Страница 4 - КУЗОВ И САЛОН; антном исполнении; Система; вариантном исполнении
ОПИСАНИЕ АВТОМОБИЛЯ КУЗОВ И САЛОН Ключи К автомобилю прилагаются два ключа выключателя зажигания: один– с пультом дистанционного упра-вления 1 (рис. 1), другой – с краснойвставкой на торце 3, эти ключи рекомендуется никогда не соеди- нять в одну связку. Ключ зажигания с пультом дистанционного управл...
Страница 5 - Дополнительный пульт; в вариантном исполне-; управления; Работа системы
– поднятия (опускания) стекол передних и задних ( в вариантном исполнении ) боковых дверей. К автомобилю прилагается ключ выключателя зажигания с пультомдистанционного управления (рис. 2).Для работы пульта дистанционногоуправления в составе автомобиляего необходимо активизировать(обучить), используя...
Страница 6 - Центральная блокиров-
управления нажмите кнопку разбло-кировки на пульте. Замок двери водителя разблокируется, а выклю-чение режима охраны сопровожда-ется однократным миганием указа-телей поворотов. Для разблокировки замков пас- сажирских дверей нажмите кнопкуразблокировки на пульте еще раз.Разблокировка пассажирских две...
Страница 7 - или; Система иммобилизации
– открывание любой боковой двери; – открывание капота;– открывание двери задка или багажника; – включение зажигания без использования «своего» ключа; – разблокировка водительской двери; – подключение аккумуляторной батареи после ее отключения; – срабатывание дополнительного датчика,то включается тре...
Страница 8 - Двери
ВНИМАНИЕ! Продажа автомобиля, осна- щенного системой иммобилиза- ции, без ее активизации не допу- скается. Процедура активизации должна выполняться в пунктах предпродажной подготовки авто- мобилей или на аттестованных ПССС обязательно в присутствии владельца автомобиля, в случае отказа владельца от ...
Страница 11 - Сиденья
Сиденья Для регулировки передних сидений в продольном направле- нии потяните вверх – для водитель-ского сиденья или опустите вниз –для переднего пассажирского сиде-нья блокирующий рычаг 2 (рис. 9),расположенный спереди подушки 3.После установки сиденья рычаготпустите и небольшим перемеще-нием сидень...
Страница 12 - безопасности при раскладке задних сидений
чивать площадь багажного отделе-ния. В зависимости от перевозимо-го груза и количества пассажировпредусмотрена полная или частич-ная раскладка сиденья. На автомобилях с кузовом «хэтч- бек» и «универсал» и их модифика-циях перед раскладкой задних сиде-ний приведите их ремни в нерабочеесостояние. Для ...
Страница 14 - Ремни и подушки; Ремни безопасности являются; безопасности
ПРЕДУПРЕЖДЕНИЕ Регулировку положения руле- вой колонки проводите только на неподвижном автомобиле. Ремни и подушки безопасности Ремни безопасности являются эффективным средством защитыводителя и пассажиров от тяжелыхпоследствий дорожно-транспортно-го происшествия. Чтобы пристегнуться ремнем, плавно ...
Страница 15 - Беременные женщины должны; Надувная подушка; В вариантном исполнении; со срабатыванием СНПБ
Чтобы пристегнуться этим ремнем,плавно вытяните его из катушки ивставьте первый язычок в замок счерной кнопкой, после чего, потянувремень за второй язычок, перекинь-те ленты через тело и закрепитеязычок в замок с красной кнопкой,расположенный с противоположнойстороны бедер. Отстегивание ремняпроводя...
Страница 17 - Оборудование салона; регулируются
СНПБ является автономным уст- ройством разового использования ине требует обслуживания во времяэксплуатации автомобиля. Послесрабатывания СНПБ блок управле-ния и модули надувных подушекбезопасности, ремни с предвари-тельным натяжителем подлежат обязательной замене на пред-приятии сервисно-сбытовой с...
Страница 18 - полнении
светом. После окончания регулиров-ки сохраняется возможность даль-нейшей регулировки в течение 15секунд, по истечении этого времениоранжевая подсветка символа выб-ранной кнопки гаснет и последующаярегулировка возможна только посленажатия кнопки 2 или 3. Внутреннее зеркало заднего вида регулируется п...
Страница 20 - На автомобиле установлены блок-; Капот; Для доступа в моторный отсек
контакту или приведет к застре- ванию вилки (разъема). Исполь- зуйте электрические приборы только с теми вилками (разъема- ми), которые подходят к патрону прикуривателя. ПРЕДУПРЕЖДЕНИЕ Не следует касаться руками нагревательного элемента при- куривателя, это может привести к ожогу или к повреждению н...
Страница 21 - Крышка багажника; Замок крышки багажника откры-; Пробка топливного бака; Гибкий поводок 2 открытой проб-
ВНИМАНИЕ! Капот является источником повышенной травмоопасности. Поэтому при закрывании будьте предельно внимательны, особен- но если рядом находятся дети. Крышка багажника Замок крышки багажника откры- вается кнопкой на пульте ди- станционного управления или пово-ротом по часовой стрелке ключа взамк...
Страница 24 - Комбинация приборов
пельницей, потяните за верхнийвыступ крышки на себя. Для очисткипепельницы выньте ее из гнезда. 15 – рычаг стояночного тормо- за. Перемещением рычага вверх приводятся в действие колодки тор-мозов задних колес. Для возвраще-ния рычага в исходное положениенажмите на кнопку в торце рукоятки. 16 – рычаг...
Страница 26 - риантном исполнении
ВНИМАНИЕ! Во всех других случаях загора- ние сигнализатора свидетель- ствует о возникновении неис- правности, обратитесь на ПССС для ее устранения. Устранение необходимо проводить только на аттестованном ПССС. 15 – сигнализатор аварийного давления масла. Загорается крас- ным светом при включении заж...
Страница 27 - Жидкокристаллический
при включении зажигания и послезапуска двигателя гаснет. При работающем двигателе загорание сигнализатора и прерыви-стый (5 кратковременных включений)сигнал зуммера указывают на оченьнизкий уровень тормозной жидкостив бачке гидропривода тормозов. ПРЕДУПРЕЖДЕНИЕ Запрещается эксплуатация автомобиля пр...
Страница 28 - Установка часов; Модуль управления; управления светотехникой
– кнопка «Reset» 1 (рис. 31); – клавиша переключения функ- ций «по кольцу» 2 вперед; – клавиша переключения функ- ций «по кольцу» назад. Установка часов Для перехода в режим установки часов из режима индикации време-ни нажмите и удерживайте кнопку «Reset» более 3 секунд. В режиме установки времени з...
Страница 29 - Т а б л и ц а 1
30 * Значения индикации относятся на интервал с момента последнего обнуления. ** Одновременно осуществляется обнуление функций: время движения, средний расход, средняя скорость и израсходованное топливо. Название функции Единица измерения Диапазон индикации Разрешающая способность Примечание Индикац...
Страница 30 - Переключатель световой; сигнализации
Правильная регулировка угла наклона пучка света фар уменьшаетослепление водителей встречноготранспорта. 4 – выключатель задних про- тивотуманных фонарей. Включе- ние задних противотуманных фона-рей происходит при нажатии на кла-вишу выключателя, если включеныближний или дальний свет фар илипротивоту...
Страница 36 - ВАЖНО
перекрывайте и не загораживайтебагажом вентиляционные прорези идефлекторы. Отопление салона Температура воздуха, подавае- мого в салон, регулируется левымповоротным переключателем 5, аинтенсивность его подачи – положе-нием правого поворотного переклю-чателя 4 (электровентилятор) отопи-теля. После ра...
Страница 37 - Техническое; Стеклоочистители
С целью ускорения охлаждения салона включите на короткое времярежим рециркуляции. Не рекомен-дуется использовать режим рецир-куляции длительно, так как это при-водит к ухудшению микроклимата всалоне. Нельзя направлять потоки охлажденного воздуха в сторону головы, на открытые участки рук, тела, т.к. ...
Страница 38 - Ваша безопасность и охрана
ЭКСПЛУАТАЦИЯ АВТОМОБИЛЯ УСТАНОВКА НОМЕРНЫХ ЗНАКОВ Передний номерной знак 4 (рис. 39) крепится двумя самонарезаю-щими винтами 2 с шайбами 3 кпереднему бамперу 1. Перед уста-новкой заднего номерного знакавставьте в отверстия задней стенки5 пластмассовые втулки 6, устано-вите номерной знак 9 и закрепит...
Страница 43 - Двигатель с системой впрыска; Особенности; На Ваш автомобиль установлен
ВНИМАНИЕ! Тем не менее причина неис- правности должна быть устране- на на аттестованном ПССС как можно быстрее. Двигатель с системой впрыска топлива при наличии нейтрализато-ра и датчика кислорода работаетисправно в том случае, если исполь-зуется только неэтилированныйбензин. Этилированный бензин вк...
Страница 44 - ДВИЖЕНИЕ АВТОМОБИЛЯ; Движение автомобиля рекомен-
висно-сбытовой сети изготовите- ля автомобиля. Электроусилитель не работает или может отключаться в ситуа- ции: при неработающем двигателе автомобиля; при отключенном датчике ско- рости автомобиля; при длительной стоянке авто- мобиля (более 5 минут) с рабо- тающим двигателем внутреннего сгорания с ч...
Страница 45 - Движение зимой
верке соответствующей системы нааттестованном ПССС и устранениювозможных неисправностей. ПРЕДУПРЕЖДЕНИЕ При неисправностях в тормозной системе пользуйтесь услугами эвакуатора . При движении по лужам снижайте скорость во избежание акваплани-рования, которое может вызватьзанос или потерю управления. И...
Страница 47 - Антиблокировочная
Садясь впервые за руль автомо- биля, проверьте на свободномучастке дороги работу тормозов наскоростях 40, 60 и 80 км/ч, чтонеобходимо для оценки состояниятормозов и приобретения первогонавыка. ВНИМАНИЕ! Во избежание прилипания тор- мозных колодок к барабанам не ставьте автомобиль на длитель- ную сто...
Страница 48 - Торможение с участием АБС; БУКСИРОВАНИЕ; Для буксирования автомобиля
Торможение с участием АБС начинается со скорости более 8 км/чи сопровождается незначительнойпульсацией тормозной педали ихарактерным шумом исполнитель-ных механизмов АБС. АБС прекра-щает работать при снижении скоро-сти автомобиля до 3 км/ч. ВНИМАНИЕ! Загорание сигнализатора «ABS» или «EBD», за исклю...
Страница 49 - MIN; КОРОБКА ПЕРЕДАЧ; ТЕХНИЧЕСКОЕ; в картере двигателя
В данном разделе приведено крат- кое описание некоторых видов работпо техническому обслуживанию итекущему ремонту автомобиля. Полная технология технического обслуживания, ремонта и утилиза-ции имеется на аттестованных изго-товителем ПССС, которые оснаще-ны специальным оборудованием иинструментом. Те...
Страница 50 - в коробке передач
между двумя метками указателя 1(рис. 42) уровня масла. Доливкумасла проводите небольшими пор-циями через отверстие, закрывае-мое указателем уровня масла. Слив отработавшего масла про- водите через отверстие, закрывае-мое пробкой 2. СИСТЕМА ОХЛАЖДЕНИЯ ДВИГАТЕЛЯ Проверку уровня охлаждающей жидкости в ...
Страница 51 - СИСТЕМА ОМЫВА; В теплое время года допускается; тормозов
необходимости, так как при установ-ке новых колодок уровень жидкости вбачке поднимется до нормального. Сигнализатор «Отказ тормоза» загорается, когда уровень тормознойжидкости в бачке опустится нижеметки MIN , что при частично изно- шенных или новых накладках колодоктормозных механизмов говорит опот...
Страница 52 - АККУМУЛЯТОРНАЯ БАТАРЕЯ; Уровень электролита должен
Не очищайте щетки бензином или растворителем, это приведет к деформации и ухудшению ра- боты щетки. 3. При сильном загрязнении стекол и щеток, например, остат- ками насекомых (налипших на стекло), дорожной солью, эле- ментами дорожного покрытия, следует почистить внешнюю сторону стекла и щетки мягко...
Страница 53 - ШИНЫ И КОЛЕСА; Т а б л и ц а 3; Допустимые типоразмеры шин, колес; Замена колес
ШИНЫ И КОЛЕСА Периодически проверяйте дав- ление воздуха в шинах (табл. 3).Эксплуатация шин с давлением,отличающимся от рекомендованно-го, приводит к их преждевременномуизносу, а также к ухудшению устойчи-вости и управляемости автомобиля.Если наблюдается постоянное паде-ние давления воздуха в шине, ...
Страница 54 - II; ЗАМЕНА ЭЛЕМЕНТА ПИТАНИЯ
– достаньте запасное колесо и инструмент; – ослабьте на один оборот комби- нированным ключом 2 (рис. 48) болтыкрепления заменяемого колеса; – установите домкрат 1 так, чтобы выемка в упоре домкрата вошла в ребро порога ближе к заменяемомуколесу, а пята домкрата находиласьточно под упором. Для облегч...
Страница 55 - – при помощи плоской отвертки; ЗАМЕНА ПЛАВКИХ; При замене плавких предохрани-; Т а б л и ц а 4; Электрические цепи, защищаемые плавкими предохранителями
3 В. Если напряжение питания пуль-та находится в пределах нормы, топри каждом нажатии на любую кноп-ку пульта индикатор пульта загорает-ся короткой вспышкой. Если принажатии на любую кнопку пультаиндикатор загорается двумя корот-кими вспышками или не загораетсявообще, то следует заменитьэлемент пита...
Страница 58 - Для замены лампы в фонаре; номерного знака; Для замены ламп в плафоне; Плафон освещения багажни-; багажного отделения
те лампу 2 на себя. Установку новойлампы и фонаря на место проводитев обратном порядке. Фонарь освещения номерного знака Для замены лампы в фонаре освещения 1 (рис. 55) номерногознака откройте крышку багажника длядоступа к патрону лампы фонарячерез отверстия во внутренней пане-ли крышки багажника. П...
Страница 59 - Летом мойте автомобиль на; КУЗОВ; Кузов является базовым и; вещевого ящика
ВНИМАНИЕ! Ввиду наличия на рынке услуг моечных машин с различной кон- струкцией щеточных узлов, мой- ка автомобиля с использованием щеточных моечных машин может привести к потере блеска лако- красочного покрытия и снижению его защитных свойств. Поэтому, перед мойкой, предварительно запрашивайте опер...
Страница 61 - ХРАНЕНИЕ АВТОМОБИЛЯ
допускайте попадания кислот,растворов соды, тормозной жидко-сти и бензина на поверхность кузова. Чтобы не появились пятна на лакокрасочном покрытии под люкомтопливного бака при попадании бензина, протирайте поверхностьчистой ветошью после заправки. В связи с неблагоприятной эко- логической обстановк...
Страница 63 - ОСНОВНЫЕ ПАРАМЕТРЫ И РАЗМЕРЫ; Двигатель
64 ТЕХНИЧЕСКАЯ ХАРАКТЕРИСТИКА АВТОМОБИЛЯ ОСНОВНЫЕ ПАРАМЕТРЫ И РАЗМЕРЫ Тип кузова, число мест/дверей: Cедан 5/4Универсал 5/5Хэтчбек 5/5 Масса * седан универсал хэтчбек Масса снаряженная автомобиля, кг 1088 1088 1088 Полная масса автомобиля, кг 1578 1593 1578 Максимальная масса буксируемого прицепа: с...
Страница 65 - Эксплуатационные показатели*; Технические характеристики замеряются по; Номинальные заправочные объемы, л
66 *Не допускается смешивание охлаждающих жидкостей раз- ных марок Эксплуатационные показатели* Максимальная скорость, км/ч . . . . . . . . . . . . . . . . . . . . 183Время разгона от 0 до 100 км/ч . . . . . . . . . . . . . . . . . . 11,5Расход топлива, л/100 км в городском цикле ЕСЕ . . . . . . . ....
Страница 66 - ПАСПОРТНЫЕ ДАННЫЕ; Вторая строка
ПАСПОРТНЫЕ ДАННЫЕ Модель и номер автомобиля, модель двигателя, весовые данные,номер для запасных частей, вариан-ты исполнения и комплектации ука-заны в сводной табличке заводскихданных (рис. 59). Вторая строка сверху содержит номер одобрения типа транспортно-го средства. Третья строка сверху – идент...
Страница 68 - П Р И Л О Ж Е Н И Я; ГОРЮЧЕ-СМАЗОЧНЫЕ МАТЕРИАЛЫ, ОДОБРЕННЫЕ И РЕКОМЕНДУЕМЫЕ; П р и м е ч а н и я :
69 П Р И Л О Ж Е Н И Я П р и л о ж е н и е 1 ГОРЮЧЕ-СМАЗОЧНЫЕ МАТЕРИАЛЫ, ОДОБРЕННЫЕ И РЕКОМЕНДУЕМЫЕ ДЛЯ ЭКСПЛУАТАЦИИ АВТОМОБИЛЕЙ LADA PRIORA C ДВИГАТЕЛЯМИ МОДЕЛИ 21126 БЕНЗИНЫ АВТОМОБИЛЬНЫЕ Т а б л и ц а 1 Модель двигателя Марка рекомендуемого бензина ВАЗ-21126 «Премиум-95» ГОСТ Р 51105 или «Премиум...
Страница 69 - МАСЛА МОТОРНЫЕ
70 МАСЛА МОТОРНЫЕ Т а б л и ц а 2 Класс вязкости по SAE Марка масла Группа АPI ААИ Изготовитель Нормативный документ ЛУКОЙЛ ЛЮКС 5W-40, 10W-40 Б5/Д3 SJ/CF ООО «ЛЛК-Интернешнл» СТО 00044434-003 15W-40 НОРДИКС: ООО «НПО НОРДИКС» ПРЕМЬЕР 5W-40 Б5/Д3 SJ/CF г. Москва ТУ 0253-004-72073499 УЛЬТРА 15W-40 SJ...
Страница 70 - П р и м е ч а н и е .
71 Окончание табл. 2 Класс вязкости по SAE Марка масла Группа ААИ АPI Изготовитель Нормативный документ RAVENOL HPS 5W-30 Б5/Д3 SL/CF Ravensberger Schmirstoff- RAVENOL VSI 5W-40 Б5/Д3 SL/CF vertrieb GmbH RAVENOL LLO 10W-40 Б5/Д3 SL/CF Германия RAVENOL TSI 10W-40 Б5/Д3 SL/CF RAVENOL Turbo-C HD-C 15W-...
Страница 71 - МАСЛА ТРАНСМИССИОННЫЕ ДЛЯ КОРОБОК ПЕРЕДАЧ
72 РЕКОМЕНДУЕМЫЕ ТЕМПЕРАТУРНЫЕ ДИАПАЗОНЫ ПРИМЕНЕНИЯ МОТОРНЫХ МАСЕЛ Т а б л и ц а 3 Ниже –35 0W-30 25 Ниже –35 0W-40 30 –30 5W-30 25 –30 5W-40 35 –25 10W-30 25 –25 10W-40 35 –20 15W-40 45 –15 20W-40 45 Минимальная температура холодного пуска двигателя, 0 С Класс вязкости по SAE J 300 Максимальная тем...
Страница 73 - ЖИДКОСТИ ОХЛАЖДАЮЩИЕ; Т а б л и ц а 6; РОСДОТ; ЖИДКОСТИ ТОРМОЗНЫЕ; Т а б л и ц а 7
74 ЖИДКОСТИ ОХЛАЖДАЮЩИЕ Т а б л и ц а 6 АНТИФРИЗ G-48 ООО «Лукойл-Пермнефтеоргсинтез», г. Пермь ТУ 2422-087-00148636 ЛАДА-А40 ЗАО «Булгар Лада Плюс», г. Казань ТУ 2422-002-48095174 ООО «Ойл-Центр», г. Тольятти ОЖ-К ТОСОЛ-ТС ООО «Тосол-Синтез», ТУ 2422-006-36732629 ОЖ-40 ТОСОЛ-ТС г. Дзержинск ОЖ-65 Т...
Страница 74 - ЖИДКОСТИ СТЕКЛООМЫВАЮЩИЕ; МАТЕРИАЛЫ ДЛЯ АНТИКОРРОЗИОННОЙ ОБРАБОТКИ КУЗОВА
75 ЖИДКОСТИ СТЕКЛООМЫВАЮЩИЕ Т а б л и ц а 8 ОБЗОР-Э ООО «АСД», г. Тольятти ТУ 2421-001-55894651 ОБЗОР АООТ «Орскнефтеоргсинтез», г. Орск ТУ 38.302-20-20 ОБЗОР-2 ООО «Мультифарма-Самара» г. Самара ТУ 2384-170-00151727 Марка жидкости Изготовитель Нормативный документ МАТЕРИАЛЫ ДЛЯ АНТИКОРРОЗИОННОЙ ОБР...
Страница 76 - П р и л о ж е н и е 2; Лампы, применяемые на автомобиле
77 П р и л о ж е н и е 2 Лампы, применяемые на автомобиле 1 Фара:– лампа дальнего света АКГ12–55–2 (H1) – лампа ближнего света АКГ12–55–2 (H1) – лампа указателя поворота А12–21–4 (PY21W) – лампа габаритного огня А12–5–2 (W5W) 2 Лампа противотуманной фары АКГ 12–55–1 (Н3)АКГ 12–55–2 (Н1) 3 Фонарь зад...
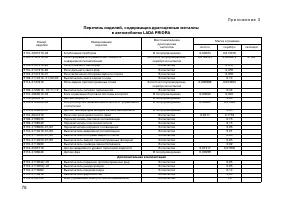
Страница 77 - П р и л о ж е н и е 3; Перечень изделий, содержащих драгоценные металлы
78 П р и л о ж е н и е 3 Перечень изделий, содержащих драгоценные металлы в автомобилях LADA PRIORA Номер изделия Наименование изделия Местонахождение драгоценных металлов Масса в граммах золото серебро палладий 2110-3801010-04 Комбинация приборов В полупроводниках 0,00023 0,014016 2105-3747010-03 Р...