Котел ZOTA LUX ZL 80 - инструкция пользователя по применению, эксплуатации и установке на русском языке. Мы надеемся, она поможет вам решить возникшие у вас вопросы при эксплуатации техники.
Если остались вопросы, задайте их в комментариях после инструкции.
"Загружаем инструкцию", означает, что нужно подождать пока файл загрузится и можно будет его читать онлайн. Некоторые инструкции очень большие и время их появления зависит от вашей скорости интернета.

стр.15
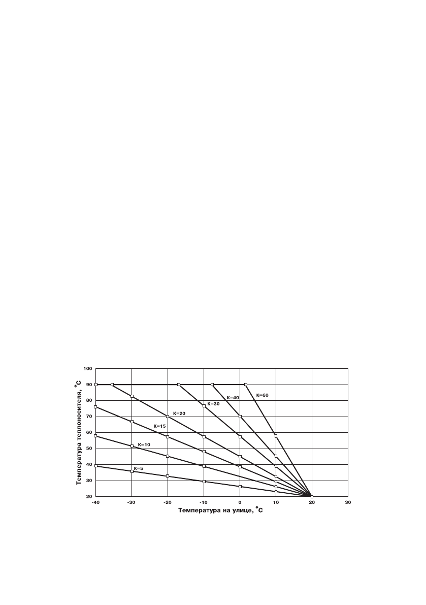
Рис.9 График погодозависимого регулирования
7.16. При подключении внешнего программируемого термостата к колодкам
Т1, Т2 нагрев в котле включается, если контакты реле термостата замкнуты.
При размыкании контактов, начинает периодически мигать индикатор
«ТЕРМОСТАТ» (9), Рис.2, и нагрев всех ступеней отключается одновременно.
Внешний термостат можно использовать как программируемый по времени
таймер, который включает и отключает нагрев в определенное программой
время. При этом датчик температуры воздуха помещения подключается к
котлу и работает в обычном режиме. Если внешний термостат используется как
таймер с регулировкой графика температуры в помещении по определенной
программе, то датчик температуры воздуха в помещении (колодки А-,
В+), необходимо отключить. При подключении внешнего термостата
внутренний необходимо отключить для обеспечения корректной работы
электроводонагревателя.
7.17. Для правильной работы внутреннего термостата в соответствии с
указанными режимами необходимо установить внутренние часы в соответствии
с вашим часовым поясом. Если время отличается от установленного на
заводе (время московское +4 часа), то необходимо его переустановить в
пользовательском меню (см. Прил. 1, П-5, П-6, П-7).
7.18. Режим погодозависимого регулирования, который предусмотрен в
водонагревателе, используется для регулирования температуры теплоносителя
в отопительном контуре в зависимости температуры на улице в том случае,
если нет возможности регулировать температуру по датчику температуры
в помещении. Датчик температуры воздуха в помещении при этом не
подключается. При подключении датчика температуры воздуха в помещении
он работает как ограничитель максимальной температуры в помещении.
При работе в этом режиме, температура теплоносителя в отопительном
контуре регулируется по графику (Рис.9). На графике имеется несколько
линий, наклон которых учитывает теплопотери здания. В случае, если
здание утеплено недостаточно, для компенсации теплопотери потребуется
несколько большая температура теплоносителя в отопительном контуре
и, соответственно, наклон линии будет крутым. Если теплоизоляция дома
хорошая, то наклон линии более пологий.





