LG F1296NDS1 - инструкции и руководства
Стиральная машина LG F1296NDS1 - инструкции пользователя по применению, эксплуатации и установке на русском языке читайте онлайн в формате pdf
Инструкции:
Инструкция по эксплуатации LG F1296NDS1
Инструкция LG F1296NDS1
Краткое содержание
ТЕХНИЧЕСКИЙ ЛИСТ 49 СОДЕРЖАНИЕ ТЕХНИКА БЕЗОПАСНОСТИ ...................................................3 Утилизация старого оборудования .......................................................... . 9 РУКОВОДСТВО ....................................................................... 10 Описание .......
ТЕХНИКА БЕЗОПАСНОСТИ RU ПЕРЕД НАЧАЛОМ ИСПОЛЬЗОВАНИЯ ПРОЧТИТЕ ВСЕ СООТВЕТСТВУЮЩИЕ ИНСТРУКЦИИ Следующие рекомендации по технике безопасности призваны предотвратить непредвиденные риски и ущерб, вызванные небезопасной либо неверной эксплуатацией изделия. Рекомендации делятся на две категории: ОСТОРОЖНО...
• • Не подключайте стиральную машину через многоместную розетку, удлинительный кабель или адаптер. • Данная машина не должна устанавливаться за запираемой дверью, сдвижной дверью или дверью с петлями на стороне, противоположной петлям дверцы этой машины. Это гарантирует полное открытие дверцы машины...
• Не используйте вблизи машины горючий газ или легковоспламеняющиеся вещества (бензол, бензин, растворитель, нефть, спирт и прочие). • Если в холодное время года сливной либо впускной шланг замерзнут, то перед использованием необходимо дать им оттаять. • Храните моющие средства, кондиционеры для бел...
Инструкция по технике безопасности для стирально-сушильных машин • • Не следует помещать в сушильный барабан вещи, которые были очищены бензином, растворителями для химической чистки или другими легковоспламеняющимися веществами,а также вещи, на которые попали эти вещества. • • Не следует помещать в...
Приложение LG ThinQ Установка приложения LG ThinQ Найдите приложение LG ThinQ в магазине приложений Google Play Store или Apple App Store на смартфоне. Для загрузки и установки приложения следуйте инструкциям. Функции приложения LG ThinQ Smart Diagnosis Эта функция предоставляет полезную информацию ...
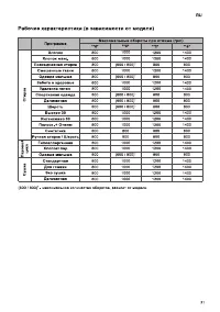
ТЕХНИЧЕСКИЙ ЛИСТ Наименование или торговая марка изготовителя.Идентификатор модели изготовителя.Класс энергоэффективности. По шкале от А (наибольшая эффективность) до G (наименьшая эффективность). Энергопотребление только при стирке и отжиме за цикл стирки.Класс эффективности стирки. По шкале от А (...
LG Стиральные машины Инструкции
-
LG E1069QD
Инструкция по эксплуатации
-
LG E1069SD
Инструкция по эксплуатации
-
LG E10B8MD (ND) (QD)
Инструкция по эксплуатации
-
LG E10B8SD0
Инструкция по эксплуатации
-
LG E1269LD
Инструкция по эксплуатации
-
LG E1269QD
Инструкция по эксплуатации
-
LG E1269SD
Инструкция по эксплуатации
-
LG E12B8MD (ND) (QD)
Инструкция по эксплуатации
-
LG E8069QD
Инструкция по эксплуатации
-
LG E80B8MD (ND)
Инструкция по эксплуатации
-
LG F0L9DGP2S
Инструкция по эксплуатации
-
LG F1022NDR
Инструкция по эксплуатации
-
LG F1048ND
Инструкция по эксплуатации
-
LG F1048ND1
Инструкция по эксплуатации
-
LG F-1056 ND1
Инструкция по эксплуатации
-
LG F1056ND1
Инструкция по эксплуатации
-
LG F1056QD
Инструкция по эксплуатации
-
LG F1068LD1
Инструкция по эксплуатации
-
LG F1068SD1
Инструкция по эксплуатации
-
LG F1080ND
Инструкция по эксплуатации