Микроволновые печи LG MW20R46DB - инструкция пользователя по применению, эксплуатации и установке на русском языке. Мы надеемся, она поможет вам решить возникшие у вас вопросы при эксплуатации техники.
Если остались вопросы, задайте их в комментариях после инструкции.
"Загружаем инструкцию", означает, что нужно подождать пока файл загрузится и можно будет его читать онлайн. Некоторые инструкции очень большие и время их появления зависит от вашей скорости интернета.

3
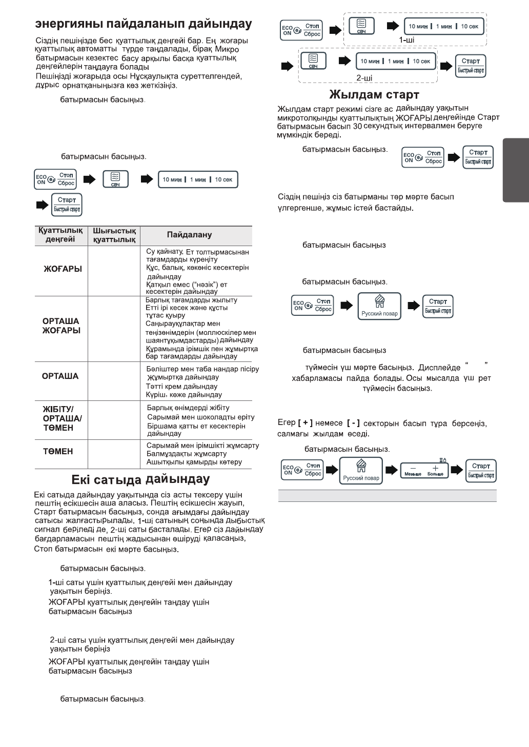
Ԥɡɿɪɥɟɭɭɚԕɵɬɵɧɨɪɧɚɬɭԛɲɿɧ
2
ɬԛɣɦɟɲɿɝɿɧɛɿɪɧɟɲɟ
ɪɟɬɛɚɫɵԙɵɡ
<
ȼɬ
(100%)
t
t
t
t
t
t
t
t
t
t
t
t
t
t
t
t
t
ȼɬ
(80%)
ȼɬ
(60%)
ȼɬ
(40%)
ȼɬ
(20%)
2
(3).
(4).
Ɋɭɫɫɤɢɣɩɨɜɚɪ
Ԕɚɛɵԕɬɵɤɚɪɬɨɩ
ɝɫ
3):
(2).
Ɍɚԑɚɦɫɚɥɦɚԑɵɧɬɚԙɞɚɭԛɲɿɧ
9
ɬԛɣɦɟɲɿɝɿɧɛɿɪɧɟɲɟ
ɪɟɬɛɚɫɵԙɵɡ
(4).
<
;
(1).
Ԥɡɿɪɥɟɭɭɚԕɵɬɵɧɨɪɧɚɬɭԛɲɿɧ
:
ɬԛɣɦɟɲɿɝɿɧɛɿɪɧɟɲɟ
ɪɟɬɛɚɫɵԙɵɡ
(4).
;
(1).
<
(6).
(2).
Ԕɭɚɬɬɵɬɚԙɞɚɭԛɲɿɧ
:
ɬԛɣɦɟɲɿɝɿɧɛɿɪɧɟɲɟɪɟɬɛɚɫɵԙɵɡ
(5).
Ԕɭɚɬɬɵɬɚԙɞɚɭԛɲɿɧ
:
ɬԛɣɦɟɲɿɝɿɧɛɿɪɧɟɲɟɪɟɬɛɚɫɵԙɵɡ
;
(1).
Ɍɚԑɚɦɬԛɪɿɧɬɚԙɞɚɭԛɲɿɧ
3
ɬԛɣɦɟɲɿɝɿɧɛɿɪɧɟɲɟɪɟɬ
ɛɚɫɵԙɵɡ
;
(1).
2
;
(1).
(2).
ԤɡɿɪɥɟɭɭɚԕɵɬɵɧɀɈԐȺɊɕ
ԕɭɚɬԕɚɨɪɧɚɬɭԛɲɿɧ
<
ɬԛɣɦɟɲɿɝɿɧɛɿɪɧɟɲɟɪɟɬɛɚɫɵԙɵɡ
<
(3).
Ԕɚɛɵԕɬɵɤɚɪɬɨɩ
ɝɫ
3
ɋɚɧɚɬ
Ȼɨɪɳɝɫ
ɒɟɤɬɿɫɚɥɦɚԑɵɤɝ
ɌɚԑɚɦɬɟɦɩȻԧɥɦɟ
ɕɞɵɫɚɹԕ
Ɇɢɤɪɨɬɨɥԕɵɧԑɚɬԧɡɿɦɞɿ
ɬɨɫɬɚԑɚɧ
Ԕԝɪɚɦɵ
ɝɫɢɵɪɟɬɿɛԧɥɿɤɬɟɪɝɟ
ɤɟɫɿɥɝɟɧ
ԕɵɡɵɥɲɚɬɭɪɚɥԑɚɧ
ɫԥɛɿɡɬɭɪɚɥԑɚɧ
ɩɢɹɡɬɭɪɚɥԑɚɧ
1
ɤɚɪɬɨɩɬɭɪɚɥԑɚɧ
ԕɵɡɚɧɚԕɬɭɪɚɥԑɚɧ
ɝɪԕɵɪɵԕԕɚɛɚɬɬɭɪɚɥԑɚɧ
ɫɚɪɵɦɫɚԕɛԧɥɿɝɿԝɧɬɚԕɬɚɥԑɚɧ
ɚɫԕɚɫɵԕɬɨɦɚɬɩɚɫɬɚɫɵ
ɚɫԕɚɫɵԕɤԧɤԧɧɿɫɬɭɪɚɥԑɚɧ
ɲɵɧɚɹԕɫɭɧɟɦɟɫɟɫɨɪɩɚ
ɲɚɣԕɚɫɵԕɭɤɫɭɫ
Ⱦԥɦɿɧɟԕɚɪɚɣɬԝɡɛɟɧɛԝɪɵɲ
ɇԝɫԕɚɭɥɚɪ
1.
Ȼɚɪɥɵԕԕԝɪɚɦɞɚɫɬɚɪɞɵԛɥɤɟɧɬɟɪɟԙɲɚɪɚԑɚ
ɫɚɥɵԙɵɡɠԥɧɟɠɚԕɫɵɥɚɩɚɪɚɥɚɫɬɵɪɵԙɵɡɈɪɚɭɵɲ
ԕɚԑɚɡɛɟɧɠɚɭɵɩɬɟɫɿɤɠɚɫɚԙɵɡ
2.
ȺɫɬɵɩɟɲɤɟɫɚɥɵԙɵɡɆԥɡɿɪɞɿɬɚԙɞɚԙɵɡɞɚFɬɚɪɬ
(
ɛɚɫɬɚɭɬԛɣɦɟɲɿɝɿɧɛɚɫɵԙɵɡɉɿɫɿɪɭɛɚɪɵɫɵɧɞɚ
ɤɟɦɿɧɞɟɟɤɿɪɟɬɚɪɚɥɚɫɬɵɪɵԙɵɡ
ҚАЗАҚҚАЗАҚ