Котел Wolf CGG-3-24 24,0 кВт природный газ E - инструкция пользователя по применению, эксплуатации и установке на русском языке. Мы надеемся, она поможет вам решить возникшие у вас вопросы при эксплуатации техники.
Если остались вопросы, задайте их в комментариях после инструкции.
"Загружаем инструкцию", означает, что нужно подождать пока файл загрузится и можно будет его читать онлайн. Некоторые инструкции очень большие и время их появления зависит от вашей скорости интернета.

39
3066239_201907
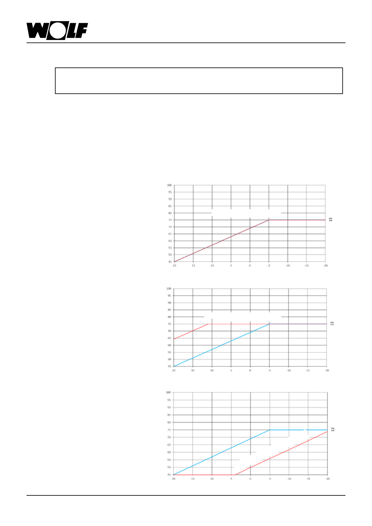
Описание параметров
управления HG
Коррекция температуры -4...+4:
Температура подающей линии (коррекция) °C =
Температура подающей линии согласно кривой нагрева + (значение H54/2,5) x коррекция температуры (+/-4)
Согласно кривой нагрева при наружной температуре -10 °C температура
подающей линии в режиме отопления будет составлять 65,6 °C.
= 56 °C + ((12/2,5)x2) K
= 56 °C + (4,8x2) K
= 56 °C + 9,6 K
= 65,6 °C
Пример: коррекция температуры +2
Пример:
Коррекция температуры: 0
H08 - (подающая линия, режим макс.
нагрева) 75 °C
H21 - (котел, мин. температура) 45 °C
H54 - (кривая нагрева) 12
Крив
ая нагрев
а
Крив
ая нагрев
а
Крив
ая нагрев
а
Темпера
ту
ра по
дающ
ей линии (°C)
Выбор температура от -4 до +4 для контура отопления
Изменение температуры подающей линии на кривой нагрева между -4 до +4 происходит следующим образом:
Пример:
Коррекция температуры:+4
H08 - (подающая линия, режим макс.
нагрева) 75 °C
H21 - (котел, мин. температура) 45 °C
H54 - (кривая нагрева) 12
Наружная температура (°C)
Наружная температура (°C)
Темпера
ту
ра по
дающ
ей линии (°C)
Пример:
Коррекция температуры:-4
H08 - (подающая линия, режим макс.
нагрева) 75 °C
H21 - (котел, мин. температура) 45 °C
H54 - (кривая нагрева) 12
Наружная температура (°C)
Темпера
ту
ра по
дающ
ей линии (°C)
Коррекция температуры
: 0
Коррекция температуры: +4
Коррекция т
емпера
туры
: -4













