Страница 2 - СОДЕРЖАНИЕ
СОДЕРЖАНИЕ В данном руководстве могут встречаться изображения или материалы , не относящиеся к купленной вами модели . Производитель может вносить изменения в содержание руководства . ТЕХНИКА БЕЗОПАСНОСТИ ПЕРЕД НАЧАЛОМ ИСПОЛЬЗОВАНИЯ ПРОЧТИТЕ ВСЕ СООТВЕТСТВУЮЩИЕ ИНСТРУКЦИИ ..............................
Страница 3 - ТЕХНИКА
3 ТЕХНИКА БЕЗОПАСНОСТИ РУССКИЙ ТЕХНИКА БЕЗОПАСНОСТИ ПЕРЕД НАЧАЛОМ ИСПОЛЬЗОВАНИЯ ПРОЧТИТЕ ВСЕ СООТВЕТСТВУЮЩИЕ ИНСТРУКЦИИ Следующие рекомендации по технике безопасности призваны предотвратить непредвиденные риски и ущерб , вызванные небезопасной , либо неверной эксплуатацией техники . Рекомендации дел...
Страница 4 - Максимальный
4 ТЕХНИКА БЕЗОПАСНОСТИ опытом и знаниями под присмотром или при условии их обучения безопасному использованию изделия и при условии , что они осознают имеющиеся опасности . Дети не должны играть с изделием . Без присмотра взрослых дети не должны проводить очистку и обслуживание изделия . • Детей до ...
Страница 5 - Установка
5 ТЕХНИКА БЕЗОПАСНОСТИ РУССКИЙ Установка • Для безопасной транспортировки данного устройства требуются два человека или более . • Не устанавливайте устройство в местах с высокой влажностью или большим количеством пыли . Не устанавливайте и не храните устройство вне помещений или в местах , подвержен...
Страница 7 - Обслуживание
7 ТЕХНИКА БЕЗОПАСНОСТИ РУССКИЙ • В случае обнаружения утечки воды из устройства отключите его от электросети и обратитесь в центр поддержки клиентов компании LG Electronics. • Закройте краны подачи воды , чтобы сбросить давление в шлангах и вентилях и свести к минимуму риск утечки в случае поломки у...
Страница 8 - Утилизация
8 ТЕХНИКА БЕЗОПАСНОСТИ • После полного удаления влаги и пыли аккуратно вставьте вилку электропитания в розетку . • При очистке не распыляйте воду на наружную или внутреннюю поверхность устройства . • Никогда не тяните за кабель питания устройства , чтобы извлечь вилку питания из розетки электросети ...
Страница 9 - УСТАНОВКА; Компоненты; ПРИМЕЧАНИЕ; Вид
9 УСТАНОВКА РУССКИЙ УСТАНОВКА Компоненты и технические характеристики ПРИМЕЧАНИЕ • Внешний вид и технические характеристики могут изменяться без предупреждения с целью улучшения качества машины . Вид спереди a Панель управления b Лоток для моющих средств c Барабан d Дверца e Крышка f Пробка сливного...
Страница 10 - Аксессуары
10 УСТАНОВКА Аксессуары *1 Аксессуары могут отличаться в зависимости от приобретенной модели . Шланг подачи холодной воды Противоскользящие листы *1 Ключ Полукруглый кронштейн для крепления сливного шланга Заглушки отверстий для транспортировочных болтов Крепление сливного шланга *1
Страница 11 - Технические
11 УСТАНОВКА РУССКИЙ Технические характеристики Размеры ( мм ) Модель F2J3NS** / F2J3WS** / F2J3HS** Источник питания 220-240 В ~, 50 Гц Масса машины 60 кг W 600 D 440 D'' 890 H 850 D' 490
Страница 12 - Требования
12 УСТАНОВКА Требования к месту установки Чтобы установить устройство в надлежащем месте , перед его установкой ознакомьтесь с приведенными ниже указаниями . Место установки • Для минимизации вибраций во время цикла отжима устройство необходимо устанавливать на ровный прочный пол . Предпочтительным ...
Страница 13 - ВНИМАНИЕ; ОСТОРОЖНО
13 УСТАНОВКА РУССКИЙ нарушения равновесия , неисправностей и неправильной работы устройства . • Во избежание вибрации мы рекомендуем надеть на каждую ножку устройства резиновый колпачок a толщиной не менее 15 мм и прикрепить ножки винтами как минимум к двум балкам пола . • Если возможно , установите...
Страница 14 - Распаковка
14 УСТАНОВКА Распаковка устройства Снятие устройства с пенопластовой подложки После удаления коробки и упаковочного материала необходимо поднять устройство с пенопластовой подложки . • Убедитесь , что опора барабана a * отсоединилась вместе с подложкой , а не застряла в нижней части устройства . • Е...
Страница 15 - Выравнивание; Проверка; Регулировка
15 УСТАНОВКА РУССКИЙ Выравнивание устройства Проверка выравнивания При надавливании на края верхней панели по диагонали машина не должна подниматься и опускаться ( проверить в обоих направлениях ). • Если при надавливании на края верхней панели по диагонали машина качается , следует снова отрегулиро...
Страница 16 - Использование
16 УСТАНОВКА 3 Зафиксируйте регулируемые ножки с помощью стопорных гаек b , закрутив их против часовой стрелки до основания устройства . 4 Убедитесь , что все стопорные гайки в нижней части машины надежно затянуты . ПРИМЕЧАНИЕ • Правильное размещение и выравнивание устройства гарантирует длительную ...
Страница 17 - Подключение
17 УСТАНОВКА РУССКИЙ Подключение шланга подачи воды Примечание по подключению • Давление подачи воды должно находиться в пределах от 50 кПа до 800 кПа (0,5–8,0 кгс / см ²). Если давление подачи воды превышает 800 кПа , необходимо установить устройство для снижения давления подачи . • Периодически пр...
Страница 19 - ЭКСПЛУАТАЦИЯ; Обзор
19 ЭКСПЛУАТАЦИЯ РУССКИЙ ЭКСПЛУАТАЦИЯ Обзор правил эксплуатации Использование машины Перед выполнением первой стирки выберите программу Хлопок и добавьте половину требуемого объема средства для стирки . Запустите машину без белья . Это удалит из барабана возможный осадок и воду , которые могли остать...
Страница 21 - Панель; Элементы
21 ЭКСПЛУАТАЦИЯ РУССКИЙ Панель управления Панель управления может отличаться в зависимости от модели стиральной машины . Элементы панели управления Описание a Кнопка включения / отключения питания Питание • Нажмите на эту кнопку , чтобы включить или выключить стиральную машину . b Переключатель прог...
Страница 22 - Отображение
22 ЭКСПЛУАТАЦИЯ Отображение времени и состояния e Дополнительные режимы и функции • Чтобы воспользоваться дополнительными функциями , нажмите и удерживайте соответствующую кнопку в течение 3 секунд . На дисплее появится соответствующий символ . • Дополнительные опции будут подсвечиваться на дисплее ...
Страница 23 - Подготовка
23 ЭКСПЛУАТАЦИЯ РУССКИЙ Подготовка загружаемого белья Для получения оптимального результата стирки рассортируйте белье , после чего подготовьте его в соответствии с символами на бирках с инструкциями по уходу . Сортировка одежды • Загрязнение ( сильное , обычное , легкое ): рассортируйте вещи по сте...
Страница 24 - Добавление
24 ЭКСПЛУАТАЦИЯ или отдельной стирки , так как это может привести к дисбалансу в барабане и , соответственно , к неправильному циклу отжима . • Застегните молнии , крючки , завяжите шнурки во избежание зацепок . • Предварительно нанесите на пятна небольшое количество разведенного в воде моющего сред...
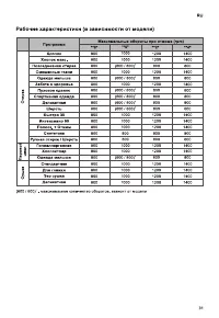
Страница 27 - Таблица; Программа
27 ЭКСПЛУАТАЦИЯ РУССКИЙ Таблица программ Программа стирки Хлопок 40 °C ( от 0 до 95 °C) Максимальная загрузка : номинальная Описание Предназначена для стирки белья с обычной степенью загрязнения при помощи сочетания различных движений барабана . Хлопок Макс . 40 °C ( от 0 до 60 °C) Максимальная загр...
Страница 28 - Дополнительные
28 ЭКСПЛУАТАЦИЯ ПРИМЕЧАНИЕ • Выберите температуру воды , соответствующую выбранной программе стирки . Во избежание повреждения одежды следуйте инструкциям производителя , приведенным на бирках одежды или в специальных руководствах . • Выбирайте для программ необходимую температуру стирки и скорость ...
Страница 30 - Выбор
30 ЭКСПЛУАТАЦИЯ Дополнительные режимы и функции Для задания собственных настроек программ можно использовать дополнительные режимы и функции . Выбор программы стирки Для каждой программы предусмотрены настройки по умолчанию , которые выбираются автоматически . Вы можете изменить эти настройки с помо...
Страница 31 - Настройки
31 ЭКСПЛУАТАЦИЯ РУССКИЙ Использование основных функций Вы можете создать пользовательскую программу , выбрав необходимые из следующих основных функций . Предв . Использовать данную функцию рекомендуется при стирке белья с высокой степенью загрязнения . 1 Нажмите кнопку Питание . 2 Выберите программу...
Страница 33 - ИНТЕЛЛЕКТУАЛЬНЫЕ; Приложение; LG; Smart Diagnosis
33 ИНТЕЛЛЕКТУАЛЬНЫЕ ФУНКЦИИ РУССКИЙ ИНТЕЛЛЕКТУАЛЬНЫЕ ФУНКЦИИ Приложение LG ThinQ Приложение LG ThinQ позволяет управлять данным устройством с помощью смартфона . Функция приложения LG ThinQ Подключайтесь к устройству со смартфона при помощи удобных интеллектуальных функций . Smart Diagnosis Эта функ...
Страница 35 - ТЕХНИЧЕСКОЕ; Наружная
35 ТЕХНИЧЕСКОЕ ОБСЛУЖИВАНИЕ РУССКИЙ ТЕХНИЧЕСКОЕ ОБСЛУЖИВАНИЕ ОСТОРОЖНО ! • Во избежание удара током выключите стиральную машину из розетки перед очисткой . Несоблюдение этого правила может привести к серьезной травме , пожару , удару током или летальному исходу . • Ни в коем случае не используйте си...
Страница 36 - Очистка
36 ТЕХНИЧЕСКОЕ ОБСЛУЖИВАНИЕ Данную функцию следует запускать один раз в месяц ( или чаще при необходимости ), чтобы удалить отложения моющего средства , кондиционера для белья и другие загрязнения . • Если вы ощущаете неприятный запах или запах плесени , исходящие из устройства , запускайте эту функ...
Страница 39 - ПОИСК; Перед; Сообщения
39 ПОИСК И УСТРАНЕНИЕ НЕИСПРАВНОСТЕЙ РУССКИЙ ПОИСК И УСТРАНЕНИЕ НЕИСПРАВНОСТЕЙ При эксплуатации прибора могут возникать ошибки или неисправности . В приведенных ниже таблицах содержатся возможные причины и рекомендации по устранению сообщений об ошибках или неисправностей . Чтобы сэкономить время и ...
Страница 42 - Эксплуатация
42 ПОИСК И УСТРАНЕНИЕ НЕИСПРАВНОСТЕЙ Эксплуатация Признаки Возможная причина и решение Утечка воды . Сливные трубы засорены . • Очистите сливную трубу . При необходимости вызовите сантехника . Утечка вызвана неправильной установкой или засорением сливного шланга . • Очистите и выпрямите шланг . Регу...
Страница 44 - Качество
44 ПОИСК И УСТРАНЕНИЕ НЕИСПРАВНОСТЕЙ Качество стирки Моющее средство подается не полностью или не подается совсем . Используется слишком много моющего средства . • Следуйте рекомендациям производителя моющего средства . Фильтр сливного насоса может засориться . • Очистите сливной фильтр . Цикл стирк...
Страница 45 - Запах; Дата
45 ПОИСК И УСТРАНЕНИЕ НЕИСПРАВНОСТЕЙ РУССКИЙ Запах Дополнительная информация Дата изготовления Дата изготовления указана на этикетке , расположенной на боковой части корпуса устройства . Формат даты : мм / гггг . Появление пятен Белье не рассортировано должным образом . • Чтобы предотвратить окрашив...
Страница 46 - Информация
46 ПОИСК И УСТРАНЕНИЕ НЕИСПРАВНОСТЕЙ Информация о сертификации Информацию по сертификации наших приборов , данные о номере сертификата и сроке его действия , вы можете получить в Службе поддержки клиентов LG по бесплатным телефонам .
Страница 47 - ПРИЛОЖЕНИЕ; Листок
47 ПРИЛОЖЕНИЕ РУССКИЙ ПРИЛОЖЕНИЕ Листок технических данных изделия Информация об изделии по вопросам энергетической маркировки и сертификации • Выберите программу « Стирка : Хлопок Макс . R , Интенсивная , 60 ℃ , 1200 об / мин » для проверки соответствия стандарту IEC60456 . Пояснения по размещению ...