Котел Beretta BOILER 28 B S I - инструкция пользователя по применению, эксплуатации и установке на русском языке. Мы надеемся, она поможет вам решить возникшие у вас вопросы при эксплуатации техники.
Если остались вопросы, задайте их в комментариях после инструкции.
"Загружаем инструкцию", означает, что нужно подождать пока файл загрузится и можно будет его читать онлайн. Некоторые инструкции очень большие и время их появления зависит от вашей скорости интернета.

Н
Н
А
А
С
С
Т
Т
Е
Е
Н
Н
Н
Н
Ы
Ы
Е
Е
Г
Г
А
А
З
З
О
О
В
В
Ы
Ы
Е
Е
К
К
О
О
Т
Т
Л
Л
Ы
Ы
B
B
O
O
I
I
L
L
E
E
R
R
ФУНКЦИИ
КОНТРОЛЯ
И
УПРАВЛЕНИЯ
•
Контроль
температуры
в
контуре
отопления
и
в
бойлере
-
аккумуляторе
посредством
датчиков
температуры
(NTC).
ФУНКЦИИ
КОМФОРТА
И
ЭНЕРГОСБЕРЕЖЕНИЯ
•
Функция
автоматической
регулировки
температуры
теплоносителя
(S.A.R.A.- Sistema Auto
Regolazione Ambienale).
Данная
функция
активируется
при
работе
котла
в
режиме
«
ЗИМА
».
Рекомендуется
использовать
эту
функцию
при
подключенном
регуляторе
комнатной
температуры
.
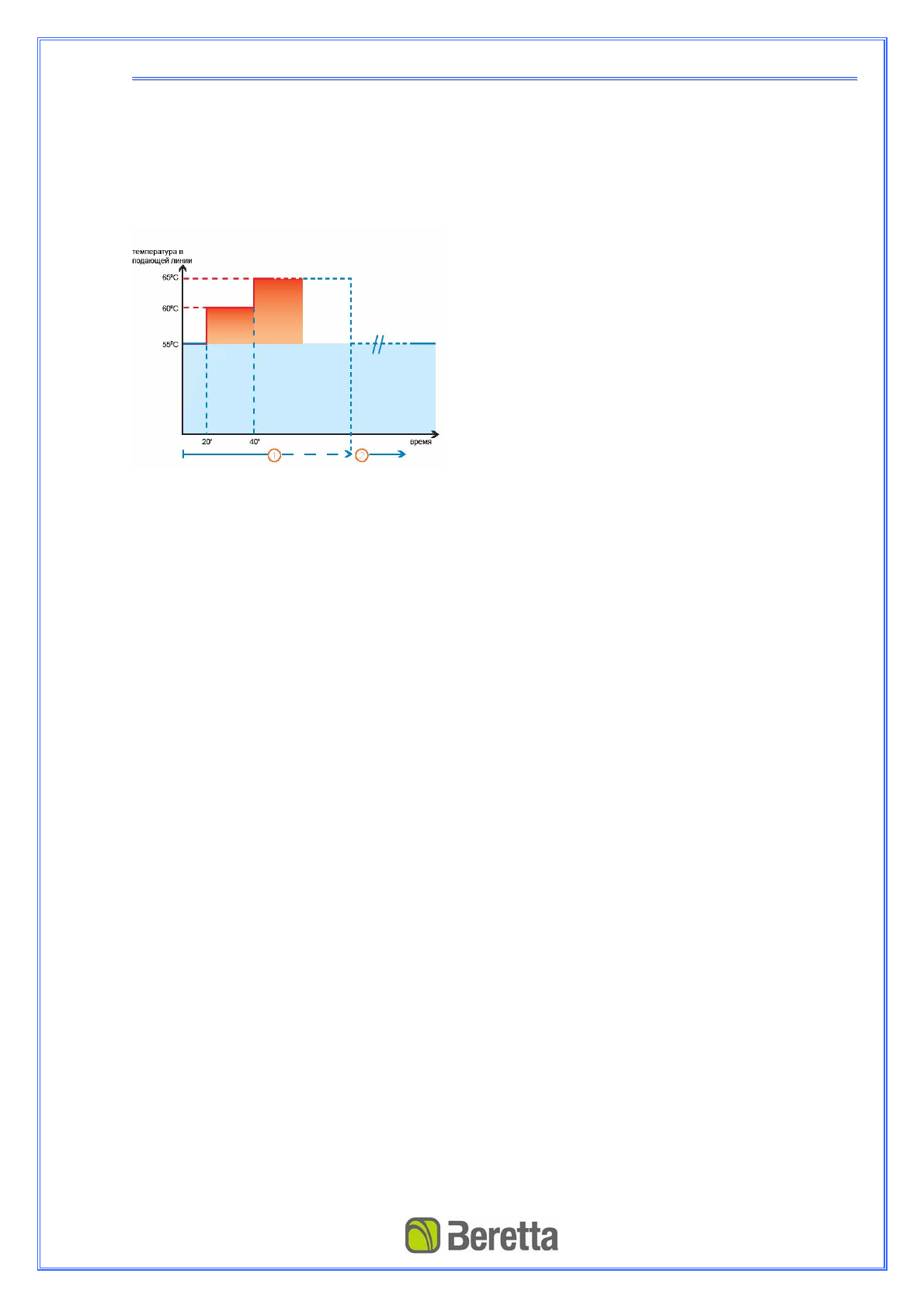
При
установке
регулятора
температуры
воды
в
системе
отопления
на
панели
управления
котла
в
диапазон
от
55
до
65°
С
при
наличие
запроса
от
регулятора
комнатной
температуры
котел
разжигается
и
поддерживает
значение
температуры
теплоносителя
55°
С
.
Если
по
истечении
20
минут
работы
на
этой
температуре
регулятор
комнатной
температуры
не
сработает
(
температура
воздуха
в
помещении
не
достигнет
заданного
на
регуляторе
значения
),
котел
автоматически
увеличит
температуру
теплоносителя
на
5°
С
(
до
60°
С
).
Если
по
истечении
следующих
20
минут
работы
на
этой
температуре
регулятор
комнатной
температуры
не
сработает
,
котел
автоматически
увеличит
температуру
теплоносителя
еще
на
5°
С
(
до
65°
С
).
В
дальнейшем
котел
будет
поддерживать
температуру
теплоносителя
на
уровне
65°
С
до
тех
пор
,
пока
не
сработает
регулятор
комнатной
температуры
.
Срабатывание
регулятора
комнатной
температуры
в
любой
момент
прерывает
цикл
набора
температуры
.
При
появлении
нового
запроса
от
регулятора
комнатной
температуры
котел
установит
температуру
теплоносителя
55°
С
и
начнет
цикл
снова
.
Таким
образом
,
котел
автоматически
определяет
оптимальную
температуру
теплоносителя
для
текущего
момента
,
что
позволяет
получить
дополнительную
экономию
топлива
в
течение
отопительного
периода
.
В
случае
необходимости
данная
функция
может
быть
деактивирована
.
•
Функция
«
трехминутной
задержки
».
Данная
функция
стандартно
активирована
в
котле
.
При
работе
котла
в
режиме
отопления
интервал
между
очередными
включениями
котла
составляет
3
минуты
вне
зависимости
от
разницы
температуры
между
заданной
и
текущей
температурой
в
контуре
отопления
(
при
деактивации
этой
функции
разница
между
включением
и
выключением
котла
в
режиме
отопления
составляет
±6
0
С
(
программируемый
параметр
)
от
заданной
температуры
).
При
этом
,
после
включения
котла
по
прошествии
трехминутной
задержки
,
котел
еще
2
минуты
работает
на
минимальной
мощности
.
Обычно
в
течение
этих
2
минут
в
помещение
поступает
достаточное
количество
тепла
,
чтобы
котел
вновь
отключился
.
После
чего
он
снова
3
минуты
не
будет
включаться
.
Такой
режим
работы
позволяет
получать
существенную
экономию
топлива
по
сравнению
с
обычным
режимом
функционирования
,
т
.
к
.
практически
весь
отопительный
период
котел
работает
в
режиме
отопления
на
минимальной
мощности
,
да
еще
и
с
интервалами
в
3
минуты
.
При
необходимости
эту
функцию
можно
деактивировать
.
•
Возможность
погодозависимого
регулирования
температуры
теплоносителя
(
при
подключении
пульта
дистанционного
управления
и
датчика
наружной
температуры
).
Данная
функция
позволяет
котлу
автоматически
выбирать
текущую
температуру
теплоносителя
в
контуре
отопления
в
зависимости
от
температуры
наружного
воздуха
,
что
делает
работу
котла
экономичнее
и
комфортнее
для
потребителя
.
•
Система
самодиагностики
.
•
Возможность
подключения
регулятора
комнатной
температуры
.
•
Возможность
подключения
пульта
дистанционного
управления
.
СИСТЕМЫ
БЕЗОПАСНОСТИ
•
Контроль
наличия
пламени
.
Наличие
пламени
контролируется
электродом
розжига
и
контроля
пламени
.
При
отсутствии
пламени
или
неисправности
системы
контроля
наличия
пламени
котел
отключается
.
Включить
котел
(
разблокировать
)
можно
только
вручную
.