LG FH0H3SD1 - инструкции и руководства
Стиральная машина LG FH0H3SD1 - инструкции пользователя по применению, эксплуатации и установке на русском языке читайте онлайн в формате pdf
Инструкции:
Инструкция по эксплуатации LG FH0H3SD1
1
2
3
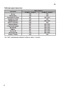
4
5
6
7
8
9
10
11
12
13
14
15
16
17
18
19
20
21
22
23
24
25
26
27
28
29
30
31
32
33
34
35
36
37
38
39
40
41
42
43
44
LG Стиральные машины Инструкции
-
LG E1069QD
Инструкция по эксплуатации
-
LG E1069SD
Инструкция по эксплуатации
-
LG E10B8MD (ND) (QD)
Инструкция по эксплуатации
-
LG E10B8SD0
Инструкция по эксплуатации
-
LG E1269LD
Инструкция по эксплуатации
-
LG E1269QD
Инструкция по эксплуатации
-
LG E1269SD
Инструкция по эксплуатации
-
LG E12B8MD (ND) (QD)
Инструкция по эксплуатации
-
LG E8069QD
Инструкция по эксплуатации
-
LG E80B8MD (ND)
Инструкция по эксплуатации
-
LG F0L9DGP2S
Инструкция по эксплуатации
-
LG F1022NDR
Инструкция по эксплуатации
-
LG F1048ND
Инструкция по эксплуатации
-
LG F1048ND1
Инструкция по эксплуатации
-
LG F-1056 ND1
Инструкция по эксплуатации
-
LG F1056ND1
Инструкция по эксплуатации
-
LG F1056QD
Инструкция по эксплуатации
-
LG F1068LD1
Инструкция по эксплуатации
-
LG F1068SD1
Инструкция по эксплуатации
-
LG F1080ND
Инструкция по эксплуатации