Кондиционеры Timberk VRF TVM-Pd140W/NaB-K - инструкция пользователя по применению, эксплуатации и установке на русском языке. Мы надеемся, она поможет вам решить возникшие у вас вопросы при эксплуатации техники.
Если остались вопросы, задайте их в комментариях после инструкции.
"Загружаем инструкцию", означает, что нужно подождать пока файл загрузится и можно будет его читать онлайн. Некоторые инструкции очень большие и время их появления зависит от вашей скорости интернета.

13
И н с т р у к ц и я п о э к с п л у а т а ц и и • М у л ь т и з о н а л ь н а я с и с т е м а и н в е р т о р н о г о т и п а с е р и и P d
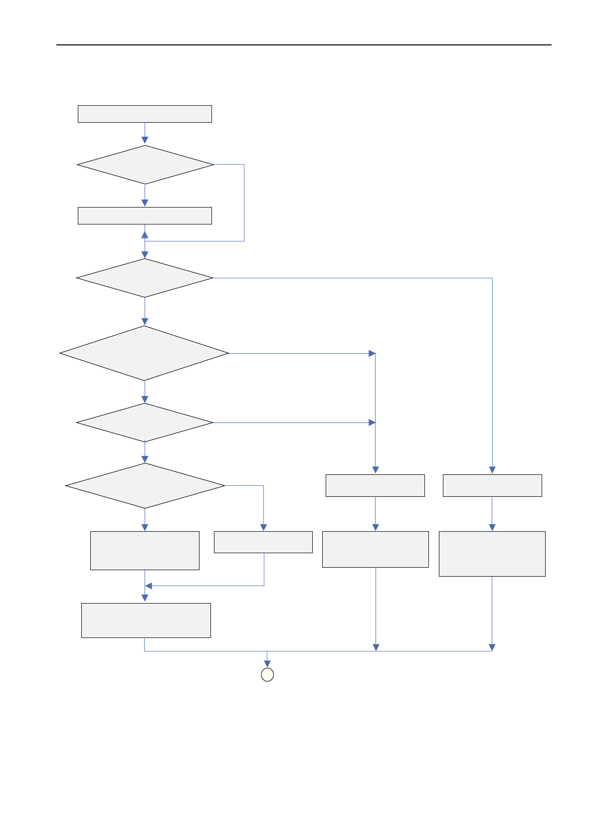
6.1.3 Алгоритм режима обогрева
Процесс обогрева
Направляющие жалюзи
Направляющие жалюзи качаются
В режиме разморозки?
В процессе
предупреждения перезапуска
системы? (3 минуты)
Температура настроена?
Двигатель вентилятора:
Стоп
Двигатель вентилятора:
Стоп
Двигатель вентилятора:
Стоп
Электрический
расширительный
клапан: Закрыт
Электрический
расширительный клапан:
Закрыт,
контроль разморозки
В режиме,
пердупреждающем подачу
холодного воздуха?
Двигатель вентилятора:
согласно уставке скорости
воздушного потока
Электрический
расширительный клапан:
контроль производительности
A
отсутствуют
присутствуют
нет
нет
нет
нет
да
да
да
да