Страница 13 - Konfiguration mit Paneel Typ 2; личий имеющихся режимов и областей их применения.
13 DEUTSCH TECHNISCHER PASS Gedämpft ofen Konfiguration mit Paneel Typ 2 HEIZMODUS Temperatur Zweckbestimmung Heizung (oben und unten) 30–250°C Zum Garen von traditionellen Backwaren und Braten auf der gleichen Ebene. Dieser Modus wird für Kuchen mit saftigen Füllungen empfohlen. Konvektion 50–250°C...
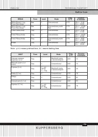
Страница 80 - T E S T F O O D ACCO R D I N G TO
80 TECHNICAL PASSPORT ENGLISH Built in Oven T E S T F O O D ACCO R D I N G TO E N 60350-1 RECIPESA Дополнитель - ные принад - лежности F OC Уровень Дли - тель - ность (мину - ты) Предвари - тельный нагрев Sponge cake Spring form ø 26 см 170 1 30–35 No Sponge cake Spring form ø 26 см 160 1 30–35 No S...
Страница 86 - П Р Е ДУ П Р Е Ж Д Е Н И Я
86 РУКОВОДСТВО ПОЛЬЗОВАТЕЛЯ РУССКИЙ Встроенный духовой шкаф играть с бытовым прибором, а также рядом с ним. Выполнение чистки при - бора или операций, связанных с об - щим уходом, разрешается проводить детям, которым уже исполнилось 8 лет, и только под постоянным присмотром взрослого. Â Не разрешайт...
Страница 87 - Опасность ошпаривания
87 РУССКИЙ РУКОВОДСТВО ПОЛЬЗОВАТЕЛЯ Встроенный духовой шкаф Опасность ошпаривания 1. Доступные для прикосновения ча - сти во время работы духового шкафа могут нагреваться до высокой темпе - ратуры. Не прикасайтесь к горячим де - талям. Не позволяйте детям подходить близко к прибору. 2. Из открытой д...
Страница 88 - В О З М ОЖ Н Ы Е
88 РУКОВОДСТВО ПОЛЬЗОВАТЕЛЯ РУССКИЙ Встроенный духовой шкаф В О З М ОЖ Н Ы Е П О В Р Е Ж Д Е Н И Я И И Х П Р И Ч И Н Ы 1. Дополнительные принадлежности, фольга, пергаментная бумага или по - суда на дне рабочей камеры: не по - мещайте принадлежности на дно ра - бочей камеры. Не накрывайте дно рабочей...
Страница 89 - УС ТА Н О В К А
89 РУССКИЙ РУКОВОДСТВО ПОЛЬЗОВАТЕЛЯ Встроенный духовой шкаф УС ТА Н О В К А Для обеспечения безопасной эксплу - атации этого прибора его установка должна быть выполнена профессио - нальными мастерами с соблюдением требований инструкции по установке. На повреждения, возникшие вслед - ствие неправильн...
Страница 90 - П О Р Я Д О К И С П О Л Ь З О В А Н И Я П Р И Б О РА; КО Н Ф И ГУ РА Ц И Я С П А Н Е Л Ь Ю 1; Внешний вид и состав панели управления; Общий порядок использования:; время или температуру, запустить процесс приготовления.
90 РУКОВОДСТВО ПОЛЬЗОВАТЕЛЯ РУССКИЙ Встроенный духовой шкаф П О Р Я Д О К И С П О Л Ь З О В А Н И Я П Р И Б О РА КО Н Ф И ГУ РА Ц И Я С П А Н Е Л Ь Ю 1 - ГО Т И П А Внешний вид и состав панели управления ручка 1 ручка 2 Общий порядок использования: выбрать режим работы (функцию), настроить время или...
Страница 91 - КО Н Ф И ГУ РА Ц И Я С П А Н Е Л Ь Ю 2
91 РУССКИЙ РУКОВОДСТВО ПОЛЬЗОВАТЕЛЯ Встроенный духовой шкаф КО Н Ф И ГУ РА Ц И Я С П А Н Е Л Ь Ю 2 - ГО Т И П А Внешний вид и состав панели управления ручка 1 ручка 2 Общий порядок использования: выбрать режим работы (функцию), настроить время или температуру, запустить процесс приготовления. 1. ЛАМ...
Страница 92 - П Е Р Е Д
92 РУКОВОДСТВО ПОЛЬЗОВАТЕЛЯ РУССКИЙ Встроенный духовой шкаф П Е Р Е Д И С П О Л Ь З О В А Н И Е М Б Ы ТО В О Г О П Р И Б О РА Перед первым использованием при - бора для приготовления блюда не - обходимо очистить рабочую камеру и дополнительные принадлежности. 1. Удалите все наклейки, пленки для защи...
Страница 93 - Р Е Ж И М Ы Н А Г Р Е В А
93 РУССКИЙ РУКОВОДСТВО ПОЛЬЗОВАТЕЛЯ Встроенный духовой шкаф Р Е Ж И М Ы Н А Г Р Е В А Конфигурация с панелью 1-го типа Режимы нагрева Температура Назначение Традиционный (верхний и нижний) нагрев 30–250 °C Для приготовления традиционной выпечки и жаркого на одном уровне. Этот режим реко - мендуется ...
Страница 94 - Конфигурация с панелью 2-го типа
94 РУКОВОДСТВО ПОЛЬЗОВАТЕЛЯ РУССКИЙ Встроенный духовой шкаф Конфигурация с панелью 2-го типа Режимы нагрева Температура Назначение Традиционный (верхний и нижний) нагрев 30–250°C Для приготовления традиционной выпечки и жаркого на одном уровне. Этот режим реко - мендуется для пирогов с сочной начинк...
Страница 95 - Вентилятор системы
95 РУССКИЙ РУКОВОДСТВО ПОЛЬЗОВАТЕЛЯ Встроенный духовой шкаф Примечания: 1. Для размораживания больших пор - ций продуктов можно снять боковые решетки и поставить контейнер на дно рабочей камеры. 2. Для подогрева посуды рекомен - дуется снять боковые решетки и ис - пользовать режимы нагрева «Гриль с ...
Страница 96 - И С П О Л Ь З О В А Н И Е П Р И Б О РА
96 РУКОВОДСТВО ПОЛЬЗОВАТЕЛЯ РУССКИЙ Встроенный духовой шкаф И С П О Л Ь З О В А Н И Е П Р И Б О РА Общий порядок использования 1. Вращая ручку 1 в режиме ожидания, выберите необходимый режим приго - товления (функцию). 2. Настройте время или температу - ру приготовления с помощью кнопки TEMP/TIME и ...
Страница 97 - Функция защиты от доступа
97 РУССКИЙ РУКОВОДСТВО ПОЛЬЗОВАТЕЛЯ Встроенный духовой шкаф 5. Дверь духового шкафа не допуска - ется использовать для размещения других предметов, иначе стекло может лопнуть. Функция защиты от доступа детей Ваш прибор оснащен функцией защи - ты от доступа детей, которая позволяет предотвратить его ...
Страница 98 - Дополнительные; Проволочная решетка
98 РУКОВОДСТВО ПОЛЬЗОВАТЕЛЯ РУССКИЙ Встроенный духовой шкаф до тех пор, пока время приготовления не достигнет 0, или не будет нажата кнопка ВКЛ/ОТКЛ (ON/OFF) для воз - врата в режим ожидания. 1. Чтобы перейти в режим «шаббат» (Sabbath) из режима ожидания, когда еще не был выбран режим приготов - лен...
Страница 99 - Установка дополнительных; Примечание
99 РУССКИЙ РУКОВОДСТВО ПОЛЬЗОВАТЕЛЯ Встроенный духовой шкаф Противень вы можете использовать, например, для сбора стекающего жира или для приготовления продуктов, вы - деляющих сок. Используйте только оригинальные дополнительные принадлежности, по - скольку они максимально адаптирова - ны к вашему п...
Страница 100 - Вертел
100 РУКОВОДСТВО ПОЛЬЗОВАТЕЛЯ РУССКИЙ Встроенный духовой шкаф Защита от опрокидывания Â Дополнительные принадлеж - ности можно выдвигать примерно наполовину, в этом положении они устойчиво фиксируются. Функция фик - сации предотвращает опрокидывание принадлежностей под действием веса продуктов и сами...
Страница 102 - Э Н Е Р Г О Э Ф Ф Е КТ И В Н О Е
102 РУКОВОДСТВО ПОЛЬЗОВАТЕЛЯ РУССКИЙ Встроенный духовой шкаф Э Н Е Р Г О Э Ф Ф Е КТ И В Н О Е И С П О Л Ь З О В А Н И Е 1. Извлекайте из духового шкафа все дополнительные принадлежности, ко - торые не требуются в процессе приго - товления блюда или выпечки. 2. Не открывайте дверь духового шка - фа в...
Страница 105 - Советы
105 РУССКИЙ РУКОВОДСТВО ПОЛЬЗОВАТЕЛЯ Встроенный духовой шкаф Уплотнитель двериНе снимайте его Горячий мыльный раствор: Очистите с помощью ткани для мытья посуды. Не допускается скрести по - верхности! Крышка двери из нержавеющей стали Чистка поверхностей из нержавеющей стали: Следуете указаниям инст...
Страница 106 - Д В Е Р Ь ДУ Х О В О Г О
106 РУКОВОДСТВО ПОЛЬЗОВАТЕЛЯ РУССКИЙ Встроенный духовой шкаф 2. Немедленно удаляйте пятна от из - вестковых отложений, жира, крахмала и яичного белка. 3. По возможности как можно быстрее удаляйте остатки пищи, содержащие сахар, т.е. пока они еще теплые. 4. Используйте для жарки подходя - щую посуду,...
Страница 107 - Снятие двери духового шкафа
107 РУССКИЙ РУКОВОДСТВО ПОЛЬЗОВАТЕЛЯ Встроенный духовой шкаф 4. Снятие двери духового шкафа 1. Полностью откройте дверь духового шкафа. 2. Переведите в открытое положение блокировочные рычаги справа и слева двери. 3. Закройте дверь прибора до упора. 4. Возьмитесь за дверь слева и справа обеими рукам...
Страница 109 - Крепление телескопических
109 РУССКИЙ РУКОВОДСТВО ПОЛЬЗОВАТЕЛЯ Встроенный духовой шкаф влеките боковые направляющие (ре - шетки), как показано на рисунке. 1. Установите боковые направляющие обратно в рабочую камеру, снача - ла правильно вставьте заднюю часть боковых направляющих в отверстие в рабочей камере, а затем вставьте...
Страница 110 - Снятие телескопических; (в качестве примера рассмотрены; Самоочищающиеся щитки
110 РУКОВОДСТВО ПОЛЬЗОВАТЕЛЯ РУССКИЙ Встроенный духовой шкаф Снятие телескопических направляющих (в качестве примера рассмотрены направляющие с левой стороны, все действия с направляющими с правой стороны выполняются аналогично) 1. Поднять телескопическую направ - ляющую за один конец с усилием. 2. ...
Страница 111 - Снятие самоочищающихся
111 РУССКИЙ РУКОВОДСТВО ПОЛЬЗОВАТЕЛЯ Встроенный духовой шкаф Снятие самоочищающихся щитков Самоочищающиеся щитки могут быть сняты для более удобной чистки бо - ковых поверхностей рабочей камеры прибора: 1. Отодвиньте край боковой решетки от стенки рабочей камеры в горизон - тальном направлении. Само...
Страница 112 - Замена кабеля питания
112 РУКОВОДСТВО ПОЛЬЗОВАТЕЛЯ РУССКИЙ Встроенный духовой шкаф Замена кабеля питания На рисунке (позиция A) показано ме - сто расположения клеммной короб - ки с задней стороны наружной части корпуса (в закрытом положении). Порядок выполнения работ: a. Отклю - чите питание. Используя небольшую плоскую ...
Страница 113 - УС Т РА Н Е Н И Е ОТ К Л О Н Е Н И Й В РА Б ОТ Е; сто устранены самостоятельно.
113 РУССКИЙ РУКОВОДСТВО ПОЛЬЗОВАТЕЛЯ Встроенный духовой шкаф УС Т РА Н Е Н И Е ОТ К Л О Н Е Н И Й В РА Б ОТ Е И Н Е И С П РА В Н О С Т Е Й Â Если возникло какое-либо отклонение в работе или неисправность, то пе - ред обращением в службу послепродажного обслуживания убедитесь в том, что эта ситуации ...
Страница 114 - Обратите Ваше внимание!
114 РУКОВОДСТВО ПОЛЬЗОВАТЕЛЯ РУССКИЙ Встроенный духовой шкаф После завершения процесса приготовления может быть слышен шум и наблюдаться перемещение воздуха вблизи панели управления. Это происходит из-за того, что продолжает работать вентилятор системы охлаждения, который предотвра - щает накопление...
Страница 115 - Максимальное время работы; Опасность поражения электрическим; Опасность ожогов
115 РУССКИЙ РУКОВОДСТВО ПОЛЬЗОВАТЕЛЯ Встроенный духовой шкаф Предупреждение. Опасность поражения электрическим током Неправильное выполнение ремонта может приводить к возникновению опасных ситуаций. Ремонт прибора, а также замена поврежденных кабелей питания могут проводиться только од - ним из наши...
Страница 116 - Стеклянный плафон; Примечания
116 РУКОВОДСТВО ПОЛЬЗОВАТЕЛЯ РУССКИЙ Встроенный духовой шкаф будьте установить на место боковую сетку. Лампа подсветки в углу 1 2 Стеклянный плафон Если стеклянный плафон галогенной лампы поврежден, его необходимо за - менить. Вы можете приобрести новый стеклянный плафон в службе после - продажного ...
Страница 117 - СО В Е Т Ы И Р Е КО М Е Н Д А Ц И И
117 РУССКИЙ РУКОВОДСТВО ПОЛЬЗОВАТЕЛЯ Встроенный духовой шкаф Специалисты компании-изготовителя об - ладают необходимым уровнем профес - сионализма. Поэтому для выполнения ремонта вашей техники следует привле - кать обученных специалистов сервисно - го центра, которые будут использовать оригинальные ...
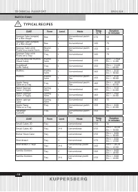
Страница 119 - С ТА Н Д А Р Т Н Ы Е Р Е Ц Е П Т Ы
119 РУССКИЙ РУКОВОДСТВО ПОЛЬЗОВАТЕЛЯ Встроенный духовой шкаф ВЫПЕЧКА (ПИРОГИ) Форма Уро - вень Режим Темп. °C Время в минутах Бисквитный пирог (простой) квадратной формы Ква - дратная форма 2 Традиционный (верхний и нижний) нагрев с вентиля - тором 170 50 Бисквитный пирог (простой) квадратной формы ...
Страница 121 - И С П Ы ТА Н И Е Р Е Ж И М О В П Р И Г ОТО В Л Е Н И Я СО ГЛ АС Н О
121 РУССКИЙ РУКОВОДСТВО ПОЛЬЗОВАТЕЛЯ Встроенный духовой шкаф МЯСО Форма Уровень Режим Темп. °C Время в ми - нутах Нежная говяжья вырезка 1,6 кг Противень 2 Двойной гриль с вентилятором 180 55 Мясной рулет (1 кг мяса) Противень 1 Традиционный (верхний и ниж - ний) нагрев 180 75 Курица (1 кг) Противен...
Страница 122 - Э Н Е Р Г О Э Ф Ф Е КТ И В Н О С Т Ь
122 РУКОВОДСТВО ПОЛЬЗОВАТЕЛЯ РУССКИЙ Встроенный духовой шкаф Яблочный пирог Разъемная форма ø 20 см 170 1 80–85 Нет Яблочный пирог Разъемная форма ø 20 см 160 1 70–80 Нет Хлеб 1 противень 210 1 30–35 Да Хлеб 1 противень 190 1 30–35 Да Тосты Решетка Макс. 5 6–8 Да 5 мин Курица Решетка и про - тивень ...
Страница 123 - П Р И Г ОТО В Л Е Н И Е В Э КО
123 РУССКИЙ РУКОВОДСТВО ПОЛЬЗОВАТЕЛЯ Встроенный духовой шкаф 5. Для проведения измерения не - обходимо закрыть дверь, даже если кабель нарушает герметичность про - кладки во время измерения. Чтобы гарантировать отсутствие негативных последствий, связанных с нарушени - ем герметичности, в связи с пол...
Страница 124 - Т Е Х Н И Ч Е С К И Е Х А РА КТ Е Р И С Т И К И
124 РУКОВОДСТВО ПОЛЬЗОВАТЕЛЯ РУССКИЙ Встроенный духовой шкаф Т Е Х Н И Ч Е С К И Е Х А РА КТ Е Р И С Т И К И ( Е С 65/2014 И Е С 66/2014 ) Модель HT 612-Black Номинальное напряжение 220–240 В перем. тока Номинальная частота 50–60 Гц Мощность 3,2 кВт Масса духового шкафа 32 кг Количество рабочих каме...
Страница 125 - Год; Фирма-производитель оставляет за собой право на внесение; Эм энд Джи Хаусгерате ГмбХ
125 РУССКИЙ РУКОВОДСТВО ПОЛЬЗОВАТЕЛЯ Встроенный духовой шкаф СЕРИЙНЫЙ НОМЕР: Год XXXXXXXXXXX Месяц Фирма-производитель оставляет за собой право на внесение изменений в конструкцию, комплектацию и дизайн приборов. Изготовитель: Эм энд Джи Хаусгерате ГмбХ Потсдамер стр, 92 10785 Берлин Заводы-филиалы ...
Страница 127 - УС Л О В И Я ГА РА Н Т И Й Н О Г О О Б С Л УЖ И В А Н И Я.
127 РУССКИЙ РУКОВОДСТВО ПОЛЬЗОВАТЕЛЯ Встроенный духовой шкаф УС Л О В И Я ГА РА Н Т И Й Н О Г О О Б С Л УЖ И В А Н И Я. Внимательно ознакомьтесь с условиями гарантийного обслуживания. Изготовитель оставляет за собой право вносить изменения в конструкцию, комплектацию или технологию изготовления, так...
Страница 128 - в данном гарантийном документе и инструкции по эксплуатации.
128 РУКОВОДСТВО ПОЛЬЗОВАТЕЛЯ РУССКИЙ Встроенный духовой шкаф 5. Гарантийный ремонт выполняется бесплатно авторизованным сервисным центром на дому у потребителя или в мастерской по усмотрению сервисного центра. 6. Прежде чем вызвать специалиста сервисного центра, внимательно прочитайте инструкцию по ...
Страница 129 - от номинальных значений.
129 РУССКИЙ РУКОВОДСТВО ПОЛЬЗОВАТЕЛЯ Встроенный духовой шкаф 6. Повреждения техники или нарушений ее нормальной работы, вызванных сверхнормативными отклонениями параметров электро-, газо-, или водоснабжения от номинальных значений. 7. Внешние и внутренние загрязнения, царапины, трещины, вмятины, пот...
Страница 130 - солнечного света на прибор.
130 РУКОВОДСТВО ПОЛЬЗОВАТЕЛЯ РУССКИЙ Встроенный духовой шкаф для установки холодильника должно быть защищено от прямого попадания солнечного света на прибор. Установка и подключение крупной бытовой техники, включая встраиваемую бытовую технику. 1. Для установки и подключения изделий производитель ре...
Страница 133 - ГАРАНТИЙНЫЙ СЕРТИФИКАТ
133 Все условия гарантии регулируются действующим Законодательством РФ. Гарантийные обязательства не распространяются на технику с неисправностями, возникшими вследствие нарушения технологических требований, описанных в Инструкции по эксплуатации, в том числе: – нестабильности параметров электросети...