Котел Beretta BOILER 28 B S I - инструкция пользователя по применению, эксплуатации и установке на русском языке. Мы надеемся, она поможет вам решить возникшие у вас вопросы при эксплуатации техники.
Если остались вопросы, задайте их в комментариях после инструкции.
"Загружаем инструкцию", означает, что нужно подождать пока файл загрузится и можно будет его читать онлайн. Некоторые инструкции очень большие и время их появления зависит от вашей скорости интернета.

Н
Н
А
А
С
С
Т
Т
Е
Е
Н
Н
Н
Н
Ы
Ы
Е
Е
Г
Г
А
А
З
З
О
О
В
В
Ы
Ы
Е
Е
К
К
О
О
Т
Т
Л
Л
Ы
Ы
B
B
O
O
I
I
L
L
E
E
R
R
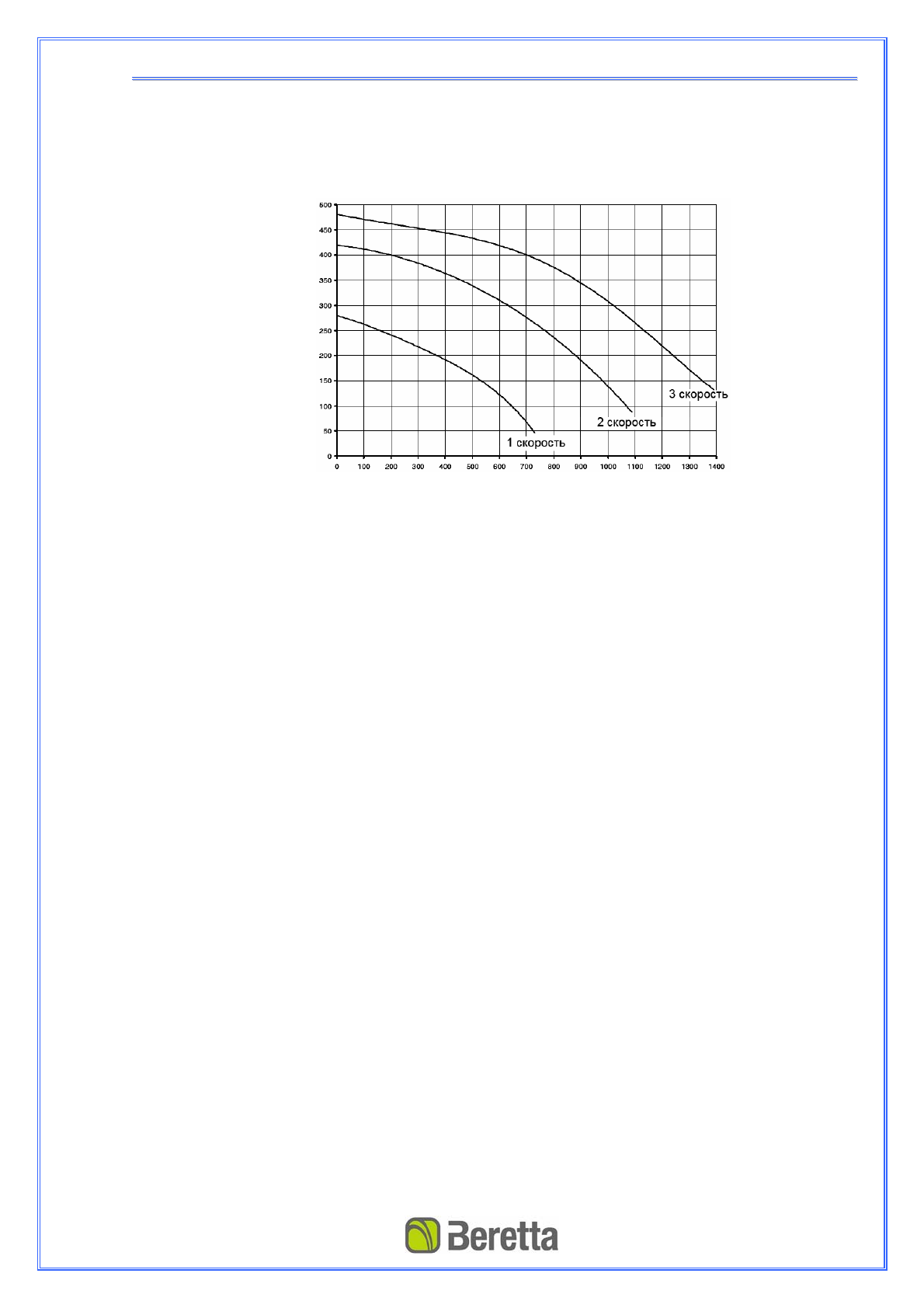
ГИДРАВЛИЧЕСКИЕ
ХАРАКТЕРИСТИКИ
Для
гидравлического
расчета
контура
отопления
рекомендуется
использовать
характеристику
циркуляционного
насоса
с
учетом
гидравлического
сопротивления
котла
.
Котел
укомплектован
трехскоростным
циркуляционным
насосом
.
Установив
вручную
одну
из
трех
скоростей
можно
выбрать
оптимальный
режим
работы
насоса
соответствующий
конкретной
системе
отопления
.
Напор
(
мбар
)
Производительность
(
л
/
ч
)
Если
гидравлическое
сопротивление
контура
отопления
не
может
быть
преодолено
с
помощью
стандартного
насоса
возможна
установка
циркуляционного
насоса
в
увеличенным
напором
(
артикул
1101979
)
или
использование
гидравлического
разъединителя
(
артикул
1102519
).
При
проектировании
системы
отопления
следует
проверить
достаточность
объема
расширительного
бака
установленного
в
котле
(
объем
расширительного
бака
для
конкретной
модели
котла
указан
в
технических
характеристиках
).
В
случае
недостаточности
объема
штатного
расширительного
бака
в
системе
следует
предусмотреть
установку
дополнительного
расширительного
бака
.
ТРЕБОВАНИЯ
К
КАЧЕСТВУ
ВОДЫ
И
ЭЛЕМЕНТАМ
СИСТЕМЫ
ТЕПЛОСНАБЖЕНИЯ
Данный
котел
предназначен
для
закрытых
систем
отопления
с
принудительной
циркуляцией
.
Для
обеспечения
длительной
и
эффективной
работы
котла
и
системы
отопления
рекомендуется
выполнять
разводку
системы
отопления
из
полимерной
или
медной
трубы
.
На
входе
воды
из
системы
отопления
в
котел
необходимо
установить
механический
фильтр
(
грязевик
).
В
качестве
приборов
отопления
предпочтительно
использовать
современные
малоинерционные
радиаторы
(
стальные
панельные
,
алюминиевые
,
и
.
т
.
д
.)
В
качестве
теплоносителя
в
системе
отопления
рекомендуется
использовать
воду
.
Качество
используемой
в
системе
отопления
и
ГВС
воды
должно
соответствовать
следующим
параметрам
:
Водородный
показатель
РН
6-8
Жесткость
общая
не
более
4
мг
-
экв
/
л
Содержание
железа
не
более
0,3
мг
/
л
Если
жесткость
исходной
воды
превышает
4
мг
-
экв
/
л
рекомендуется
установить
на
входе
воды
в
котел
полифосфатный
дозатор
,
который
обрабатывает
поступающую
в
котел
воду
,
защищая
теплообменное
оборудование
котла
от
отложения
солей
жесткости
.
Полифосфатный
дозатор
не
входит
в
стандартную
комплектацию
котла
и
поставляется
по
отдельному
заказу
(
артикул
696279
).
Если
жесткость
исходной
воды
превышает
9
мг
-
экв
/
л
следует
использовать
установки
для
умягчения
воды
.
Под
предохранительным
сбросным
клапаном
котла
необходимо
установить
воронку
для
сбора
воды
и
дренажный
трубопровод
на
случай
утечек
воды
при
избыточном
давлении
в
системе
отопления
.
На
контуре
ГВС
нет
необходимости
устанавливать
предохранительный
клапан
,
но
надо
быть
уверенным
,
что
давление
в
водопроводе
не
превышает
6
бар
.
В
противном
случае
необходимо
установить
редуктор
.