качество ( 0 68), размер ( 0 71), баланс белого ( 0 134), поправку экспозиции ( 0 118), режим управления снимками ( 0 154; помните, что сетка соотношений с другими режимами не отображается), подавление шумов для высоких...
Страница 355 - Изменить размер
329 U Создание уменьшенных копий выбранных фотографий. Изменить размер можно использовать во время полнокадрового просмотра, как описано на стр. 316. Если вы выбираете Изменить размер в меню обработки, вы можете изменить размер нескольких фотографий, как описано ниже. 1 Выберите место расположения. ...
Страница 356 - Сохраните копии с измененным размером.
330 U 3 Выберите снимки. Выделите вариант Выбрать снимок и нажмите кнопку 2 . Отобразиться диалог, показанный справа; выделите снимки с помощью мультиселектора и нажмите центральную кнопку мультиселектора, чтобы выбрать или отказаться от выбора (для показа выделенного снимка на весь экран нажмите и ...
Страница 357 - , чтобы открыть меню; Выполнение наглядного сравнения; Наглядное; Наглядное сравнение
331 U I Сравнение обработанных копий с исходными снимками. Эта функция доступна, только если нажата кнопка J , чтобы открыть меню обработки, когда копия или оригинал просматривается в полнокадровом режиме. ❚❚ Выполнение наглядного сравнения 1 Выберите снимок. Выберите обработанную копию (отмеченную ...
Страница 359 - Создание пользовательского меню; Мое Меню; Добавление параметров в меню «Мое Меню»; Добавить
333 U O Мое Меню: Создание пользовательского меню Чтобы открыть Мое Меню, нажмите G и выберите вкладку (Мое Меню) O . Параметр Мое Меню можно использовать для создания и настройки гибкого меню, состоящего из часто используемых параметров меню режима просмотра, меню режима съемки, меню пользовательск...
Страница 360 - Выберите элемент меню.; Добавьте другие элементы.
334 U 3 Выберите элемент меню. Выделите нужный элемент меню и нажмите кнопку J . 4 Выберите местоположение нового элемента меню. Нажмите кнопку 1 или 3 , чтобы переместить элемент выше или ниже в меню «Мое Меню». Чтобы добавить новый элемент, нажмите кнопку J . 5 Добавьте другие элементы. Элементы, ...
Страница 361 - Удалить элементы
335 U Удаление параметров из меню «Мое Меню» 1 Выберите вариант Удалить элементы . В меню «Мое Меню» ( O ) выделите вариант Удалить элементы и нажмите кнопку 2 . 2 Выберите элементы. Выделите несколько элементов и нажмите кнопку 2 , чтобы выбрать их или отменить выбор. Выбранные элементы отмечаются ...
Страница 362 - Упорядочить
336 U Сортировка параметров в меню «Мое Меню» 1 Выберите вариант Упорядочить элементы . В меню «Мое Меню» ( O ) выделите вариант Упорядочить элементы и нажмите кнопку 2 . 2 Выберите элемент меню. Выделите перемещаемый элемент и нажмите кнопку J . 3 Выберите местоположение элемента. Нажмите кнопку 1 ...
Страница 363 - Просмотр недавних настроек
337 U Просмотр недавних настроек Чтобы показать двадцать последних использованных настроек, выберите m Недавние настройки для O Мое Меню > Выбор закладки . 1 Выберите Выбор закладки . В меню Мое Меню ( O ), выделите Выбор закладки и нажмите 2 . 2 Выберите m Недавние настройки . Выделите m Недавни...
Страница 365 - – Уход за фотокамерой, параметры и ресурсы
n 339 n Технические примечания – Уход за фотокамерой, параметры и ресурсы В этом разделе вы найдете информацию о совместимых аксессуарах, правилах ухода и хранения фотокамеры, а также что следует делать, если вы видите сообщение об ошибке, или возникли проблемы при использовании фотокамеры. Совмести...
Страница 366 - Совместимые объективы; Совместимые объективы со встроенным микропроцессором
340 n Совместимые объективы Объективы со встроенным микропроцессором (особенно типы G и D) являются рекомендованными для модели D300S. Объективы с микропроцессором можно отличить от других по наличию контактов микропроцессора. Объективы типов D и G имеют соответствующую маркировку на оправе. Объекти...
Страница 374 - CLS-совместимые вспышки; Блок беспроводного дистанционного управления вспышками SU-800
348 n Система креативного освещения (CLS) Nikon Современная система креативного освещения (Creative Lighting System, CLS), разработанная компанией Nikon, обеспечивает улучшенное взаимодействие фотокамеры и совместимых вспышек для более качественной съемки со вспышкой. ❚❚ CLS-совместимые вспышки Фото...
Страница 375 - Следующие параметры доступны для указанных вверху вспышек:
349 n Следующие параметры доступны для указанных вверху вспышек: 1 Указанные параметры доступны, только если для управления работой других вспышек используется блок SU-800. 2 Стандартное i-TTL управление для цифровых зеркальных фотокамер используется совместно с точечным замером или при установке эт...
Страница 376 - Другие вспышки
350 n Другие вспышки Следующие вспышки можно использовать в автоматическом режиме без TTL-управления и в ручном режиме. При выборе режима TTL спусковая кнопка затвора фотокамеры блокируется и съемка невозможна. Вспышка SB-80DX, SB-28DX, SB-28, SB-26, SB-25, SB-24 SB-50DX SB-30, SB-27 1 , SB-22S, SB-...
Страница 378 - Прочие принадлежности
352 n Прочие принадлежности На данный момент для фотокамеры D300S выпускаются следующие принадлежности. Источники питания • Литий-ионная аккумуляторная батарея EN-EL3e ( 0 22, 24). • Универсальный батарейный блок MB-D10 : MB-D10 оснащен спусковой кнопкой затвора, кнопкой B , мультиселектором, а такж...
Страница 383 - Уход за фотокамерой; Хранение; электромагнитные поля, таким как телевизор или радиоприемник; Чистка
357 n Уход за фотокамерой Хранение Если фотокамера не будет использоваться в течение длительного времени, закройте экран крышкой, извлеките батарею, закройте ее контакты защитной крышкой и поместите батарею на хранение в сухое прохладное место. Во избежание появления грибка или плесени храните фоток...
Страница 384 - Инфракрасный фильтр; в меню режима настройки.; Очистить сейчас; или очистить автоматически при включении и; «Очистить сейчас»; пункт
358 n Инфракрасный фильтр Для предотвращения появления муара матрица фотокамеры, которая формирует изображение, закрыта фильтром инфракрасного излучения. Если пыль или грязь, попавшие внутрь фотокамеры, заметны на снимках, можно самостоятельно очистить фильтр с помощью параметра Очистка матрицы в ме...
Страница 385 - Очистить; «Очищать при вкл; Очищать; Откройте меню; Очистка
359 n 3 Выберите вариант Очистить сейчас . Выделите вариант Очистить сейчас и нажмите кнопку 2 . Во время чистки отображается сообщение, приведенное справа. После завершения чистки отобразится сообщение, приведенное справа. ❚❚ «Очищать при вкл . /выкл . » 1 Выберите вариант Очищать при вкл./выкл. От...
Страница 386 - Выберите нужный пункт.
360 n 2 Выберите нужный пункт. Выделите один из следующих вариантов и нажмите кнопку J . Параметр Описание 5 Очищать при включении Матрица автоматически очищается при каждом включении фотокамеры. 6 Очищать при выключении Матрица автоматически очищается при каждом выключении фотокамеры. 7 Очищать при...
Страница 387 - Чистка вручную; Если с помощью функции; Подъем зеркала для
361 n ❚❚ Чистка вручную Если с помощью функции Очистка матрицы ( 0 358) меню режима настройки удалить инородные частицы с инфракрасного фильтра не удается, фильтр можно очистить вручную, как описано ниже. Помните, что инфракрасный фильтр очень хрупкий и его легко повредить. Компания Nikon рекомендуе...
Страница 394 - Значения по умолчанию; Меню режима просмотра, значения по умолчанию
368 n Значения по умолчанию Значения по умолчанию для параметров меню фотокамеры перечислены ниже. Дополнительные сведения по двухкнопочному сбросу см. на стр. 182. ❚❚ Меню режима просмотра, значения по умолчанию ❚❚ Меню режима съемки, значения по умолчанию 1 Параметр Значения по умолчанию Папка про...
Страница 395 - Меню пользовательских настроек, значения по умолчанию
369 n ❚❚ Меню пользовательских настроек, значения по умолчанию * Режим Live view ( 0 49, 52) Штатив Мультиэкспозиция ( 0 184) Сброс 2 Настройки видео ( 0 62) Качество 640 × 424 (3 : 2) Микрофон Авточувствительность (A) Назначение Гнездо для карты CF Съемка с интервалом ( 0 189) Сброс 3 1 Установки п...
Страница 397 - Меню режима настройки, значения по умолчанию
371 n ❚❚ Меню режима настройки, значения по умолчанию f5 Функция кнопки Fn ( 0 292) Нажатие кнопки Fn Нет Кнопка Fn + диски Авт. брекетинг f6 Функция кн. предв. просм. ( 0 296) Функция кн. предв. просм. Предварительный просм. Предв. просм. + диски упр. Нет f7 Функция кнопки AE-L/AF-L ( 0 296) Нажати...
Страница 399 - Устранение неполадок; Индикация
373 n Устранение неполадок Прежде чем обращаться к продавцу или представителю компании Nikon, просмотрите приведенный ниже перечень распространенных неполадок. ❚❚ Индикация Изображение в видоискателе не в фокусе : Настройте резкость видоискателя или используйте корректирующие линзы ( 0 36, 353). Тем...
Страница 403 - Прочее
377 n ❚❚ Прочее Невозможно изменить задание печати : • Карта памяти переполнена: удалите снимки ( 0 38, 220). • Карта памяти заблокирована (только карты SD; 0 35). Невозможно выбрать снимок для печати : Снимок сохранен в формате NEF (RAW). Создайте JPEG копию, используя Обработка NEF (RAW) , или ско...
Страница 404 - Сообщения об ошибках
378 n Сообщения об ошибках В этом разделе приведены различные индикаторы и сообщения об ошибках, отображаемые в видоискателе, на панели управления и на мониторе фотокамеры. Индикатор Неисправность Способ устранения 0 Панель управления Видоискатель B (мигает) Кольцо диафрагмы на объективе не заблокир...
Страница 411 - Технические характеристики; Цифровая фотокамера Nikon D300S; Матрица
385 n Технические характеристики ❚❚ Цифровая фотокамера Nikon D300S Тип Тип Цифровая однообъективная зеркальная фотокамера Байонет объектива Байонет Nikon F (с сопряжением АФ и контактами АФ) Эффективный угол зрения Прибл. 1,5 × фокусного расстояния объектива (формат Nikon DX) Число эффективных пикс...
Страница 420 - Емкость карточки памяти
394 n Емкость карточки памяти В следующей таблице приводится приблизительное количество снимков, которые можно сохранить на 4 ГБ карте памяти SanDisk Extreme IV (SDCFX4) при различных установках качества и размера изображения. Кач-во изображения Размер изображения Размер файла 1 Количество снимков 1...
Страница 422 - Ресурс работы от батарей; Согласно стандарту CIPA
396 n Ресурс работы от батарей Количество снимков, которое можно сделать при полностью заряженной батарее, меняется в зависимости от состояния батареи, температуры и режима эксплуатации камеры. В случае батарей размера AA емкость зависит от изготовителя и условий хранения, некоторые батареи использо...
Страница 424 - Предметный указатель
398 Предметный указатель Символы K (АФ по одной точке) ......................... 76, 77 I (АФ с динамическим выбором зоны фокусировки).................................. 76, 77, 264 H (Автоматический выбор зоны АФ) 76, 77 S ........................................................ 74, 80, 86, 264 C L ...