Кондиционеры Timberk VRF TVM-Pd140W/NaB-K - инструкция пользователя по применению, эксплуатации и установке на русском языке. Мы надеемся, она поможет вам решить возникшие у вас вопросы при эксплуатации техники.
Если остались вопросы, задайте их в комментариях после инструкции.
"Загружаем инструкцию", означает, что нужно подождать пока файл загрузится и можно будет его читать онлайн. Некоторые инструкции очень большие и время их появления зависит от вашей скорости интернета.

122
И н с т р у к ц и я п о э к с п л у а т а ц и и • М у л ь т и з о н а л ь н а я с и с т е м а и н в е р т о р н о г о т и п а с е р и и P d
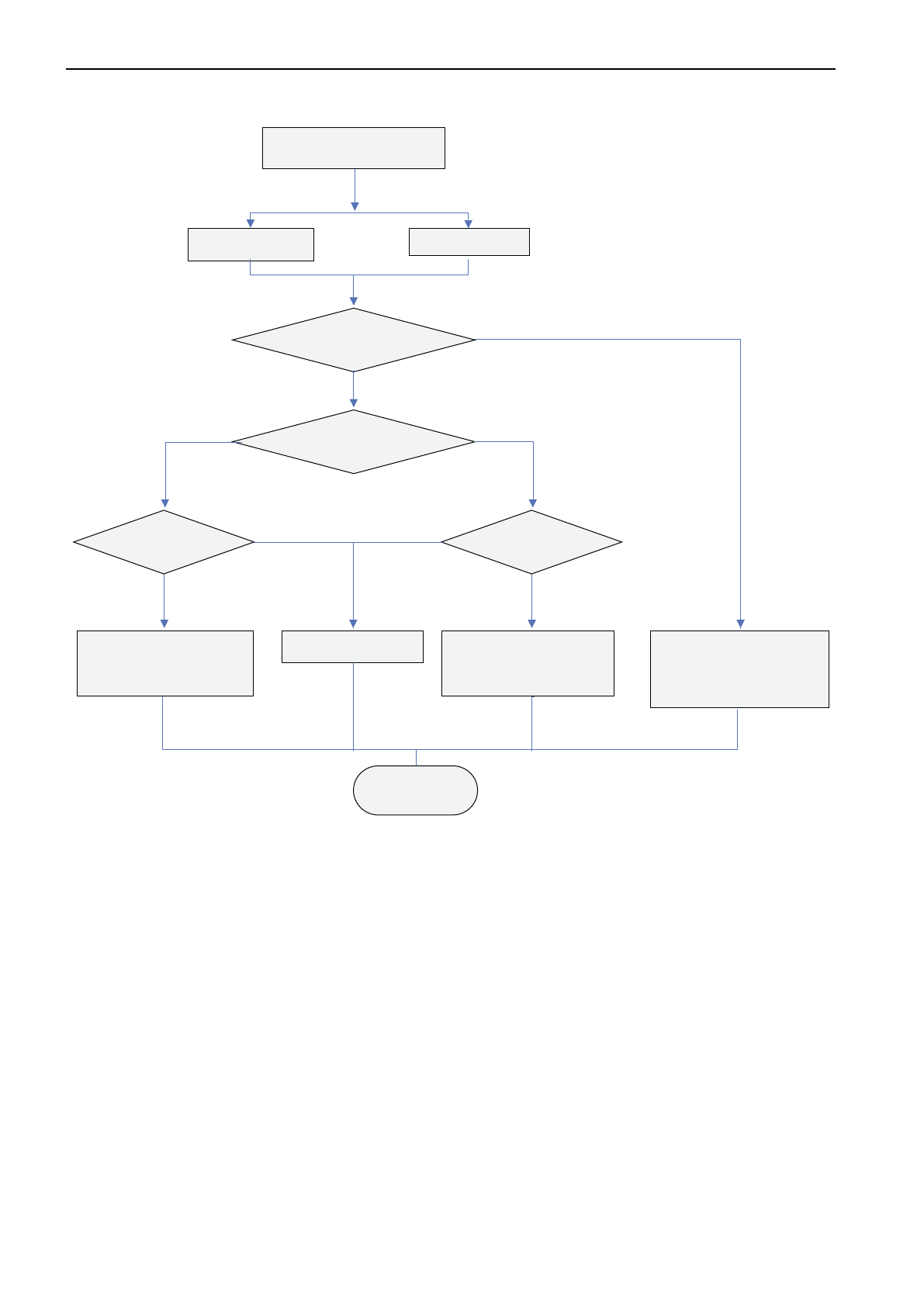
9.2.13 Защита компрессора от повышенного постоянного напряжения
Код Е5 индицируется
на проводном пульте управления
Защита от перегрузки
шины постоянного тока
Напряжение на входе
185-264 В?
Компрессор работает?
Это случилось
несколько раз за час?
Это вызвано помехами.
Осмотрите проводку
или источник помех.
Примите меры для
предотвращения этих помех.
Замените
главную плату управления
Фиксация
и информирование
Это вызвано
замедлением компрессора.
Если это происходит постоянно,
проведите диагностику
компрессора
Частота компрессора
снижена?
Индикация РН
Индикация
на мониторе
Индикация на
главной плате управления
Нет
Нет
Нет
Нет
Да
Да
Да
Да
Напряжение городской сети
тоже высокое. Пожалуйста,
немедленно отключите
электроэнергию для предотвра-
щения повреждения блока или
возникновения пожара.