Страница 2 - ДАННОЕ УСТРОЙСТВО ПРОДАЕТСЯ В КОМПЛЕКТЕ С
2 Пожалуйста, сначала внимательно прочтите приведенные здесь сведения ДАННОЕ УСТРОЙСТВО ПРОДАЕТСЯ В КОМПЛЕКТЕ С АККУМУЛЯТОРОМ, КОТОРЫЙ НА МОМЕНТ ПРОДАЖИ НЕ ЗАРЯЖЕН.НЕ ИЗВЛЕКАЙТЕ АККУМУЛЯТОР ВО ВРЕМЯ ЗАРЯДКИ УСТРОЙСТВА.ЕСЛИ ВЫ ОТКРОЕТЕ ИЛИ ПОВРЕДИТЕ КОРПУС УСТРОЙСТВА, ТО ГАРАНТИЯ НА УСТРОЙСТВО БУДЕТ ...
Страница 4 - Заявления об отказе от ответственности
4 Заявления об отказе от ответственности МЕТЕОРОЛОГИЧЕСКАЯ ИНФОРМАЦИЯ, ДАННЫЕ И ДОКУМЕНТАЦИЯ ПРЕДОСТАВЛЯЮТСЯ НА УСЛОВИЯХ “КАК ЕСТЬ” И БЕЗ КАКИХ-ЛИБО ГАРАНТИЙ ИЛИ ТЕХНИЧЕСКОЙ ПОДДЕРЖКИ СО СТОРОНЫ HTC. В МАКСИМАЛЬНО РАЗРЕШЕННОЙ ЗАКОНОМ СТЕПЕНИ КОМПАНИЯ HTC И АФФИЛИРОВАННЫЕ С НЕЙ КОМПАНИИ в прямой форм...
Страница 5 - ЭЛЕКТРОБЕЗОПАСНОСТЬ
5 Ограничение ответственности за убытки В МАКСИМАЛЬНО РАЗРЕШЕННОЙ ПРИМЕНИМЫМ ЗАКОНОМ СТЕПЕНИ КОМПАНИЯ HTC ИЛИ ЕЕ ПОСТАВЩИКИ НИ ПРИ КАКИХ ОБСТОЯТЕЛЬСТВАХ НЕ БУДЕТ НЕСТИ ПЕРЕД ПОЛЬЗОВАТЕЛЕМ ИЛИ КАКОЙ-ЛИБО ТРЕТЬЕЙ СТОРОНОЙ ОТВЕТСТВЕННОСТЬ ЗА ЛЮБЫЕ КОСВЕННЫЕ, ФАКТИЧЕСКИЕ, ВЫТЕКАЮЩИЕ, СЛУЧАЙНЫЕ ИЛИ ШТРАФ...
Страница 8 - ПРЕДОТВРАЩЕНИЕ ПОТЕРИ СЛУХА; БЕЗОПАСНОСТЬ НА БОРТУ САМОЛЕТА
8 ПРЕДОТВРАЩЕНИЕ ПОТЕРИ СЛУХА ВНИМАНИЕ! Длительное прослушивание звука в телефоне или наушниках с высокой громкостью может привести к безвозвратной потере слуха ПРИМЕЧАНИЕ: наушники и гарнитура для данного устройства (указаны ниже) согласно французской Статье L прошли во Франции испытания на соответ...
Страница 11 - Общие меры безопасности
11 Общие меры безопасности • Соблюдайте знаки обслуживания За исключением случаев, описанных в соответствующих разделах документации по эксплуатации или обслуживанию, не проводите обслуживание каких-либо устройств самостоятельно. Необходимое обслуживание внутренних компонентов этих устройств должно ...
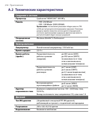
Страница 13 - Содержание; Глава 1 Приступаем к работе; Знакомство с вашим КПК-телефоном и; Глава 2 Ввод текста и поиск информации
13 Содержание Глава 1 Приступаем к работе 17 1.1 Знакомство с вашим КПК-телефоном и принадлежностями к нему ......................................................... 181.2 Установка карты USIM/SIM и аккумулятора ............................ 221.3 Установка карты памяти .................................
Страница 17 - Глава 1; Приступаем к работе; принадлежностями к нему
Глава 1 Приступаем к работе 1.1 Знакомство с вашим КПК-телефоном и принадлежностями к нему 1.2 Установка карты USIM/SIM и аккумулятора 1.3 Установка карты памяти 1.4 Начало работы 1.5 Экран “Сегодня” 1.6 Меню “Пуск” 1.7 Меню быстрого доступа 1.8 HTC Home™ 1.9 TouchFLO™ 1.10 Значки состояния 1.11 Про...
Страница 18 - 8 Приступаем к работе; Знакомство с вашим КПК-телефоном и; Верхняя панель
18 Приступаем к работе 1.1 Знакомство с вашим КПК-телефоном и принадлежностями к нему Верхняя панель ПИТАНИЕ Нажмите для временного отключения экрана. Чтобы отключить питание, нажмите и удерживайте приблизительно 5 секунд. Дополнительные сведения см. в разделе “Начало работы” в этой главе. Левая пан...
Страница 19 - Приступаем к работе 19; Передняя панель
Приступаем к работе 19 Передняя панель INTERNET EXPLORER Подробные сведения см. в главе 10. Уведомляющие СД-индикаторы * См. описание ниже. Динамик телефона Предназначен для прослушивания голоса собеседника при разговоре по телефону. Сенсорный экран РАЗГОВОР Ответ на входящий звонок или набор номера...
Страница 20 - 0 Приступаем к работе; Задняя панель; Нижняя панель
20 Приступаем к работе Задняя панель Динамик Цифровая камера с разрешением 3 мегапикселя Подробные сведения см. в Главе 12. Задняя крышка Сдвиньте заднюю крышку вниз, чтобы снять ее. Гнездо для антенны GPS Извлеките резиновую заглушку и подключите внешнюю антенну GPS для улучшения качества приема си...
Страница 21 - Приступаем к работе 21; Принадлежности
Приступаем к работе 21 Принадлежности 9 1 5 4 7 User Man ual Read Me First 3 8 Screen Protector 2 6 Номер Принадлежность Назначение 1 Аккумулятор Вставьте в устройство перед включением. 2 Защитная пленка для экрана Защищает сенсорный экран от царапин. 3 Стереогарнитура Снабжена регулятором уровня гр...
Страница 22 - 2 Приступаем к работе; Установка карты USIM/SIM и аккумулятора
22 Приступаем к работе 1.2 Установка карты USIM/SIM и аккумулятора Всегда отключайте устройство перед установкой/заменой аккумулятора и USIM/SIM-карты. USIM/SIM-карта содержит номер телефона, сведения об обслуживании, а также используется для хранения телефонной книги и сообщений. В вашем коммуникат...
Страница 23 - Приступаем к работе 23; Снятие задней крышки
Приступаем к работе 23 Важно Перед открытием держателя SIM-карты нужно выключить устройство. Открытие держателя SIM-карты, когда устройство включено, может привести к повреждению устройства. Снятие задней крышки Перед установкой карты USIM/SIM или аккумулятора нужно снять заднюю крышку. 1. Выключите...
Страница 24 - 4 Приступаем к работе; Установка аккумулятора
24 Приступаем к работе 4. Сдвиньте держатель SIM-карты вниз, чтобы он со щелчком встал на место и зафиксировался.При установке аккумулятора держатель SIM-карты фиксирует ее на месте. Извлечение USIM/SIM-карты 1. Извлеките аккумулятор, если он установлен. 2. Вдвиньте карту USIM/SIM внутрь, чтобы разб...
Страница 25 - Приступаем к работе 25; Извлечение аккумулятора; Установка карты памяти; Установка карты microSD
Приступаем к работе 25 Извлечение аккумулятора 1. Выключите коммуникатор. 2. Сдвиньте заднюю крышку. 3. Извлеките аккумулятор, потянув за черную полоску. 1.3 Установка карты памяти Гнездо для карты памяти находится с правой стороны устройства. Чтобы увеличить объем памяти, доступный для хранения изо...
Страница 26 - 6 Приступаем к работе; Включение и выключение коммуникатора; Включение питания; Выключение питания; Автоматическая настройка параметров подключений; мастера настройки
26 Приступаем к работе 1.4 Начало работы После установки USIM/SIM-карты и аккумулятора и зарядки аккумулятора можно включить коммуникатор и приступить к работе с ним. Включение и выключение коммуникатора Включение питания • Нажмите и удерживайте кнопку ПИТАНИЕ в течение нескольких секунд.При первом ...
Страница 27 - Приступаем к работе 27; Автоматическая настройка параметров подключений для передачи; ok; Зарядка аккумулятора
Приступаем к работе 27 Автоматическая настройка параметров подключений для передачи данных 1. Увидев уведомляющее сообщение мастера настройки подключения, коснитесь Да . Примечание Если уведомление не отображается, коснитесь в строке заголовка, чтобы отобразить сообщение. Если SIM-карта поддерживает...
Страница 28 - 8 Приступаем к работе; Калибровка коммуникатора; Переключение коммуникатора в спящий режим; Настройка периода бездействия для перехода в спящий режим
28 Приступаем к работе Калибровка коммуникатора Для калибровки сенсорного экрана коммуникатора нажимайте стилусом по центру крестика, который перемещается по экрану. При касании точки экрана стилусом нажатый элемент активируется.Если коммуникатор неточно реагирует на касания экрана, то выполните сле...
Страница 29 - Приступаем к работе 29; При питании от батареи
Приступаем к работе 29 2. Убедитесь, что в области При питании от батареи установлен флажок Выключать, если не используется . 3. Выберите время ожидания, а затем коснитесь OK . Когда устройство находится в спящем режиме, оно по-прежнему позволяет принимать звонки и сообщения. Ваше устройство выйдет ...
Страница 31 - Приступаем к работе 31; Меню быстрого доступа; HTC HomeTM
Приступаем к работе 31 1.7 Меню быстрого доступа ”Меню быстрого доступа” в правом верхнем углу экрана “Сегодня” содержит список запущенных программ. Можно быстро переключаться между запущенными программами, завершать их работу и проверять использованием ресурсов памяти. Нажмите эту кнопку, чтобы отк...
Страница 32 - 2 Приступаем к работе; Переключение между компонентами экрана HTC Home; Домашняя
32 Приступаем к работе Переключение между компонентами экрана HTC Home Выполните одно из следующих действий. • Нажимайте вкладки на панели инструментов пальцем. • Нажимайте вкладки на панели инструментов стилусом. • С помощью джойстика. Если панель инструментов не выделена, то сначала выделите ее, н...
Страница 33 - Приступаем к работе 33; Погода; Выбрать
Приступаем к работе 33 Погода На вкладке Погода отображается информация о текущей погоде, а также прогноз погоды на ближайшие четыре дня. При первом использовании этой функции вам будет нужно выбрать ваш город, чтобы загрузить сведения о погоде. Выбор города 2 1 3 4 1. Выберите вкладку Погода ( ). 2...
Страница 34 - 4 Приступаем к работе; Настройка параметров информации о погоде
34 Приступаем к работе Прогноз погоды на ближайшие четыре дня Нажмите эту область, чтобы вернуться к прогнозу погоды на сегодня. Прогноз погоды на сегодня Коснитесь этой области, чтобы просмотреть прогноз погоды на ближайшие четыре дня. Нажмите по этой области, чтобы выбрать другой город. Показывает...
Страница 35 - Приступаем к работе 35; Модуль запуска
Приступаем к работе 35 Снимите этот флажок, если хотите загружать информацию о погоде вручную. • Загружать при роуминге . Установите этот флажок только в том случае, если хотите автоматически загружать данные о погоде в режиме роуминга. Это может привести к дополнительным расходам. • Температурная ш...
Страница 36 - 6 Приступаем к работе; Звук; Автоматически
36 Приступаем к работе Нажмите ярлык, чтобы удалить его. Возврат Примечание Чтобы заменить ярлык, нужно сначала удалить его, а затем добавить ярлык для программы или настройки. Звук Модуль Звук позволяет выбирать профили с заранее настроенными разными уровнями громкости. Он также позволяет быстро ме...
Страница 37 - Приступаем к работе 37; TouchFLOTM; Touch Cube; Открытие Touch Cube
Приступаем к работе 37 1.9 TouchFLO™ TouchFLO™ – это специальная функция, которая предоставляет возможность более удобной работы с сенсорной панелью на коммуникаторе. С помощью TouchFLO можно прокручивать экран и перемещаться по нему, просто двигая пальцем.Технология TouchFLO также включает в себя T...
Страница 38 - 8 Приступаем к работе; Перемещение по Touch Cube
38 Приступаем к работе Перемещение по Touch Cube Touch Cube – это трехмерный кубический интерфейс пользователя. Чтобы перевернуть интерфейс с одной стороны на другую, проведите пальцем на сенсорном экране влево или вправо. Экраны Touch Cube Интерфейс Touch Cube содержит три стороны: • На первой стор...
Страница 39 - Приступаем к работе 39
Приступаем к работе 39 Выберите пустую ячейку для добавления основного контакта. Если для контакта записано более одного номера, то нажмите контакт и выберите номер, по которому хотите позвонить. Открытие списка “Звонки”. (Дополнительные сведения см. в Главе 3.) Нажмите, чтобы позвонить по номеру, с...
Страница 40 - 0 Приступаем к работе
40 Приступаем к работе • Вторая сторона интерфейса содержит ярлыки быстрого запуска для сообщений эл. почты, сообщений SMS и MMS, Интернета и других приложений. Для открытия нужной программы достаточно нажать соответствующий ей значок на экране. • На третьей стороне интерфейса можно воспроизводить м...
Страница 41 - Приступаем к работе 41; Прокрутка и перемещение; Прокрутка с помощью пальца
Приступаем к работе 41 Прокрутка и перемещение с помощью помощью пальца Функция TouchFLO позволяет использовать палец для прокрутки и перемещения при просмотре содержимого, которое не помещается на экране полностью, например веб-страниц, документов и сообщений. Прокрутку пальцем можно также использо...
Страница 42 - 2 Приступаем к работе; Перемещение с помощью пальца; Непрерывное перемещение
42 Приступаем к работе Перемещение с помощью пальца • Чтобы переместиться вниз, нажмите и проведите пальцем вверх по сенсорному экрану. • Чтобы переместиться вверх, нажмите и проведите пальцем вниз по сенсорному экрану. • Чтобы переместиться вправо, нажмите и проведите пальцем влево по сенсорному эк...
Страница 43 - Приступаем к работе 43; Переход к следующему или предыдущему сообщению; Параметры TouchFLO; Система
Приступаем к работе 43 Переход к следующему или предыдущему сообщению Во время чтения сообщений проводите палец по экрану для перехода к следующему или предыдущему сообщению. Для перехода к следующему сообщению проведите пальцем по экрану справа налево; для перехода к предыдущему сообщению проведите...
Страница 44 - 4 Приступаем к работе; Значки состояния; на экране коммуникатора.
44 Приступаем к работе 1.10 Значки состояния Ниже описаны некоторые значки состояния, которые могут отображаться на экране коммуникатора. Значки, отображающиеся в этой области Доступна сеть GPRS Доступна сеть EDGE Доступна сеть HSDPA Доступна сеть UMTSФункция Wi-Fi включена, но устройство еще не под...
Страница 45 - Приступаем к работе 45
Приступаем к работе 45 Значки, отображающиеся в этой области Аккумулятор заряжаетсяАккумулятор заряженОчень низкий уровень заряда аккумулятора Значки, отображающиеся в этой области Режим вибрации.Звук включенЗвук выключен Значки, отображающиеся в этой области Подключение к сети GPRSПодключение к GPR...
Страница 46 - Программы в меню “Пуск”; Экран Программы
46 Приступаем к работе 1.11 Программы Ниже указаны программы, которые доступны на коммуникаторе или могут быть установлены с компакт-диска с приложениями. Программы в меню “Пуск” Значок Описание Телефон Позволяет выполнять и принимать звонки, переключаться между ними и организовывать конференц-связь...
Страница 47 - Приступаем к работе 47
Приступаем к работе 47 Значок Описание Adobe Reader LE Просмотр файлов PDF (Portable Document Format) в вашем устройстве. Настройка Аудио Повышает удобство прослушивания музыки за счет возможности регулировки высоких и нижних частот и функций эквалайзера и объемного (3D) звука. Аудио-менеджер Облегч...
Страница 48 - 8 Приступаем к работе
48 Приступаем к работе Значок Описание Рисунки и видео Просмотр, систематизация и сортировка файлов фотоснимков и видеозаписей в вашем устройстве или на карте памяти. QuickGPS Загружает спутниковые данные через Интернет с помощью программы ActiveSync, Wi-Fi или GPRS, чтобы ускорить GPS-позиционирова...
Страница 49 - Приступаем к работе 49; предпочтениями. Чтобы просмотреть все доступные параметры,; Личные; Вкладка “Личные”
Приступаем к работе 49 Значок Описание Windows Live Используйте эту версию программы Windows Live™ для мобильных устройств для поиска информации в Интернете. С помощью этой программы также можно выполнять вход в учетную запись Windows Live для доступа к сообщениям Live Mail и отправки/ получения мгн...
Страница 50 - 0 Приступаем к работе; Вкладка “Система”
50 Приступаем к работе Значок Описание Сегодня Позволяет настроить вид экрана “Сегодня” и отображаемую в нем информацию. Быстрый Голосовой набор Создание голосовых меток для голосового набора контактов и контактов на USIM/SIM-карте, а также для запуска программ. Вкладка “Система” Значок Описание О п...
Страница 51 - Приступаем к работе 51; Вкладка “Подключения”
Приступаем к работе 51 Значок Описание Внешний GPS Задание подходящих портов для GPS-связи (при необходимости). Это может потребоваться, когда в коммуникаторе используются программы, обращающиеся к данным GPS, или к нему подключен приемник GPS. Подробные сведения см. в Справке. Блокировка клавиш Бло...
Страница 52 - 2 Приступаем к работе
52 Приступаем к работе Значок Описание Bluetooth Включение модуля Bluetooth, установка видимого режима для вашего устройства и поиск других Bluetooth-устройств. Comm Manager Управление подключениями вашего устройства (в том числе по Wi-Fi, GPRS и Bluetooth), а также включение и выключение телефона и...
Страница 54 - 4 Ввод текста и поиск информации; Значок
54 Ввод текста и поиск информации 2.1 Ввод информации При запуске программы или выделении поля, которое требует ввода текста или цифр, в строке меню становится доступен значок Панель ввода . Нажмите стрелку Выбор способа ввода (которая отображается рядом со значком Панель ввода ), чтобы открыть меню...
Страница 55 - Ввод текста и поиск информации 55; Ввод текста с помощью экранной клавиатуры; Использование клавиатуры Touch
Ввод текста и поиск информации 55 2.2 Использование экранной клавиатуры Стандартную для Windows Mobile экранную клавиатуру можно использовать для ввода текста, нажимая клавиши на клавиатуре, отображаемой на экране. Ввод текста с помощью экранной клавиатуры 1. В открытой программе нажмите стрелку Выб...
Страница 56 - 6 Ввод текста и поиск информации; Режим XT9; Ввод текста в режиме XT9; Добавление слова в список подходящих слов
56 Ввод текста и поиск информации Ввод текста с помощью экранной клавиатуры 1. Запустите программу, в которой предусмотрен ввод текста, например, Word Mobile. 2. Нажмите стрелку Выбор способа ввода , затем нажмите Клавиатура Touch . 3. В нижней строке клавиатуры Touch нажмите вторую клавишу слева, ч...
Страница 57 - Ввод текста и поиск информации 57
Ввод текста и поиск информации 57 2. На вкладке Способ ввода в раскрывающемся списке Способ ввода выберите Клавиатура Touch и затем нажмите Параметры . 3. Нажмите Настройка XT9 . 4. В экране Настройка XT9 в зависимости от ваших предпочтений установите или снимите флажки у следующих вариантов: • Пров...
Страница 58 - 8 Ввод текста и поиск информации; Режим ввода цифр; режим ввода цифр; Использование клавишной панели Touch; Клавишная панель Touch; Ввод текста с клавишной панели Touch
58 Ввод текста и поиск информации Режим ввода цифр Используйте режим ввода цифр ( 123 ) для ускоренного ввода цифровой информации, например, телефонных номеров. Вводите цифры, нажимая цифровые клавиши на клавиатуре. 2.4 Использование клавишной панели Touch Клавишная панель Touch - это экранная панел...
Страница 59 - Ввод текста и поиск информации 59; Настройка режима XT9 для клавишной панели Touch; Использование Панели символов; Открытие Панели символов и выбор символа
Ввод текста и поиск информации 59 3. В нижней строке клавишной панели Touch нажмите вторую клавишу слева, чтобы поочередно отобразить следующие режимы ввода: XT9 , Обычный режим ввода или Режим ввода цифр . Описание способов ввода текста в этих режимах см. выше в этой главе в разделах “Режим XT9”, “...
Страница 60 - 0 Ввод текста и поиск информации; Поиск информации; Поиск файлов или объектов
60 Ввод текста и поиск информации 1. Нажмите стрелку Выбор способа ввода и выберите Параметры . 2. На вкладке “Способ ввода” в раскрывающемся списке способов ввода выберите Клавиатура Touch или Клавишная панель Touch и затем нажмите Параметры . 3. Снимите флажок “Разрешить выбор только одного элемен...
Страница 61 - Глава 3; Использование функций
Глава 3 Использование функций телефона 3.1 Работа с программой Телефон 3.2 Выполнение вызова 3.3 Прием вызова 3.4 Выполнение видеовызова3.5 Выполнение видеовызова 3.6 Smart Dialing 3.7 Дополнительные сведения о наборе номеров 3.8 Настройка доступа по Bluetooth к SIM-картеавтомобильных телефонов
Страница 62 - 2 Использование функций телефона; Работа с программой Телефон; Экран Телефон; Ввод; Включение и отключение телефона; Включение или выключение функции телефона
62 Использование функций телефона 3.1 Работа с программой Телефон С помощью коммуникатора, так же, как и с помощью обычного мобильного телефона, можно звонить и отвечать на звонки, вести учет звонков и посылать сообщения. Кроме того, можно делать заметки во время разговора, звонить непосредственно и...
Страница 63 - Использование функций телефона 63; Включение или выключение Режима полета; Регулировка громкости; Динамик
Использование функций телефона 63 Включение или выключение Режима полета Для отключения функции телефона также можно перевести устройство в Режим полета . В Режиме полета в вашем устройстве отключается прием и передача всех радиосигналов, в том числе функции телефона, Bluetooth и Wi-Fi. После выключ...
Страница 64 - 4 Использование функций телефона; Выполнение вызова; Звонок с помощью программы “Телефон”; Звонок с помощью программы “Контакты”
64 Использование функций телефона 3.2 Выполнение вызова С вашего устройства можно позвонить, используя программы Телефон , Контакты , TouchFLO , Быстрый набор , Звонки и Менеджер SIM-карты . Звонок с помощью программы “Телефон” 1. Нажмите Пуск > Телефон . 2. Для ввода телефонного номера в экране ...
Страница 65 - Использование функций телефона 65; Выбор телефонного номера из списка контактов; Выполнение вызова из экрана Touch Cube; Звонок из списка “Звонки”; Звонки; Позвонить
Использование функций телефона 65 Выбор телефонного номера из списка контактов По умолчанию при телефонном звонке из списка контактов набирается номер мобильного телефона. Однако можно задать и набор другого номера. 1. Нажмите Пуск > Контакты . 2. Выделите контакт. 3. Нажимайте джойстик влево или...
Страница 66 - 6 Использование функций телефона; Быстрый набор одним нажатием; Добавление записи в список “Быстрый набор”; Звонок в службу голосовой почты
66 Использование функций телефона Быстрый набор одним нажатием Добавьте часто используемый номер в список Быстрый набор , чтобы вызывать его одним прикосновением. Например, если в списке "Быстрый набор" контакт записан под номером 2 , то для набора этого номера достаточно в экране "Телеф...
Страница 67 - Использование функций телефона 67; Звонок из программы Менеджер SIM-карты; Звонок из списка контактов на SIM-карте
Использование функций телефона 67 Звонок из программы Менеджер SIM-карты Программа Менеджер SIM-карты позволяет просматривать содержание SIM-карты, пересылать данные в список контактов коммуникатора и звонить по телефонам из списка контактов на SIM-карте. Звонок из списка контактов на SIM-карте 1. Н...
Страница 68 - 8 Использование функций телефона; Удержание звонка; Включение/выключение динамика; Отключение звука
68 Использование функций телефона Удержание звонка Во время разговора коммуникатор сообщает о поступлении другого входящего звонка и предлагает принять его или отклонить. Если поступит новый вызов, когда вы уже разговариваете по телефону, то вы сможете переключаться между двумя абонентами или органи...
Страница 69 - Использование функций телефона 69; Отключить звук; Выполнение видеовызова; Изменение параметров видеовызова
Использование функций телефона 69 • Во время разговора нажмите Отключить звук . • Когда микрофон выключен, на экране появляется значок . Чтобы снова включить микрофон, нажмите Включить звук . 3.4 Выполнение видеовызова Коммуникатор позволяет выполнять видеовызовы, когда вы находитесь в зоне действия...
Страница 70 - 0 Использование функций телефона; Варианты переключения изображений
70 Использование функций телефона 1 Панель состояния . Отображает название вашего оператора, сведения о собеседнике и продолжительность вызова. 2 Область отображения изображения . Отображается ваше изображение и изображение вашего собеседника в зависимости от выбранных значений параметра “Переключит...
Страница 71 - Использование функций телефона 71; Регулировка яркости; Настройка параметров видеовызова; Меню
Использование функций телефона 71 Регулировка яркости Можно регулировать яркость изображения на экране. При нажатии ДЖОЙСТИКА вверх или вниз во время видеовызова, в нижней части экрана появится панель яркости. • Для увеличения яркости нажмите джойстик вправо или поверните диск джойстика против часов...
Страница 72 - 2 Использование функций телефона; Вкладка “Общие”
72 Использование функций телефона Вкладка “Общие” • Показать фотоснимок . Выберите снимок, который хотите отображать, когда камера выключена. • Предустановка (жен.) . Вместо вашего снимка показывается рисунок женщины. • Предустановка (муж.) . Вместо вашего снимка показывается рисунок мужчины. • Поль...
Страница 73 - Использование функций телефона 73; Вкладка “Службы”; Выполнение видеовызова; Прием или отклонение входящего видеовызова
Использование функций телефона 73 Вкладка “Службы” Для настройки дополнительных параметров видеовызова откройте вкладку Службы . В экране "Службы" выберите нужную службу из списка, затем нажмите Получение параметров , чтобы настроить параметры этой службы. 3.5 Выполнение видеовызова Прием ил...
Страница 74 - 4 Использование функций телефона; Поиск имени или номера контакта; Звонок и отправка SMS-сообщений с помощью
74 Использование функций телефона Поиск имени или номера контакта Можно ввести несколько первых букв имени или цифр номера контакта. Программа Smart Dialing проведет поиск среди телефонных номеров и первых букв имен контактов, а также символов, стоящих в имени контакта после пробела, тире или символ...
Страница 75 - Использование функций телефона 75; Дополнительные сведения о наборе номеров; Экстренные звонки; Международные звонки; цифрой 0
Использование функций телефона 75 3.7 Дополнительные сведения о наборе номеров Экстренные звонки Введите международный или местный номер службы экстренной помощи, а затем нажмите кнопку РАЗГОВОР на корпусе коммуникатора. Совет На SIM-карте могут быть записаны дополнительные номера телефонов служб эк...
Страница 76 - 6 Использование функций телефона; Настройка доступа по Bluetooth к SIM-карте; Удаленный доступ к SIM
76 Использование функций телефона 3.8 Настройка доступа по Bluetooth к SIM-карте автомобильных телефонов Автомобильные телефоны Bluetooth, поддерживающие технологию SAP (SIM Access Profile - профиль доступа к SIM-карте), могут по Bluetooth подключаться к коммуникатору и обращаться к его SIM-карте. П...
Страница 78 - 8 Настройка вашего устройства; Время и дата; Установка времени и даты; Установка времени и даты для другой местности; Язык и стандарты; Параметры экрана; Регулировка яркости экрана
78 Настройка вашего устройства 4.1 Базовые настройки Время и дата Установка времени и даты 1. Нажмите Пуск > Настройка > вкладка Система > Часы и сигналы > вкладка Время . 2. Выберите соответствующий часовой пояс и установите дату и время. Примечание При синхронизации время на устройстве...
Страница 79 - Настройка вашего устройства 79; Отключение подсветки через заданное время; Имя устройства; Изменение имени устройства; Настройка звонка; Изменение типа и мелодии звонка
Настройка вашего устройства 79 Отключение подсветки через заданное время 1. Нажмите Пуск > Настройка > вкладка Система > Подсветка . 2. Откройте вкладку Питание от аккумулятора или вкладку Внешнее питание . 3. Установите флажок Выключать подсветку, если устройство не используется и укажите ...
Страница 80 - 0 Настройка вашего устройства; Оповещения и уведомления; Установка сигнала; Выбор оповещений для событий или действий
80 Настройка вашего устройства Советы • В качестве мелодий звонка можно использовать звуковые файлы *.wav , *.mid , *.mp3 , *.wma и других форматов, загруженные из Интернета или скопированные с ПК. Полный список поддерживаемых форматов звуковых файлов для использования в качестве мелодии звонка см. ...
Страница 81 - Настройка вашего устройства 81; Телефонные услуги; Доступ и изменение параметров телефонных услуг; Настройка экрана “Сегодня”; Индивидуальные настройки экрана “Сегодня”
Настройка вашего устройства 81 Совет Отключение звуков и мигания экрана позволяет экономнее расходовать заряд аккумулятора. Телефонные услуги Коммуникатор может подключаться непосредственно к сети мобильной связи, а также позволяет просматривать и изменять параметры различных телефонных услуг для ко...
Страница 82 - 2 Настройка вашего устройства; Отображение данных о владельце
82 Настройка вашего устройства Отображение данных о владельце Когда на экране отображается информация о владельце, при утере коммуникатора нашедшему его человеку будет проще вернуть коммуникатор владельцу. 1. Выберите Пуск > Настройка > вкладка Личные > Данные о владельце . 2. На вкладке Ид...
Страница 83 - Настройка вашего устройства 83; Настройка меню “Пуск”; Защита вашего устройства; Защита устройства с помощью пароля
Настройка вашего устройства 83 4. Выполните одно из следующих действий. • В поле Показывать число , выберите тип задач, которые нужно показывать на экране “Сегодня”. • В списке Категория укажите, нужно ли показывать задачи только определенной категории, или отображать все. Дополнительные сведения о ...
Страница 84 - 4 Настройка вашего устройства; Установка пароля на коммуникаторе; Шифрование файлов на карте памяти
84 Настройка вашего устройства Установка пароля на коммуникаторе 1. Нажмите Пуск > Настройка > вкладка Личные > Заблокировать . 2. Установите флажок Запрашивать, если устройство не использ. в течение , а в поле справа выберите, по истечении какого времени бездействия вашего устройства нужно...
Страница 85 - Глава 5; Синхронизация данных
Глава 5 Синхронизация данных с компьютером 5.1 О синхронизации 5.2 Настройка приложения “Центр устройств Windows Mobile в Windows Vista® 5.3 Настройка ActiveSync® в Windows XP® 5.4 Синхронизация с компьютером 5.5 Синхронизация через Bluetooth 5.6 Синхронизация музыкальных и видеозаписей
Страница 86 - 6 Синхронизация данных с компьютером; Информация Microsoft Outlook; Способы синхронизации
86 Синхронизация данных с компьютером 5.1 О синхронизации Можно перенести данные с компьютера в любое место путем их синхронизации с коммуникатором. Между компьютером и коммуникатором можно синхронизировать следующие типы данных. • Информация Microsoft Outlook ®, в том числе электронная почта, конта...
Страница 87 - Синхронизация данных с компьютером 87; Настройка приложения “Центр устройств; Центр устройств Microsoft Windows Mobile; Настройка синхронизации в приложении “Центр; Принять
Синхронизация данных с компьютером 87 5.2 Настройка приложения “Центр устройств Windows Mobile в Windows Vista® Центр устройств Microsoft Windows Mobile ® - это приложение, которое пришло на смену Microsoft® ActiveSync® в Windows Vista®. Примечание На компьютерах с некоторыми версиями ОС Windows Vis...
Страница 88 - 8 Синхронизация данных с компьютером; Использование приложения “Центр устройств
88 Синхронизация данных с компьютером 4. Выберите элементы, которые хотите синхронизировать, затем нажмите Далее . 5. Введите имя устройства и нажмите Настроить . После завершения работы мастера приложение “Центр устройств Windows Mobile” выполнит синхронизацию данных на коммуникаторе автоматически....
Страница 89 - Синхронизация данных с компьютером 89; Настройка ActiveSync® в Windows XP®; Установка ActiveSync
Синхронизация данных с компьютером 89 • Чтобы синхронизировать звуковые и видеофайлы с помощью программы Проигрыватель Windows Media™, нажмите Рисунки, музыка и видео > Добавить файлы на устройство из проигрывателя Windows Media . Подробные сведения см. в разделе “Проигрыватель Windows Media® Mob...
Страница 90 - 0 Синхронизация данных с компьютером; Синхронизация с компьютером; Запуск и остановка синхронизации; С коммуникатора; Из приложения “Центр устройств Windows Mobile”
90 Синхронизация данных с компьютером 2. Чтобы синхронизировать ваше устройство с ПК, снимите флажок Выполнять синхронизацию непосредственно с сервером Microsoft Exchange и затем нажмите Далее . 3. Выберите типы информации для синхронизации и нажмите Далее . 4. Установите или снимите флажок Разрешит...
Страница 91 - Синхронизация данных с компьютером 91; Из программы ActiveSync на ПК; Изменение синхронизируемых данных; Настройка
Синхронизация данных с компьютером 91 Из программы ActiveSync на ПК При подключении коммуникатора к ПК на компьютере автоматически запускается программа ActiveSync и выполняется синхронизация. • Чтобы запустить синхронизацию вручную, нажмите . • Чтобы остановить синхронизацию до ее завершения, нажми...
Страница 92 - 2 Синхронизация данных с компьютером; Устранение неполадок с подключением для; От USB к ПК
92 Синхронизация данных с компьютером Устранение неполадок с подключением для синхронизации Если ПК подключен к Интернету или локальной сети, то в некоторых случаях ПК может разорвать соединение с вашим устройством для использования подключения к Интернету или к локальной сети.В этом случае выберите...
Страница 93 - Синхронизация данных с компьютером 93; Синхронизация через Bluetooth; Синхронизация с ПК через Bluetooth
Синхронизация данных с компьютером 93 5.5 Синхронизация через Bluetooth Можно подключать коммуникатор к ПК и выполнять синхронизацию через Bluetooth. Примечание Для подключения вашего устройства к компьютеру и синхронизации между ними через Bluetooth в компьютере должен быть установлен внутренний ил...
Страница 94 - 4 Синхронизация данных с компьютером; Синхронизация музыкальных и видеозаписей; мультимедийных
94 Синхронизация данных с компьютером 5.6 Синхронизация музыкальных и видеозаписей Если хотите взять с собой в дорогу музыкальные и другие цифровые записи, то в вашем компьютере настройте программу Проигрыватель Microsoft® Windows Media® на компьютере для синхронизации музыкальных и видеофайлов с ва...
Страница 96 - 6 Упорядочивание контактов, встреч, задач и других сведений; Добавление новых контактов; Добавление контакта в коммуникаторе
96 Упорядочивание контактов, встреч, задач и других сведений 6.1 Контакты Контакты - это ваша адресная книга и хранилище информации о ваших друзьях и партнерах по бизнесу. На коммуникаторе можно создавать контакты следующих типов. • Контакт Outlook . Контакты, хранящиеся на коммуникаторе, которые мо...
Страница 97 - Упорядочивание контактов, встреч, задач и других сведений 97; Добавление контакта на SIM-карту; Просмотр, упорядочивание и поиск; Просмотр информации о контакте
Упорядочивание контактов, встреч, задач и других сведений 97 4. Чтобы добавить фотографию контакта, нажмите Выбрать рисунок , выберите файл изображения или нажмите Камера , чтобы сделать снимок. При поступлении звонка от этого контакта его фотография будет отображаться на экране “Телефон”. 5. Чтобы ...
Страница 98 - 8 Упорядочивание контактов, встреч, задач и других сведений; Поиск контакта в коммуникаторе
98 Упорядочивание контактов, встреч, задач и других сведений 3. Нажмите имя контакта, чтобы открыть его карточку контакта.На карточке контакта будет показан последний исходящий или входящий вызов, а также подробные сведения, такие как номера телефонов контакта, адрес эл. почты и т.д. Поиск контакта ...
Страница 99 - Упорядочивание контактов, встреч, задач и других сведений 99; Группировка схожих контактов; Отправка сведений о контакте; Передача сведений о контакте; Отправка информации о контакте в SMS-сообщении
Упорядочивание контактов, встреч, задач и других сведений 99 Группировка схожих контактов Можно группировать схожие контакты для более удобного управления, назначая для них определенные категории. 1. Создайте новый контакт Outlook или измените существующий контакт Outlook. 2. Нажмите Категории . 3. ...
Страница 100 - 00 Упорядочивание контактов, встреч, задач и других сведений; Как создать контакт на SIM-карте; Копирование контактов с SIM-карты в коммуникатор
100 Упорядочивание контактов, встреч, задач и других сведений 1. Нажмите Пуск > Контакты , а затем выделите контакт. 2. нажмите Меню > Отправить как vCard . 3. Будет создано новое MMS-сообщение, содержащее файл vCard. Введите номер мобильного телефона или адрес эл. почты получателя и нажмите О...
Страница 101 - Упорядочивание контактов, встреч, задач и других сведений 101; Сохранение номера телефона своей SIM-карты
Упорядочивание контактов, встреч, задач и других сведений 101 По умолчанию обозначения “/M”, “/W” и “/H” добавляются в качестве индикаторов мобильного, рабочего и домашнего телефонных номеров. Вы можете изменить этот признак перед копированием контактов на SIM-карту. Индикаторы других типов телефонн...
Страница 102 - 02 Упорядочивание контактов, встреч, задач и других сведений; Создание встреч; Планирование встречи; Настройка напоминания по умолчанию обо всех новых встречах
102 Упорядочивание контактов, встреч, задач и других сведений 6.3 Календарь Используйте программу “Календарь” для создания встреч, собраний и других событий. Также можно синхронизировать встречи в программе “Календарь” между коммуникатором и ПК. Создание встреч Планирование встречи 1. Нажмите Пуск &...
Страница 103 - Упорядочивание контактов, встреч, задач и других сведений 103; Просмотр встреч
Упорядочивание контактов, встреч, задач и других сведений 103 3. Установите флажок Устанавливать напоминания для новых элементов . 4. Установите время включения напоминания. 5. После завершения ввода данных нажмите ОК для возврата в календарь. Просмотр встреч По умолчанию встречи в программе “Календ...
Страница 104 - 04 Упорядочивание контактов, встреч, задач и других сведений; Отправка встреч; Отправка запроса на встречу
104 Упорядочивание контактов, встреч, задач и других сведений Отправка встреч Отправка запроса на встречу Программу “Календарь” можно использовать для того, чтобы договариваться о встречах по электронной почте с теми людьми, которые пользуются программами Outlook или Outlook Mobile. 1. Нажмите Пуск ...
Страница 105 - Упорядочивание контактов, встреч, задач и других сведений 105; Создание задачи; Изменение приоритета задачи
Упорядочивание контактов, встреч, задач и других сведений 105 6.4 Задачи Используйте Задачи для ведения списка дел. Задачи могут быть разовыми или повторяющимися. Можно установить напоминания о задачах и упорядочить их, присвоив им категории.Ваши задачи отображаются в списке задач. Просроченные зада...
Страница 106 - 06 Упорядочивание контактов, встреч, задач и других сведений; Установка напоминания по умолчанию для всех новых задач; Отображение сроков начала и завершения задачи; Отправка сведений о задаче в формате vCalendar
106 Упорядочивание контактов, встреч, задач и других сведений Установка напоминания по умолчанию для всех новых задач 1. Нажмите Пуск > Программы > Задачи . 2. Нажмите Меню > Параметры . 3. Установите флажок Устанавливать напоминания для новых элементов . 4. Нажмите ОК для возврата к списку...
Страница 107 - Упорядочивание контактов, встреч, задач и других сведений 107; Как создать заметку; Рисование в заметке
Упорядочивание контактов, встреч, задач и других сведений 107 6.5 Заметки С помощью программы “Заметки” можно создавать рукописные и печатные заметки, записывать речевые заметки, преобразовывать рукописные заметки в текстовые для удобного чтения и выполнять другие действия. Как создать заметку 1. На...
Страница 108 - 08 Упорядочивание контактов, встреч, задач и других сведений; Запись речевой заметки
108 Упорядочивание контактов, встреч, задач и других сведений Запись речевой заметки Вы можете записать отдельную голосовую заметку или добавить звукозапись в обычную заметку. 1. Нажмите Пуск > Программы > Заметки . 2. Если на экране не отображается панель звукозаписи, то нажмите Меню > Пок...
Страница 109 - Упорядочивание контактов, встреч, задач и других сведений 109; “Диктофон”; Запись голоса; Отправка записи голоса по MMS
Упорядочивание контактов, встреч, задач и других сведений 109 6.6 Диктофон Программа “Диктофон” позволяет записывать голосовые сообщения и затем быстро отправлять их в MMS-сообщениях или по электронной почте, передавать на другие устройства или устанавливать в качестве мелодии звонка. Примечание Про...
Страница 110 - 10 Упорядочивание контактов, встреч, задач и других сведений; Отправка записи голоса по эл. почте; Установка записи голоса в качестве мелодии звонка
110 Упорядочивание контактов, встреч, задач и других сведений Отправка записи голоса по эл. почте • Выберите запись голоса и нажмите Меню > Отправить > Эл. почта Outlook . Будет создано новое сообщение эл. почты Outlook, содержащее запись голоса в виде вложения.Сведения об отправке сообщений э...
Страница 112 - 12 Обмен сообщениями; “Сообщения”; Выбор учетной записи для работы с
112 Обмен сообщениями 7.1 Сообщения Программа “Сообщения” используется для работы с текстовыми (SMS), мультимедийными сообщениями (MMS) и сообщениями электронной почты. При получении новых сообщений их можно открывать в экране Сегодня, нажимая нужный тип сообщения. Новые сообщения электронной почты ...
Страница 113 - Обмен сообщениями 113; Автоматическое добавление подписи в исходящие сообщения; Подписи; Отправка SMS-сообщений; Создание и отправка SMS-сообщения
Обмен сообщениями 113 Автоматическое добавление подписи в исходящие сообщения Можно автоматически добавлять ваше имя и другую информацию в качестве подписи в исходящие сообщения SMS, MMS и эл. почты. Для этого выполните следующие действия. Совет Для каждого типа учетной записи системы обмена сообщен...
Страница 114 - 14 Обмен сообщениями; Копирование SMS-сообщений на SIM-карту и с нее
114 Обмен сообщениями 5. Будет создано новое текстовое сообщение.Чтобы добавить получателей, введите номера их мобильных телефонов в поле Кому , разделяя номера точкой с запятой. Можно также нажать Кому , если хотите добавить номера мобильных телефонов из списка “Контакты”. 6. Введите текст сообщени...
Страница 115 - Обмен сообщениями 115; Изменение настроек MMS; Настройка параметров MMS-сообщений
Обмен сообщениями 115 7.3 MMS-сообщения Отправка MMS-сообщений друзьям и родственникам - это увлекательное и несложное занятие. В мультимедийное сообщение можно вставить фотоснимки, видео- и аудиозаписи. Примечания • Обмен мультимедийное сообщениями - это платная услуга, которая должна быть включена...
Страница 116 - 16 Обмен сообщениями; Создание и отправка MMS-сообщений; Создание MMS-сообщения
116 Обмен сообщениями • Шлюз . Местонахождение сервера MMS, которое изначально имеет формат IP-адреса. • Номер порта . Номер HTTP-порта, который используется для подключения к серверу MMS и для передачи файлов. • Адрес сервера . URL-адрес сервера, на котором хранятся MMS-сообщения. • Подключение чер...
Страница 117 - Обмен сообщениями 117; Вставка текста в MMS-сообщение
Обмен сообщениями 117 3. В поле Кому введите телефонный номер адресата или адрес электронной почты, или же выберите Кому , Копия или СК , чтобы выбрать номер или адрес электронной почты из адресной книги. Примечание Прокрутите вверх, чтобы увидеть поля Копия и СК. 4. Введите тему сообщения. 5. Нажми...
Страница 118 - 18 Обмен сообщениями; Вставка звукозаписи в MMS-сообщение
118 Обмен сообщениями Ввод текста Выбор стандартных слов и фраз в списке “Мой текст” Добавление ссылки из Избранного Добавить значок настроения Ввод сведений контактаВставка встречи из календаря Совет Чтобы изменить или удалить фразу из списка “Мой текст”, нажмите и удерживайте стилус на строке, а з...
Страница 119 - Обмен сообщениями 119; Просмотр MMS-сообщений и ответ на них; Просмотр MMS-сообщения
Обмен сообщениями 119 Просмотр MMS-сообщений и ответ на них Просмотр MMS-сообщения • Используйте кнопки управления воспроизведением , , и . • Нажмите Содержание , чтобы просмотреть список файлов, включенных в сообщение. На экране “Содержание сообщения” можно выполнить следующее: • Чтобы сохранить фа...
Страница 120 - 20 Обмен сообщениями; Мастер настройки эл. почты; Настройка коммуникатора для синхронизации эл.
120 Обмен сообщениями 7.4 Типы учетных записей эл. почты В коммуникаторе можно настроить следующие типы учетных записей электронной почты. • Электронную почту Outlook, которую можно синхронизировать с ПК или сервером Exchange Server. • Учетную запись электронной почты, которую можно получить у поста...
Страница 121 - Обмен сообщениями 121; Настройка учетной записи для почтовых серверов
Обмен сообщениями 121 Настройка учетной записи для почтовых серверов POP3 и IMAP4 Настраивайте учетную запись эл. почты POP3 или IMAP4 на коммуникаторе, если используется учетная запись эл. почты, предоставленная поставщиком услуг Интернета или другим поставщиком эл. почты, или учетная запись на осн...
Страница 122 - 22 Обмен сообщениями; Настройка параметров сервера эл. почты
122 Обмен сообщениями Настройка параметров сервера эл. почты Если не удалось выполнить настройку автоматически, обратитесь к поставщику услуг Интернета или эл. почты и узнайте необходимые параметры Сервер входящей почты и исходящей почты , чтобы ввести их на коммуникаторе.Также можно выбрать следующ...
Страница 123 - Обмен сообщениями 123; Создание и отправка сообщений; Как создать и отправить сообщение
Обмен сообщениями 123 Параметры Описание Доставлять почту по расписании при роуминге При выборе этого параметра коммуникатор сможет передавать данные при автоматическом подключении к Интернету через определенные интервалы времени. В этом случае могут возрасти расходы на связь, поэтому не рекомендует...
Страница 124 - 24 Обмен сообщениями; Добавление вложения в сообщение; Фильтрация списка входящий сообщений; Фильтрация входящих сообщений
124 Обмен сообщениями 8. Для проверки орфографии нажмите Меню > Проверка орфографии . 9. Нажмите Отправить . Советы • Чтобы ввести символы, на экранной клавиатуре нажмите 123 и затем нажмите нужный символ. Дополнительные сведения о вводе текста и символов см. в главе 2. • Для установки приоритета...
Страница 125 - Обмен сообщениями 125; Просмотр и ответ на сообщения; Чтение входящего сообщения
Обмен сообщениями 125 Просмотр и ответ на сообщения Чтение входящего сообщения По умолчанию при открытии входящего сообщения отображаются только первые несколько килобайт сообщения. Чтобы прочесть сообщение полностью, выполните одно из следующих действий. • Пальцем прокрутите в конец сообщения и наж...
Страница 126 - 26 Обмен сообщениями; Просмотр и ответ на сообщения эл. почты в формате HTML; Загрузка сообщений; Отправка и получение сообщений эл. почты учетной записи Outlook
126 Обмен сообщениями Просмотр и ответ на сообщения эл. почты в формате HTML Можно принимать, просматривать и отвечать на HTML-сообщения эл. почты, отправленные с учетной записи эл. почты любого типа. При этом формат HTML сохраняется без изменения макета или размера. Примечание Поддержка формата HTM...
Страница 127 - Обмен сообщениями 127; Отправка и получение сообщений эл. почты для учетной записи; Настройка параметров электронной почты; Изменение размера загрузки и формата электронной почты Outlook
Обмен сообщениями 127 2. Начнется автоматическая синхронизация, и коммуникатор отправит и примет сообщения электронной почты Outlook. Совет Синхронизацию также можно выполнить вручную в любое время, нажав “Синхрон.” в ActiveSync или Меню > Отправить и получить в Outlook Mobile. Отправка и получен...
Страница 128 - 28 Обмен сообщениями; Изменение размера загрузки и формата электронной почты POP3/
128 Обмен сообщениями Изменение размера загрузки и формата электронной почты POP3/ IMAP4 1. В экране выбора учетной записи нажмите Меню > Параметры или в списке сообщений нажмите Меню > Сервис > Параметры . 2. Выберите учетную запись электронной почты. 3. Нажимайте Далее до тех пор, пока на...
Страница 129 - Глава 8; Работа с сообщениями
Глава 8 Работа с сообщениями электронной почты компании и назначение собраний 8.1 Синхронизация с сервером Exchange Server 8.2 Работа с эл. почтой вашей организации 8.3 Управление приглашениями на собрания 8.4 Поиск контактов в Справочнике организации
Страница 130 - Синхронизация с сервером Exchange Server; Настройка подключения к серверу Exchange Server
130 Работа с сообщениями электронной почты компании и назначение собраний 130 Работа с сообщениями электронной почты компании и назначение собраний 8.1 Синхронизация с сервером Exchange Server Чтобы получать с работы последние сообщения эл. почты и графики собраний, находясь за пределами офиса, подк...
Страница 131 - Готово; Запуск синхронизации; Синхронизация; Работа с эл. почтой вашей организации
Работа с сообщениями электронной почты компании и назначение собраний 131 Работа с сообщениями электронной почты компании и назначение собраний 131 9. Нажмите Готово . Примечание Если синхронизация электронной почты и ПК уже выполнялась, запустите программу ActiveSync на коммуникаторе и нажмите Меню...
Страница 132 - Автоматическая синхронизация через Direct Push; Включение Direct Push из программы “Comm Manager”
132 Работа с сообщениями электронной почты компании и назначение собраний 132 Работа с сообщениями электронной почты компании и назначение собраний Автоматическая синхронизация через Direct Push Технология Direct Push (технология прямой передачи данных на клиентское устройство) (функция Push E-Mail)...
Страница 133 - Синхронизация по расписанию; Мгновенная загрузка с помощью Fetch Mail
Работа с сообщениями электронной почты компании и назначение собраний 133 Работа с сообщениями электронной почты компании и назначение собраний 133 Синхронизация по расписанию Если не хотите использовать функцию Direct Push, то можно настроить регулярное расписание для синхронизации электронной почт...
Страница 134 - Поиск сообщений эл. почты на сервере Exchange Server; Искать; Флажки сообщений
134 Работа с сообщениями электронной почты компании и назначение собраний 134 Работа с сообщениями электронной почты компании и назначение собраний Примечание При получении сообщения эл. почты, содержащего ссылку на документ, например, PDF или Microsoft Office, доступный в службе SharePoint или на в...
Страница 135 - Установка и снятие флажка для сообщения; Сообщение об отсутствии; Отправка автоматических сообщений об
Работа с сообщениями электронной почты компании и назначение собраний 135 Работа с сообщениями электронной почты компании и назначение собраний 135 Установка и снятие флажка для сообщения 1. Нажмите Пуск > Сообщения > Эл. почта Outlook . 2. Выберите сообщение или откройте его. 3. Нажмите Меню ...
Страница 136 - Управление приглашениями на собрания; Ответ на приглашение на собрание; OK
136 Работа с сообщениями электронной почты компании и назначение собраний 136 Работа с сообщениями электронной почты компании и назначение собраний 8.3 Управление приглашениями на собрания При планировании и отправке приглашений на собрание с коммуникатора можно пригласить участников на собрание, а ...
Страница 137 - Поиск контактов в Справочнике организации; организации
Работа с сообщениями электронной почты компании и назначение собраний 137 Работа с сообщениями электронной почты компании и назначение собраний 137 4. Если вы приняли приглашение на собрание, оно автоматически добавится в качестве встречи в календарь на коммуникаторе. Просмотр список участников собр...
Страница 140 - 40 Работа с документами и файлами; Microsoft® Office Mobile
140 Работа с документами и файлами 9.1 Microsoft® Office Mobile Microsoft® Office Mobile содержит следующие программы: • В программе Microsoft® Office Word Mobile можно создавать и редактировать документы и шаблоны и сохранять их как файлы в формате *.doc , *.rtf , *.txt и *.dot . • Microsoft® Offic...
Страница 141 - Работа с документами и файлами 141; Adobe® Reader® LE
Работа с документами и файлами 141 9.2 Adobe® Reader® LE Adobe® Reader® LE – это приложение для просмотра документов PDF (Portable Document Format) на коммуникаторе. Он поддерживает ограниченный набор функций, доступных в версиях Adobe Reader для ПК. Запуск Adobe Reader LE • Нажмите Пуск > Програ...
Страница 142 - 42 Работа с документами и файлами; Копирование файлов и управление ими; Копирование файлов с помощью приложения “Центр устройств
142 Работа с документами и файлами Советы • В программе Adobe Reader LE отображается панель закладок для файлов PDF с закладками. Касайтесь закладок для перехода к определенным разделам/страницам в файле. • Программа Adobe Reader LE поддерживает файлы PDF, защищенные паролем длиной до 128 разрядов. ...
Страница 143 - Работа с документами и файлами 143; Упорядочивание файлов на коммуникаторе с помощью Проводника
Работа с документами и файлами 143 Упорядочивание файлов на коммуникаторе с помощью Проводника Проводник позволяет просматривать и упорядочивать содержимое на коммуникаторе. Корневая папка на коммуникаторе называется “Мое устройство”. Она содержит следующие папки: “Мои документы”, “Program Files”, “...
Страница 144 - 44 Работа с документами и файлами; ZIP; Режим группового выделения
144 Работа с документами и файлами 9.4 ZIP Программа ZIP повышает емкость памяти коммуникатора, позволяя сжимать файлы в удобном формате ZIP. Она также позволяет извлекать файлы из архивов zip. Запуск приложения ZIP в коммуникаторе • Выберите Пуск > Программы > ZIP . При каждом запуске програм...
Страница 145 - Работа с документами и файлами 145
Работа с документами и файлами 145 3. Нажмите Сохранить . 4. Нажмите Меню > Действие > Добавить . 5. Дважды нажмите по папке, содержащей файлы, которые вы хотите архивировать. 6. Выберите нужные файлы одним из следующих способов: • Нажмите по файлу, чтобы выделить его. • Для выбора нескольких ...
Страница 146 - 46 Работа с документами и файлами; Архивирование данных; Sprite Backup; Резервное копирование данных в основном режиме
146 Работа с документами и файлами 9.5 Архивирование данных Используйте программу Sprite Backup для резервного копирования данных, в том числе параметров, файлов, контактов и другой информации, на карту памяти или в определенную папку на коммуникаторе. Установка программы Sprite Backup 1. Убедитесь,...
Страница 147 - Работа с документами и файлами 147; Восстановление данных в основном режиме
Работа с документами и файлами 147 Примечание Для изменения параметров резервного копирования или места сохранения копии необходимо выполнять резервное копирование в расширенном режиме. 1. В экране “Основной режим” нажмите Архивирование . 2. Укажите пароль (длиной от 6 до 15 символов) для файла резе...
Страница 148 - 48 Работа с документами и файлами; Изменение местонахождения и имени файла резервной копии
148 Работа с документами и файлами 3. В режиме дерева выберите элементы, которые требуется восстановить. 4. Нажмите кнопку Восстановить и для восстановления выполните отображаемые на экране инструкции. Примечание В основном и расширенном режиме перед началом процесса резервного копирования или восст...
Страница 149 - Подключения
Глава 10 Подключения 10.1 Comm Manager 10.2 Мастер настройки подключения 10.3 Способы подключения к Интернету 10.4 Wi-Fi 10.5 GPRS/3G 10.6 Удаленный доступ 10.7 Запуск подключения для передачи данных 10.8 Internet Explorer® Mobile 10.9 Windows Live™ 10.10 Использование устройства в качестве модема (...
Страница 151 - Мастер настройки подключения; Автоматическое определение оператора мобильной связи; Выбор оператора мобильной связи вручную
Подключения 151 10.2 Мастер настройки подключения Мастер настройки подключения выполняет настройку в коммуникаторе подключений для передачи данных, таких как GPRS, WAP и MMS, чтобы вам не нужно было вводить параметры в коммуникатор вручную. Все, что необходимо сделать - это выбрать оператора мобильн...
Страница 152 - Способы подключения к Интернету
152 Подключения Примечание Если выбрать значения параметров “Страна” и/или “Оператор мобильной связи” , отличающиеся от оператора установленной SIM-карты, то сетевые сервисы могут оказаться недоступными. 3. Нажмите OK . Будет выдан запрос на подтверждение настройки параметров подключений для выбранн...
Страница 153 - Включение и выключение Wi-Fi; Подключение к беспроводной сети
Подключения 153 10.4 Wi-Fi Технология Wi-Fi обеспечивает беспроводной доступ к Интернету на расстоянии до 100 метров. Чтобы использовать Wi-Fi в коммуникаторе, требуется доступ к беспроводной точке доступа (hotspot). Примечание Доступность и радиус действия сигнала Wi-Fi зависит от количества, инфра...
Страница 154 - Проверка состояния беспроводной сети
154 Подключения 3. Если доступ к беспроводной сети защищен ключом сети, то введите этот ключ и нажмите Подкл. . Когда в следующий раз вы будете использовать ваше устройство для обнаружения беспроводных сетей, всплывающее окно не откроется и вам не нужно будет вводить сетевой ключ беспроводной сети, ...
Страница 156 - Добавление нового подключения GPRS/3G
156 Подключения 1. Нажмите Пуск > Параметры > вкладка Подключения > Беспроводная ЛВС . 2. На вкладке Режим питания передвиньте ползунок Режим энергосбережения в положение, которое обеспечивает оптимальную работу при наименьшем энергопотреблении.Например, передвиньте ползунок влево (Максимал...
Страница 157 - Удаленный доступ
Подключения 157 4. В списке Выберите модем выберите Сотовая линия (GPRS, 3G) и нажмите Далее . 5. Введите “Имя точки доступа” и нажмите Далее . 6. Введите имя пользователя и пароль, если необходимо. 7. Нажмите Готово . Примечания • Для получения справки о любом экране нажмите значок ( ). • Для измен...
Страница 158 - Запуск подключения для передачи данных; Запуск подключения вручную; Internet Explorer® Mobile; Запуск Internet Explorer® Mobile
158 Подключения 6. Введите имя пользователя, пароль и другую информацию, запрашиваемую поставщиком Интернет услуг. 7. Нажмите Готово . 10.7 Запуск подключения для передачи данных После настройки подключения для передачи данных, например, подключения через службу GPRS или удаленного подключения, комм...
Страница 159 - Меню Internet Explorer®; “Меню”
Подключения 159 Просмотр веб-страницы, используя прокрутку и перемещение с помощью пальца • Чтобы прокрутить веб-страницу вверх, переместите палец вниз. Чтобы прокрутить веб-страницу вниз, переместите палец вверх. • Чтобы переместиться вниз, нажмите и проведите пальцем вверх по сенсорному экрану. Чт...
Страница 160 - Windows LiveTM
160 Подключения Нажмите Меню > Сервис , чтобы отправить ссылку на текущую веб- страницу, просмотреть свойства страницы или настроить параметры. Чтобы сохранить изображение с веб- страницы в коммуникаторе, нажмите и удерживайте изображение, а затем нажмите Сохранить изображение . Примечание: Допол...
Страница 161 - Настройка Windows LiveTM; Первоначальная настройка Windows Live
Подключения 161 Настройка Windows Live™ При первом использовании Windows Live™ войдите с помощью идентификатора Windows Live, которым является адрес электронной почты Windows Live или Hotmail, и пароля. Первоначальная настройка Windows Live 1. Нажмите Пуск > Программы > Windows Live . 2. Нажми...
Страница 162 - Интерфейс программы Windows LiveTM; В первом экране Windows LiveTM отображаются панели поиска и; С помощью версии; Windows Live Messenger; для мобильных устройств
162 Подключения Интерфейс программы Windows Live™ В первом экране Windows Live™ отображаются панели поиска и навигации, а также область настройки изображения. 1 Панель поиска Live Search 2 Нажимайте стрелки влево и вправо для переключения между Windows Live Messenger, Live Mail и состоянием синхрони...
Страница 163 - Запустите Messenger и выполните вход; Запуск Windows Live Messenger
Подключения 163 • Обмен мгновенными текстовыми и голосовыми сообщениями • Несколько бесед • Добавление значков настроения • Список контактов с информированием о присутствии • Отправка и получение файлов, в том числе фотографий • Изменение состояния/отображаемого имени • Просмотр контактам по состоян...
Страница 164 - Начало и завершение беседы; Добавление контактов Windows Live; Добавление контакта Windows Live в программе Live Messenger
164 Подключения Начало и завершение беседы 1. В списке контактов выберите контакт, а затем нажмите Мгн. сообщ. , чтобы открыть экран сообщения. 2. Введите текстовое сообщение в области для ввода текста на экране сообщения. 3. Чтобы добавить значок настроения, нажмите Меню > Добавить значок настро...
Страница 165 - Использование устройства в качестве; Общий Интернет; Настройка коммуникатора в качестве
Подключения 165 10.10 Использование устройства в качестве модема (Общий Интернет) Программа Общий Интернет подключает компьютер или ноутбук к Интернету с помощью подключения для передачи данных коммуникатора (например, GPRS или EDGE). Можно подключиться через USB или Bluetooth. Примечания • Убедитес...
Страница 166 - Использование коммуникатора в качестве модема Bluetooth
166 Подключения Использование коммуникатора в качестве модема Bluetooth Чтобы компьютер использовал подключение к Интернету коммуникатора, включите функцию общего доступа к Интернету на коммуникаторе, затем установите персональную сеть Bluetooth (PAN) между компьютером и коммуникатором. 1. На коммун...
Страница 167 - Завершение подключения к Интернету; Режимы Bluetooth; Вкл
Подключения 167 Примечание Если встроенный или внешний Bluetooth-адаптер на компьютере установлен при помощи драйвера стороннего изготовителя, то запустите программное обеспечение Bluetooth, прилагаемое к этому Bluetooth-адаптеру, чтобы установить связь между компьютером и устройством по Bluetooth. ...
Страница 168 - Сопряжение Bluetooth; Установление связи Bluetooth
168 Подключения Как включить радиоадаптер Bluetooth и сделать коммуникатор “видимым” 1. На вашем устройстве нажмите Пуск > Настройка > вкладка Подключения > Bluetooth > вкладка Режим . 2. Установите флажки Включить Bluetooth и Сделать это устройство видимым для других устройств . 3. Нажм...
Страница 169 - Согласие на установление связи Bluetooth; Подключение Bluetooth-гарнитуры “свободные руки”; Порядок подключения стереофонической Bluetooth-гарнитуры
Подключения 169 Согласие на установление связи Bluetooth 1. Проверьте, чтобы вашем телефоне была включена функция Bluetooth и задан режим “Видимый”. 2. Нажмите Да , когда будет предложено установить сопряжение с другим устройством. 3. Введите код связи (такой же, который введен в устройстве, запраши...
Страница 170 - Передача информации с помощью технологии Bluetooth; Передача информации с коммуникатора на ПК
170 Подключения 4. Нажмите имя гарнитуры Bluetooth и нажмите Далее . 5. Введите код связи Bluetooth-гарнитуры, затем нажмите Далее . 6. Убедитесь, что установлен флажок Hands Free . Если используется стереогарнитура Bluetooth, также убедитесь, что установлен флажок Беспроводное стерео . 7. Нажмите Г...
Страница 172 - Проводник Bluetooth и обмен файлами по Bluetooth; Включение программы Проводник Bluetooth и функции обмена
172 Подключения Советы • По умолчанию полученные элементы хранятся на компьютере в папке C:\Documents and Settings\имя_пользователя\Мои документы (Windows XP) или C:\Users\имя_пользователя\Мои документы (Windows Vista). • Чтобы коммуникатор мог принимать файлы от других устройств по Bluetooth, нажми...
Страница 173 - Печать файлов по Bluetooth; Печать контактной информации
Подключения 173 2. После этого программа “Проводник Bluetooth” выполнит поиск других устройств Bluetooth, поддерживающих обмен файлами. Выберите из списка устройство Bluetooth, к которому нужно подключиться. Может потребоваться ввести код связи, чтобы подключиться к выбранному устройству.Если в этом...
Страница 175 - Работа с системой GPS
Глава 11 Работа с системой GPS 11.1 Указания и подготовка к работе с системой GPS 11.2 Загрузка спутниковых данных при помощи программыQuickGPS 11.3 Работа с программой TomTom NAVIGATOR 11.4 Органы управления GPS
Страница 176 - 76 Работа с системой GPS; Указания и подготовка к работе с системой
176 Работа с системой GPS 11.1 Указания и подготовка к работе с системой GPS • Не пользуйтесь GPS-системой, когда ведете машину. Маршруты, показанные на карте системы GPS, служат для водителя только как рекомендации. Водитель вправе выбирать маршрут по собственному усмотрению. • Пользуйтесь GPS-сист...
Страница 177 - Работа с системой GPS 177
Работа с системой GPS 177 • При использовании в салоне автомобиля установите устройство в надежный держатель. Не устанавливайте устройство в местах, показанных на следующем рисунке: 1 Не устанавливайте устройство там, где оно может загораживать обзор для водителя. 2 Не устанавливайте устройство на п...
Страница 178 - 78 Работа с системой GPS; Загрузка спутниковых данных при; QuickGPS
178 Работа с системой GPS 11.2 Загрузка спутниковых данных при помощи программыQuickGPS Перед началом использования устройства для GPS-навигации откройте программу QuickGPS , чтобы загрузить в ваше устройство эфемеридные данные (текущие координаты спутника и информацию о синхронизации). Эти данные н...
Страница 179 - Работа с системой GPS 179; Способы загрузки
Работа с системой GPS 179 Способы загрузки Чтобы задать время загрузки, нажмите Меню > Параметры и выберите нужный вариант: • Напомнить, когда данные устареют . Когда срок действия эфемеридные данных истечет, устройство выдаст сообщение-напоминание.Увидев его, нажмите Меню , чтобы прекратить выда...
Страница 180 - 80 Работа с системой GPS; Работа с программой TomTom NAVIGATOR; TomTom NAVIGATOR; Первое использование; Определение текущего местоположения
180 Работа с системой GPS 11.3 Работа с программой TomTom NAVIGATOR TomTom NAVIGATOR - это программа GPS-навигации, выдающая четкие указания по выбору маршрута и голосовые инструкции, касающиеся поездки, в зависимости от указанного вами пункта назначения, выбранного контакта, объектов инфраструктуры...
Страница 181 - По завершении работы Мастера настройки и Мастера загрузки; В пути
Работа с системой GPS 181 Если определение текущего положения не завершится за 5 минут, то проверьте, нет ли поблизости высоких зданий или деревьев. Впоследствии ваши текущие координаты будут определяться намного быстрее (обычно за несколько секунд). Совет Чтобы GPS-приемник быстрее определял ваше т...
Страница 182 - 82 Работа с системой GPS; Главное меню
182 Работа с системой GPS Главное меню Чтобы открыть Главное меню , нажмите в любом месте экрана В пути. Главное меню содержит три экрана со значками. Для переключения между экранами меню нажимайте значок Далее. ( ). • Курс на . Позволяет выбрать пункт назначения. • Найти альтернативный . Расчет аль...
Страница 183 - Работа с системой GPS 183; Выбор пункта назначения
Работа с системой GPS 183 • Наглядные уроки . Можно выбрать ту или иную функцию и просмотреть наглядный урок по ее использованию. • Выход . Закрытие программы TomTom NAVIGATOR и завершение сеанса GPS-навигации. Выбор пункта назначения После нажатия значка Курс на в Главном меню вам будет предложено ...
Страница 184 - 84 Работа с системой GPS; Контакт; Избранное
184 Работа с системой GPS • Контакт . Адрес выбранного контакта, который записан в вашем устройстве. После задания пункта назначения программа NAVIGATOR спросит, нужно ли вам доехать туда в определенное время. После того, как вы нажмете ДА и введете нужное время прибытия, программа NAVIGATOR покажет...
Страница 185 - Работа с системой GPS 185; Создание элемента списка Избранное
Работа с системой GPS 185 Создание элемента списка Избранное 1. Нажмите по экрану “В пути”, чтобы открыть Главное меню. 2. Нажмите Добавить в избранное . 3. Затем в качестве избранного можно выбрать один из следующих пунктов: Дом , Адрес , Последний пункт назначения или Интересный объект . 4. Для из...
Страница 186 - 86 Работа с системой GPS; объектов инфраструктуры (Points; Добавление объекта инфраструктуры
186 Работа с системой GPS Объекты инфраструктуры (POI) К числу представляющих интерес объектов инфраструктуры (Points of Interest, POI) относятся автозаправочные станции, рестораны, гостиницы, автостоянки, гаражи и т.п.Программа NAVIGATOR группирует такие объекты по местам расположения и категориям....
Страница 187 - Работа с системой GPS 187; “Добавить POI”; Предварительное планирование
Работа с системой GPS 187 4. Введите имя для категории объектов, например, “Любимые рестораны”, затем выберите метку для категории объектов. (Эта метка будет показана на карте, когда вы разрешите отображение объектов инфраструктуры на карте). 5. Нажмите “Добавить POI” . 6. Нажмите категорию POI, в к...
Страница 188 - 88 Работа с системой GPS; Обзор карты; Открытие окна Обзор карты
188 Работа с системой GPS 4. Укажите пункт назначения вашей поездки. 5. Выберите тип планируемого маршрута, например: • Самый быстрый маршрут . Маршрут, поездка по которому займет меньше всего времени. • Кратчайший маршрут . Наикратчайшее расстояние между указанными вами пунктами (поездка по этому м...
Страница 189 - Работа с системой GPS 189
Работа с системой GPS 189 6 2 1 5 3 4 7 1 Эта Масштабная линейка показывает диапазон расстояний на карте в зависимости от текущего масштаба. 2 Это ваше текущее местоположение на карте. Нажмите по другому участку, чтобы переместиться в другой фрагмент карты. 3 Нажмите, чтобы ваше текущее местоположен...
Страница 190 - 90 Работа с системой GPS; Способ представления информации и поведения программы TomTom; Изменить; , чтобы открыть окно изменения настроек. Ниже
190 Работа с системой GPS Параметры Способ представления информации и поведения программы TomTom NAVIGATOR можно менять. В Главном меню нажмите Изменить параметры , чтобы открыть окно изменения настроек. Ниже приводится описание некоторых параметров программы NAVIGATOR, которые может менять пользова...
Страница 191 - Работа с системой GPS 191
Работа с системой GPS 191 Параметр Описание Управление картами Загрузка или удаление карты или переключение на другую карту. Управление объектами POI Добавление, изменение или удаление объектов инфраструктуры или их категории. Можно также включить звуковой сигнал предупреждения о приближении к объек...
Страница 192 - 92 Работа с системой GPS; Органы управления GPS
192 Работа с системой GPS Параметр Описание Изменить язык Выбор языка интерфейса программы TomTom NAVIGATOR. Восстановить заводские настройки Нажмите, чтобы сбросить параметры программы TomTom NAVIGATOR и восстановить заводские настройки. Будут удалены все настройки, в том числе Избранное, местополо...
Страница 193 - Работа с мультимедиа; Проигрыватель Windows Media® Mobile
Глава 12 Работа с мультимедиа 12.1 Камера 12.2 Альбом камеры 12.3 Фото и видео 12.4 Проигрыватель Windows Media® Mobile 12.5 Потоковое мультимедиа 12.6 Аудио-менеджер 12.7 Работа с программой “Настройка Аудио” 12.8 Работа с программой FM-радио
Страница 194 - Режимы съемки; Фото; 94 Работа с мультимедиа
12.1 Камера С помощью двух камер, встроенных в ваше устройство, можно легко делать фотоснимки и записывать видеоклипы со звуком: Основная камера: расположенная сзади 2-мегапиксельная КМОП-камера для фотосъемки с высоким разрешением и записи видеоклипов со звуком 2-ая камера: расположенная спереди ка...
Страница 195 - Форматы файлов; Работа с мультимедиа 195
Можно выбирать следующие режимы съемки: Значок Режим съемки Фото : камера делает обычные фотоснимки. Видео : съемка видеоклипов со звуком или без звука. MMS-видео : съемка видеоклипов для пересылки в MMS- сообщениях. Фото Контактов : камера делает снимок, который сразу можно назначить как фото для и...
Страница 196 - 96 Работа с мультимедиа; Панель управления камеры; Переключатель режимов
196 Работа с мультимедиа Панель управления камеры • Нажмите кнопку КАМЕРА или ВВОД, чтобы сделать обычный фотоснимок или фотоснимок для назначения контакту. • Нажмите кнопку КАМЕРА или ВВОД, чтобы начать запись видео; для остановки видеозаписи нажмите эту кнопку еще раз. • Нажимайте кнопку КАМЕРА ил...
Страница 197 - Работа с мультимедиа 197
Работа с мультимедиа 197 В режимах “Видео” и “MMS-видео” этот индикатор показывает оставшееся время записи видеоклипов. Во время видеосъемки показывает длительность видеозаписи. 3 Масштабирование . Нажимайте / на экране для увеличения или уменьшения масштаба. Примечание Этот элемент отображается тол...
Страница 198 - 98 Работа с мультимедиа; Панель быстрой настройки; Разрешение
198 Работа с мультимедиа Панель быстрой настройки Панель быстрой настройки предназначена для быстрого доступа к основным параметрам камеры. Нажмите экран, чтобы открыть Панель быстрой настройки. Продолжайте нажимать кнопку на панели, например, Разрешение , для поочередного перехода по доступным знач...
Страница 199 - Работа с мультимедиа 199; Автоспуск; Масштабирование; Увеличение
Работа с мультимедиа 199 Если при съемке автопортрета в кадр попадает текст (например, если на вас надета футболка с текстом), то текст на фотоснимке/ видео, сделанном 2-й камерой, будет зеркально отражен. Используйте режим “2-ая камера (Переворот)” для зеркального отражения при автопортретной фото-...
Страница 201 - Работа с мультимедиа 201; Экран “Просмотр”; Просмотр
Работа с мультимедиа 201 Характеристики при использовании 2-й камеры (размеры записываемого изображения и диапазон масштаба) см. в электронной справке. Экран “Просмотр” В экране Просмотр после фотографирования или записи видеоклипа результат можно просмотреть, отправить по почте или удалить. Также м...
Страница 202 - 02 Работа с мультимедиа; Настройки камеры; Вкладка “Параметры съемки”
202 Работа с мультимедиа Настройки камеры Нажмите значок Меню ( ), чтобы открыть экран Настройка камеры. В экране Настройка камеры можно задавать параметры съемки и камеры.Экран Настройка камеры состоит из двух вкладок: Параметры съемки и Дополнительно . Откройте вкладку Параметры съемки для настрой...
Страница 203 - Работа с мультимедиа 203; Вкладка “Дополнительно”
Работа с мультимедиа 203 • Количество склеек (режим Панорама). Укажите, сколько требуется сделать снимков панорамного пейзажа для последующей склейки. • Качество . Выберите, с каким качеством все фотоснимки будут сохраняться в формате JPEG. Можно выбрать один из вариантов: “Базовое” , “Обычное” , “В...
Страница 204 - 04 Работа с мультимедиа
204 Работа с мультимедиа • Сетка (режим Фото). Выберите, нужно ли показывать сетку в экране Камера. С помощью сетки можно проще и точнее отцентрировать кадр и выбрать его композицию. Метки сетки • Сохранить подсветку . Включение или выключение подсветки. Значение, заданное для этого параметра, имеет...
Страница 205 - Работа с мультимедиа 205
Работа с мультимедиа 205 • Нумерация файлов . Чтобы для записанных файлов снова начать нумерацию со значения “1”, коснитесь “Сброс” . • Предел записи (режим Видео). Настройка продолжительности или размера файла записи. • Папка шаблонов (режим Коллаж). По умолчанию шаблоны хранятся в папке \Мои докум...
Страница 206 - 06 Работа с мультимедиа
206 Работа с мультимедиа 12.2 Альбом камеры Используйте программу Альбом камеры для просмотра снимков и видеозаписей, сделанных при помощи программы Камера. Альбом камеры предлагает множество функций, позволяющих поворачивать снимки, просматривать их в режиме слайд-шоу, присваивать снимки контактам ...
Страница 207 - Работа с мультимедиа 207; Просмотр изображений; Переход к следующему изображению
Работа с мультимедиа 207 Просмотр изображений В главном экране программы “Альбом камеры” нажмите эскиз изображения, который хотите просмотреть. Во время просмотра изображения его можно увеличивать и поворачивать. Порядок увеличения или поворота изображения описан ниже. При просмотре снимка нажмите э...
Страница 208 - 08 Работа с мультимедиа; Поворот изображения; Просмотр изображения, которое вы хотите повернуть.; Увеличение или уменьшение изображения; Во время просмотра изображения проведите пальцем полный круг на
208 Работа с мультимедиа Поворот изображения 1. Просмотр изображения, которое вы хотите повернуть. 2. Пальцем проведите полукруг по экрану. Проведите пальцем против часовой стрелки, чтобы повернуть снимок на 90 градусов против часовой стрелки. Проведите пальцем по часовой стрелке, чтобы повернуть сн...
Страница 209 - Работа с мультимедиа 209; Просмотр снимков в режиме слайд-шоу; Закрытие “Альбома камеры” и переключение в программу Камера
Работа с мультимедиа 209 Просмотр снимков в режиме слайд-шоу В экране “Альбом камеры” нажмите Слайд-шоу . Во время просмотра слайд-шоу нажмите экран, чтобы показать органы управления просмотром. Нажмите, чтобы вернуться к предыдущему изображению. Нажмите, чтобы открыть параметры слайд-шоу и задать э...
Страница 210 - 10 Работа с мультимедиа; Фото и видео; Запуск программы “Фото и видео”
210 Работа с мультимедиа 12.3 Фото и видео Программа Фото и видео позволяет управлять следующими типами мультимедийных файлов на коммуникаторе. Тип файла Расширения имени файла Изображение *.bmp, *.jpg, *.gif, *.png Анимированные файлы GIF *.gif Видео *.avi, *.wmv, *.mp4, *.3gp, *.3g2 Аудио *.wma За...
Страница 211 - Работа с мультимедиа 211; Воспроизведение; Меню программы “Фото и видео”; Редактирование рисунка
Работа с мультимедиа 211 Воспроизведение анимированных файлов GIF 1. Выберите файл GIF-анимации (помеченный значком ) и нажмите Просмотр . 2. Будет вызвана программа “GIF-анимация”, которая позволяет открывать такие файлы и воспроизводить анимацию. Воспроизведение видеозаписей 1. По умолчанию на экр...
Страница 212 - 12 Работа с мультимедиа; Повернуть; Запуск программы Проигрыватель Windows Media
212 Работа с мультимедиа 2. Нажмите Меню > Изменить и выполните одно из следующих действий: • Чтобы повернуть рисунок на 90 градусов против часовой стрелки, нажмите Повернуть . • Чтобы обрезать рисунок, выберите Меню > Обрезать . Затем перетаскиванием определите область обрезки. Нажмите внутри...
Страница 213 - Работа с мультимедиа 213; Об элементах управления; Экран воспроизведения
Работа с мультимедиа 213 Об элементах управления В программе Проигрыватель Windows Media® Mobile можно использовать следующие элементы управления. Воспроизведение/Пауза Во весь экран Переход на WindowsMedia.com Нажмите и перетащите для перехода в любое место видео- или аудиоклипа Переход к началу те...
Страница 214 - 14 Работа с мультимедиа; Синхронизация видео- и аудиофайлов; Автоматическая синхронизация содержимого на коммуникатор
214 Работа с мультимедиа Синхронизация видео- и аудиофайлов Для синхронизации файлов цифрового мультимедиа между ПК и коммуникатором используйте последнюю версию программы Проигрыватель Windows Media® на ПК. Использование этого приложения гарантирует правильное копирование защищенных файлов и обложк...
Страница 215 - Работа с мультимедиа 215; Синхронизация содержимого на коммуникатор вручную; Начать синхронизацию
Работа с мультимедиа 215 Синхронизация содержимого на коммуникатор вручную 1. Если коммуникатор не синхронизирован с ПК, выполните шаги с 1 по 3, описанные в разделе “Автоматическая синхронизация содержимого на коммуникаторе”, но при этом установите флажок в поле “Вручную”. 2. Откройте вкладку Синхр...
Страница 216 - 16 Работа с мультимедиа; Воспроизведение медиа-файлов; Обновление библиотеки; Списки воспроизведения; Сохранение нового списка воспроизведения
216 Работа с мультимедиа Воспроизведение медиа-файлов Используйте библиотеку для поиска и воспроизведения песен, видеозаписей и списков воспроизведения, хранящихся на коммуникаторе или на съемной карте памяти. Обновление библиотеки 1. Если экран “Библиотека” не открыт, то нажмите Меню > Библиотек...
Страница 217 - Работа с мультимедиа 217; Устранение неполадок; Потоковое мультимедиа
Работа с мультимедиа 217 2. Нажмите, чтобы выбрать категорию (например, “Моя музыка” или “Мои списки воспроизведения”). 3. Выберите нужный мультимедийный файл, затем нажмите Меню > Поставить в очередь . Файл будет добавлен в список “Проигрывается”.Повторите это действие для добавления всех необхо...
Страница 218 - 18 Работа с мультимедиа; Доступ к потоковому материалу с помощью программы Internet
218 Работа с мультимедиа Доступ к потоковому материалу с помощью программы Internet Explorer В программе Internet Explorer можно открыть веб-страницу со ссылками RTSP (Real Time Streaming Protocol) на потоковое мультимедийное содержимое, а затем воспроизвести содержимое в программе “Потоковое мульти...
Страница 219 - Работа с мультимедиа 219; Подключиться
Работа с мультимедиа 219 1. Нажмите Пуск > Программы > Потоковое мультимедиа . 2. В программе нажмите Подключиться . 3. Введите URL-адрес веб-сайта (rtsp://) и имя файла. 4. Нажмите Подключиться . 5. Программа “Потоковое мультимедиа” начнет воспроизведение файла. Во время воспроизведения испол...
Страница 220 - 20 Работа с мультимедиа; Запуск программы Аудио-менеджер; Библиотека; Исполнитель
220 Работа с мультимедиа Запуск программы Аудио-менеджер • Выберите Пуск > Программы > Аудио-менеджер . Примечания • Программа “Аудио-менеджер” выполняет поиск всех хранящихся на коммуникаторе и карте памяти музыкальных файлов следующих аудиоформатов: MP3, WMA, AAC и AAC+. Она ведет поиск в сл...
Страница 221 - Работа с мультимедиа 221; Сведения; Музыкальный проигрыватель
Работа с мультимедиа 221 Значок замка рядом с названием песни указывает на то, что данный музыкальный файл защищен. Если требуется просмотреть информацию о файле, выберите файл и коснитесь Сведения . Значок перечеркнутого замка перед названием песни указывает на то, что срок действия прав на данный ...
Страница 222 - 22 Работа с мультимедиа; Создание списка воспроизведения
222 Работа с мультимедиа • Списки воспроизведения программы Проигрыватель Windows Media® . Это списки воспроизведения, находящиеся в библиотеке программы Проигрыватель Windows Media® Mobile (который синхронизирован с проигрывателем Проигрыватель Windows Media® на компьютере). Они помечены значком Пр...
Страница 223 - Работа с мультимедиа 223; Установка музыки в качестве мелодии звонка; Обрезать
Работа с мультимедиа 223 7. Для возврата в экран “Списки воспроизведения” трижды нажмите кнопку OK . Воспроизведение списка воспроизведения 1. На экране “Списки воспроизведения” коснитесь списка, чтобы выбрать его. 2. Коснитесь первой песни в выбранном списке воспроизведения. Программа “Музыкальный ...
Страница 224 - 24 Работа с мультимедиа; Уст. как мелодию звонка по умолчанию; Работа с программой “Настройка Аудио”; Настройка Аудио
224 Работа с мультимедиа 3. Нажмите Уст. как мелодию звонка по умолчанию . Совет Чтобы сохранить песню в папку мелодий звонка для дальнейшего использования, нажмите Сохранить в папку “Мелодии звонка ”. Позже для установки песни в качестве мелодии звонка нажмите Пуск > Настройка > вкладка Личны...
Страница 225 - Работа с мультимедиа 225; Эквалайзер
Работа с мультимедиа 225 Орган управления Назначение 3 Высокие частоты Усиление высоких звуковых частот при воспроизведении. Передвигайте ползунок для усиления или ослабления этого эффекта. Для отключения эффекта усиления высоких частот выведите значение до 0%. 4 Бас Усиление низких звуковых частот ...
Страница 226 - 26 Работа с мультимедиа; Удаление пользовательской предустановки для эквалайзера; Применение предустановок
226 Работа с мультимедиа Удаление пользовательской предустановки для эквалайзера 1. Установите флажок Эквалайзер и нажмите . 2. Нажмите окно списка и в нем выделите предустановку, которую хотите удалить. 3. Нажмите Меню > Удалить предустановку . Примечание Удалять можно только пользовательские пр...
Страница 227 - Выход; программа продолжит работать в фоновом режиме, чтобы вы могли; Органы управления программы FM-радио
Работа с мультимедиа 227 Порядок сохранения избранных станций в список предустановок описан в разделе “Сохранение предустановок“. Когда вы нажмете значок Выход сверху справа экрана FM-радио, программа продолжит работать в фоновом режиме, чтобы вы могли слушать радиопередачи, работая с другими програ...
Страница 228 - 28 Работа с мультимедиа; Дисплей радиостанций; Джойстик; Нажимайте джойстик для поиска станций в FM-диапазоне:
228 Работа с мультимедиа Орган управления Назначение 6 Сохранение до шести избранных FM-станций в качестве предустановок. Для настройки на нужную станцию нажмите соответствующую ей кнопку. 7 Поиск следующей станции в FM-диапазоне в порядке убывания частоты. 8 Поиск следующей станции в FM-диапазоне в...
Страница 229 - Работа с мультимедиа 229; Диск джойстика; Сохранение предустановок; Сохранение FM-станций для кнопок предустановок; Сохранение FM-станций в экране Предустановки
Работа с мультимедиа 229 • Нажимайте джойстик для выбора предустановленной станции: вверх - предыдущая станция, вниз - следующая. • Для попеременного отключения/включения звука нажимайте кнопку ВВОД. Диск джойстика • Для увеличения громкости поворачивайте диск джойстика по часовой стрелке, а для уме...
Страница 230 - 30 Работа с мультимедиа; Прослушивание настроенных FM-станций; Главное меню программы FM-радио
230 Работа с мультимедиа Прослушивание настроенных FM-станций Выполните одно из следующих действий: • В главном экране программы FM-радио нажмите кнопку предустановки нужной станции. • В экране Предустановки выберите номер предустановки нужной станции и нажмите Прослушать . Главное меню программы FM...
Страница 231 - Управление устройством
Глава 13 Управление устройством 13.1 Установка и удаление программ 13.2 Работа с программой “Диспетчер задач” 13.3 Сброс устройства 13.4 Управление памятью 13.5 Центр обновления Windows 13.6 Советы по экономному использованию аккумулятора
Страница 232 - 32 Управление устройством; Установка и удаление программ; Установка программ; Работа с программой “Диспетчер задач”; Запуск программы “Диспетчер задач”
232 Управление устройством 13.1 Установка и удаление программ Перед приобретением дополнительных программ для коммуникатора убедитесь, что они совместимы с вашим устройством. Установка программ 1. Загрузите программу на ваш ПК (или вставьте в него компакт-диск с программой). Вы можете увидеть файл *...
Страница 233 - Управление устройством 233; Настройка кнопки Выход (; Завершение работы программ с помощью “Диспетчера задач”; Добавление запущенной программы в список программ-исключений
Управление устройством 233 Настройка кнопки Выход ( ) Можно настроить кнопку Выход , чтобы нажатием этой кнопки завершать выполнение запущенных программ или просто временно закрывать экран программы, но сохранять ее в “запущенном” состоянии. 1. В экране программы “Диспетчер задач” откройте вкладку К...
Страница 234 - 34 Управление устройством; Сортировка запущенных программ в Быстром меню; Сброс устройства; Программный сброс; Выполнение программного сброса; Аппаратный сброс
234 Управление устройством Совет Чтобы удалить программу из списка программ-исключений, откройте вкладку Исключения , установите флажок для этой программы, а затем нажмите “Удалить” . Сортировка запущенных программ в Быстром меню 1. В экране программы “Диспетчер задач” откройте вкладку Дополнительно...
Страница 235 - Управление устройством 235; Выполнение аппаратного сброса; Очистка хранилища; Очистить Хранилище
Управление устройством 235 Внимание! На коммуникаторе будут восстановлены заводские настройки. Прежде чем выполнять аппаратный сброс, убедитесь, что все дополнительные программы и все личные данные скопированы на резервное устройство. Важно! Если ранее была включена или сейчас включена функция “Шифр...
Страница 236 - 36 Управление устройством; Управление памятью
236 Управление устройством 1. Нажмите Пуск > Настройка > вкладка Система > Очистить Хранилище . 2. Введите “ 1234 ”, затем нажмите Да . 13.4 Управление памятью Чтобы просмотреть количество доступной для использования памяти, нажмите Пуск > Настройка > вкладка Система > Память . На ...
Страница 237 - Управление устройством 237; Настройка центра обновления Windows
Управление устройством 237 Настройка центра обновления Windows При первом запуске программы “Центр обновл. Windows” необходимо указать способ проверки исправлений на веб-сайте Microsoft. 1. Нажмите Пуск > Настройка > вкладка Система > Центр обновл. Windows . 2. В экране Установка обновления...
Страница 238 - 38 Управление устройством; Советы по экономному использованию
238 Управление устройством 13.6 Советы по экономному использованию аккумулятора Длительность сохранения заряда аккумулятора зависит от его типа и интенсивности использования коммуникатора. Для экономии заряда аккумулятора попробуйте выполнить следующие действия: • Если коммуникатор не используется, ...
Страница 240 - 40 Работа с другими приложениями; Создание речевой метки для номера телефона; Добавить речевую метку; Речевая метка
240 Работа с другими приложениями 14.1 Голосовой набор номера Вы можете записать речевые метки, чтобы набирать телефонные номера, просто произнося соответствующее слово. Создание речевой метки для номера телефона 1. Нажмите Пуск > Контакты , чтобы открыть список Контакты. 2. Выполните одно из сле...
Страница 241 - Работа с другими приложениями 241; Создание речевой метки для программы; Как позвонить или запустить программу с помощью; Просмотр и проверка созданных речевых меток
Работа с другими приложениями 241 5. После создания речевой метки для элемента вы можете выполнять следующие действия: • Нажмите кнопку Запись , чтобы переписать речевую метку. • Нажмите кнопку Воспроизвести , чтобы воспроизвести речевую метку. • Нажмите кнопку Удалить , чтобы удалить речевую метку....
Страница 242 - 42 Работа с другими приложениями; Запуск программы Java; Установка и запуск программ или пакетов MIDlet; Загрузка и установка с помощью Internet Explorer Mobile
242 Работа с другими приложениями 2. На вкладке Речевая метка показан список всех созданных вами речевых меток. Выберите элемент из списка и выполните одно из следующих действий: • Нажмите кнопку Запись ( ), чтобы заново записать речевую метку. • Нажмите кнопку Воспроизвести ( ), чтобы прослушать ре...
Страница 243 - Работа с другими приложениями 243; Установка с коммуникатора; Управление программами и пакетами MIDlet; Создание папок
Работа с другими приложениями 243 Установка с коммуникатора Можно скопировать программы или пакеты MIDlet с ПК на коммуникатор, используя кабель синхронизации USB или адаптер Bluetooth. Затем скопируйте программы в корневую или любую вложенную папку на коммуникаторе. 1. Нажмите Меню > Установить ...
Страница 244 - 44 Работа с другими приложениями; Переименование программы MIDlet или папки
244 Работа с другими приложениями Переименование программы MIDlet или папки 1. Нажмите и удерживайте пакет MIDlet или папку, затем нажмите Переименовать . Вместо этого можно нажать Меню > Действия > Переименовать . 2. Введите новое имя и нажмите Сохранить . Обновление программы или пакета MIDl...
Страница 245 - Работа с другими приложениями 245; Spb GPRS Monitor; Установка программы GPRS Monitor
Работа с другими приложениями 245 14.3 Spb GPRS Monitor С помощью программы Spb GPRS Monitor можно просматривать количество отправленных и полученных данных на коммуникаторе и проверять стоимость использования сети с учетом особенностей тарифного плана. Можно также просматривать графики расходов на ...
Страница 246 - 46 Работа с другими приложениями; Значок GPRS Monitor и всплывающее окно; Отображение значка GPRS Monitor в строке заголовка
246 Работа с другими приложениями 3 Это индикатор заряда аккумулятора. Нажмите, чтобы открыть экран "Электропитание". 4 Нажимайте для попеременного включения и отключения выбранного по умолчанию подключения для передачи данных. 5 Нажмите, чтобы открыть программу Internet Explorer Mobile. 6 Н...
Страница 247 - Работа с другими приложениями 247; Настройка наблюдения и уведомлений; Выбор подключения для наблюдения; Настройка уведомлений о достижении предельного объема трафика; Просмотр графиков и отчетов
Работа с другими приложениями 247 Настройка наблюдения и уведомлений Выбор подключения для наблюдения 1. В экране GPRS Monitor нажмите Сервис > Параметры > вкладка Подключение . 2. Установите флажок Включить мониторинг подключения . 3. В списке Подключение выберите подключение, за которым хоти...
Страница 248 - 48 Работа с другими приложениями; Просмотр графиков и генерирование отчетов
248 Работа с другими приложениями Просмотр графиков и генерирование отчетов На экране программы GPRS Monitor: • Откройте вкладку Диаграмма для просмотра графиков расходов на сетевое подключение и графиков трафика. • Откройте вкладку Отчет , чтобы создать отчеты о сетевом трафике и тарифе. Подробные ...
Страница 250 - Идентификационные номера, выдаваемые органами; Уведомление для стран Европейского Союза
250 Приложение A.1 Уведомления о соответствии стандартам Идентификационные номера, выдаваемые органами государственного регулирования В соответствии с установленными правилами данному устройству для идентификации присвоен номер модели POLA100 . Для обеспечения продолжительной, надежной и безопасной ...
Страница 252 - Данное оборудование можно эксплуатировать в:; Меры безопасности в отношении воздействия
252 Приложение • EN 50371:2002 Групповой стандарт, обеспечивающий соответствие маломощного электронного и электрооборудования и приборов основным требованиям, относящимся к воздействию электромагнитного излучения на человека (в диапазоне 10 МГц - 300 Гц) - население. Данное оборудование можно эксплу...
Страница 254 - Кардиостимуляторы
254 Приложение Информация о SAR 0,888 Вт/кг при 10g (CE) Информация Ассоциации мобильных телекоммуникаций и Интернета (Telecommunications & Internet Association, TIA) по технике безопасности Кардиостимуляторы Для предотвращения возможных помех в работе кардиостимулятора Ассоциация производителей...
Страница 256 - A.2 Технические характеристики; Сведения о системе; Электропитание
256 Приложение A.2 Технические характеристики Сведения о системе Процессор Qualcomm® MSM7200™ 400 МГц Память – ПЗУ: 256 Мбайт – ОЗУ: 128 Мбайт (DDR SDRAM) Примечание: эти значения указывают общую емкость ПЗУ и ОЗУ, доступную для использования и хранения. Поскольку ресурсы памяти совместно используют...
Страница 259 - Symbols
Алфавитный указатель Symbols 3D-звук 224 3G 156 A Автомобильные телефонные комплекты 76 Аккумулятор - зарядка аккумулятора 27 - сведения об аккумуляторе 22 - экономия заряда аккумулятора 155, 238 Альбомная 28 Альбом камеры 47, 206 Анимированные файлы GIF 211 Аппаратный сброс 234, 235 Аудио-менеджер ...
Страница 260 - 60 Алфавитный указатель
260 Алфавитный указатель Камера - значки 196 - настройка 198 - обзор 47 - панель быстрой настройки 198 - режимы съемки 194, 195 - технические характеристики 257 - форматы файлов 195 - элементы управления 196 Карта памяти - зашифровать 84 - копирование файлов 143 - проверка свободного места 236 Клави...
Страница 261 - Алфавитный указатель 261
Алфавитный указатель 261 SIM-карту 100 - копирование контактов с SIM-карты в коммуникатор 100 - обзор 48 - создание контакта SIM 100 Меню “Пуск” 30, 83 Модем - Bluetooth 166 - USB 165 Модем USB 165 Модуль запуска 35, 40 Музыкальный проигрыватель (Аудио-менеджер) 221 Мультимедиа 40, 115, 212 Н Настро...
Страница 262 - 62 Алфавитный указатель
262 Алфавитный указатель - эл. почта 125 Отключить звук 68 Открытие файла PDF 141 Отправить - MMS-сообщение 116 - SMS-сообщение(SMS) 113 - эл. почта 123 От USB к ПК 92 Очистить Хранилище 235 П Память 236, 256 Панель ввода 54 Пароль 83 Передача - через Bluetooth 170 Переключение между звонками 68 Пер...
Страница 263 - Алфавитный указатель 263
Алфавитный указатель 263 Размер текста на экране 79 Разорвать подключение, установленное для передачи данных 150 Редактирование изображения 211 Режим “Фото Контактов” 195 Режим видеосъемки 195 Режим видеосъемки для MMS- сообщений 195 Режим съемки “Коллаж” 195 Режим съемки “Панорама” 195 Режим съемки...
Страница 264 - 64 Алфавитный указатель
264 Алфавитный указатель - Проигрыватель Windows Media Mobile 217 Ф Фото и видео - воспроизведение анимированных файлов GIF 211 - воспроизведение видео 211 - просмотр изображений 210 - редактирование изображения 211 - форматы файлов 210 Ц Центр обновл. Windows 236 Центр обновления Windows 51 Центр у...
Страница 265 - Алфавитный указатель 265
Алфавитный указатель 265 E EDGE 156 Excel Mobile 46, 140 Exchange Server 130 F FM-радио 47, 226 G GPRS/3G 156 GPRS Monitor 48, 245 GPS 48, 176, 178 H HSDPA 52 HTC Home 31 I IMAP4 121 Internet Explorer Mobile 46, 158 J Java - обзор 47 - обновление программы или пакета MIDlet 244 - переименование прог...
Страница 266 - 66 Алфавитный указатель
266 Алфавитный указатель W Wi-Fi 52, 150, 153 Windows Live 49, 160 Windows Live Messenger 47, 162 Word Mobile 46, 140 Z ZIP - обзор 49, 144 - открытие файла ZIP и извлечение файлов 144 - создание архива 144