Страница 2 - RU; Содержание; KUPPERSBERG
2 RU Содержание СВЕДЕНИЯ ПО ТЕХНИКЕ БЕЗОПАСНОСТИ ...................................................................................... 3 Меры безопасности .............................................................................................................................. 6 Преимущества ми...
Страница 3 - СВЕДЕНИЯ ПО ТЕХНИКЕ БЕЗОПАСНОСТИ; ВНИМАНИЕ; Общие правила техники безопасности
3 RU СВЕДЕНИЯ ПО ТЕХНИКЕ БЕЗОПАСНОСТИ Перед установкой и эксплуатацией прибора внимательно ознакомьтесь с приложенным руководством. Производитель не несет ответственность за травмы и повреждения, полученные/вызванные неправильной установкой и эксплуатацией. Позаботьтесь о том, чтобы данное руководст...
Страница 6 - Меры безопасности
6 RU Меры безопасности Предупреждение! Никогда не оставляйте работающую печь без присмотра, особенно если используете посуду из бумаги, пластика и других горючих материалов: они могут оплавиться и загореться. ОПАСНОСТЬ ПОЖАРА! Предупреждение! Если вы заметили дым или огонь, не открывайте дверцу печи...
Страница 7 - Преимущества микроволн; Как работает микроволновая печь
7 RU Преимущества микроволн В традиционных духовках тепло, излучаемое электрическим нагревательным элементом или газовой горелкой, снаружи постепенно проникает внутрь продуктов. За счет этого большее количество энергии расходуется на нагрев воздуха, частей духовки и посуды. В микроволновой печи тепл...
Страница 8 - Описание микроволновой печи
8 RU Описание микроволновой печи 1. Панель управления 4. Керамическое основание 2. Смотровое стекло на дверце 5. Панель управления 3. Drop-down grill 6. Решетка 1. Επιλογέας λειτουργίας 5. Сенсор выбора часов 2. Сенсоры Старт и Стоп 6. Кнопка открывания 3. датчик ОК 7. Поворотный регулятор 4. Οθόνη ...
Страница 9 - Описание режимов
9 RU Описание режимов Символ Режим Мощность микроволн Продукты Микроволны 90 Вт Медленное размораживание деликатных продуктов; поддержание пищи в подогретом состоянии. 180 Вт Приготовление с небольшим нагревом; кипячение риса. Быстрое размораживание. 360 Вт Плавление сливочного масла. Подогревание д...
Страница 10 - Основные функции и режимы; Установка часов
10 RU Основные функции и режимы Установка часов После первоначального подключения вашей печи в сеть или после сбоя питания индикатор часов будет мигать, указывая на то, что время отображается неправильно. Чтобы настроить часы, выполните следующие действия: 1. Нажмите на клавишу Часы (3), когда на ве...
Страница 11 - Основные настройки; Микроволны
11 RU Основные настройки Микроволны Используйте данную функцию для приготовления и нагрева овощей, картофеля, риса, рыбы и мяса. 1. Поворачивайте поворотный переключатель выбора функций (1) до тех пор, пока не замигает индикатор функции Микроволны. Верхний дисплей показывает мигающую 1:00. 2. Повора...
Страница 12 - Используйте данную функцию
12 RU Основные настройки Микроволны + Гриль Используйте данную функцию для приготовления лазаньи, дичи, поджаренного картофеля и блюд с хрустящей корочкой 1. Поворачивайте поворотный переключатель выбора функций (1) до тех пор, пока не замигает индикатор функции Микроволны + Гриль. Верхний дисплей п...
Страница 13 - Используйте данную функцию
13 RU Основные настройки Разморозка по весу (автоматическая) Используйте данную функцию для быстрой разморозки мяса, дичи, рыбы, фруктов и хлеба. 1. Поворачивайте поворотный переключатель выбора функций (1) до тех пор, пока не замигает индикатор функции Разморозка по весу. Верхний дисплей мигающую и...
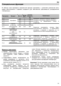
Страница 14 - Специальные функции; Используйте эту функцию
14 RU Специальные функции Специальные функции: Разогрев продуктов Используйте эту функцию для разогрева различных видов продуктов. 1. Поворачивайте поворотный переключатель выбора функций (1) до тех пор, пока не замигает индикатор. Верхний дисплей отображения типа пищи “P1”. 2. Поворачивайте поворот...
Страница 16 - Пауза; Изменение параметров; Отмена приготовления; Окончание приготовления Ende
16 RU Во время работы печи... Пауза Вы можете в любой момент остановить процесс приготовления, один раз прикоснувшись к сенсору Стоп или открыв дверцу печи. В обоих случаях: Немедленно прекращается излучение микроволн . Нагревательный элемент гриля перестает работать, но остается горячим . Опасность...
Страница 17 - Размораживание
17 RU Размораживание В таблице ниже приведено время размораживания и последующей выдержки (для равномерного оттаивания) в зависимости от типа и веса продуктов, а также даны рекомендации . Продукт Вес, г Время размораживания, мин. Время выдержки, мин. Рекомендации Порционное мясо, телятина, говядина,...
Страница 18 - Основные рекомендации по размораживанию
18 RU Размораживание Основные рекомендации по размораживанию 1. При размораживании используйте посуду, пригодную для микроволновых печей (фарфор, стекло, подходящий пластик). 2. Режим «Размораживание по весу» и соответствующие таблицы относятся к размораживанию сырых продуктов. 3. Время размораживан...
Страница 19 - Приготовление с помощью микроволн
19 RU Приготовление с помощью микроволн Предупреждение! Перед приготовлением с использованием микроволн внимательно прочтите раздел «Меры безопасности». Следуйте приведенным ниже рекомендациям при приготовлении с использованием микроволн: При приготовлении или подогреве проткните кожуру или кожицу п...
Страница 20 - Таблица и рекомендации – Приготовление овощей; Таблица и рекомендации – Приготовление рыбы
20 RU Приготовление с помощью микроволн Таблица и рекомендации – Приготовление овощей Продукт Количество, г Количество добавленной жидкости,мл Мощность, Вт Время, мин. Время выдержки, мин. Рекомендации Цветная капуста Брокколи Грибы 500 300 250 100 50 25 800 800 800 9-11 6-8 6-8 2-3 2-3 2-3 Нарезать...
Страница 21 - Приготовление на гриле; Таблица и рекомендации – Гриль
21 RU Приготовление на гриле Для улучшения результата при приготовлении на гриле металлическую используйте решетку, поставляемую в комплекте с печью. Установите решетку так, чтобы она не касалась металлических поверхностей камеры печи, в противном случае существует опасность электрического дугового ...
Страница 22 - Таблица и рекомендации – Микроволны + гриль
22 RU Приготовление на гриле Таблица и рекомендации – Микроволны + гриль Режим «Микроволны + гриль» идеален для быстрого приготовления и одновременного подрумянивания верха блюд. Поэтому в данном режиме можно также готовить на гриле или запекать блюда под сыром (гратинировать). Гриль и микроволны ра...
Страница 23 - Подходящая посуда; Режим «Микроволны»; Крышки
23 RU Подходящая посуда Режим «Микроволны» При использовании микроволн помните, что они отражаются металлическими поверхностями, а стекло, фарфор, глина, пластик и бумага пропускают микроволны. По этой причине в микроволновой печи нельзя использовать металлические сковороды и посуду или емкости с ме...
Страница 24 - Таблица типов посуды
24 RU Подходящая посуда Таблица типов посуды В таблице ниже представлены типы посуды, пригодной для использования в микроволновой печи. Режим Посуда Микроволны Гриль Микроволны + гриль Размораживание/ подогрев Приготовление Стекло и фарфор 1) Для использования в домашнем хозяйстве, неогнеупорные, пр...
Страница 25 - Очистка и обслуживание микроволновой печи; Передние поверхности
25 RU Очистка и обслуживание микроволновой печи Очистка, практически, единственное мероприятие необходимое для обслуживания микроволновой печи. Предупреждение! Регулярно очищайте печь. Удаляйте осевшие на стенках камеры остатки пищи. Если вы не следите за чистотой печи, ее поверхности будут портитьс...
Страница 26 - Потолок камеры печи; элемент; Оборудование
26 RU Очистка и обслуживание микроволновой печи Потолок камеры печи При сильнозагрязненном потолке камеры для облегчения очистки можно опустить нагревательный элемент гриля. Во избежание ожогов подождите, пока нагревательный элемент полностью остынет. Опустите гриль следующим образом: 1. Поверните д...
Страница 27 - Что делать, если микроволновая печь не работает?
27 RU Что делать, если микроволновая печь не работает? ПРЕДУПРЕЖДЕНИЕ! Ремонтные работы должны производиться только техническим специалистом. Ремонт, выполненный не авторизованным со стороны производителя лицом, опасен. В следующих случаях нет необходимости обращаться в сервисный центр, так как вы м...
Страница 28 - Технические данные; Защита окружающей среды; Устранение упаковки
28 RU Технические данные Переменное напряжение ........................................................................... (см. табличку данных) Потребляемая мощность ........................................................................... 2500 Вт\ Мощность гриля. ...................................
Страница 29 - Руководство по установке; Перед установкой; Для установки воспользуйтесь отдельной прилагаемой
29 RU Руководство по установке Перед установкой Проверьте, соответствует ли напряжение в сети , к которой подключается аппарат, значению, указанному в табличке данных прибора. Откройте дверцу микроволновой печи, выньте все принадлежности и устраните упаковочные материалы. Не снимайте с потолка камер...
Страница 58 - Установка
Installation / Установка 17 302 20 RU Вдвиньте микроволновую печь в шкаф до отказа и выставьте ее по центру. Откройте дверцу микроволновой печи и прикрепите печь к шкафу с помощью четырех предназначенных для этого винтов. Вставьте винты в отверстия на передней панели. EN Push oven completely into th...