Electrolux EMS 26004 - инструкции и руководства
Микроволновая печь Electrolux EMS 26004 - инструкции пользователя по применению, эксплуатации и установке на русском языке читайте онлайн в формате pdf
Инструкции:
Инструкция по эксплуатации Electrolux EMS 26004
Краткое содержание
Предостережение о пожаре Не следует оставлять без присмотра работающую СВЧ-печь. Слишком высокий уровень мощности или слишкомбольшое время приготовления могут привести кперегреву пищи и пожару.Электрическая розетка должна находиться неподалеку,чтобы устройство можно было легко выключить из сетив ава...
PYCCKИЙ 5 Нагревание напитков в СВЧ- печи может привести к тому, что они забурлят и вскипят, спустя некоторое время. Поэтому следует осторожно обращаться с контейнером. Чтобы предотвратить внезапное выливание кипящейжидкости, которое может привести к ожогам, примитеследующие меры:1. Размешивайте жид...
www.electrolux.com 6 способностями; лицам, не имеющим опыта работы с устройством и не знающим как им пользоваться, за исключением случаев, когда устройство используется перечисленными выше лицами под присмотром или руководством лиц, обеспечивающих безопасное использование и понимание связанных с ним...
PYCCKИЙ 7 СхЕМА УС ТРОЙС ТВА СВЧ-ПЕЧь И АКСЕССУАРы Убедитесь в наличии следующих аксессуаров: Вращающаяся подставка Опора вращающейся подставки • Поместите опору вращающейся подставки на дноуглубления. • Затем поместите вращающуюся подставку на опору. • Чтобы не повредить вращающуюся подставку, неза...
www.electrolux.com 8 ПЕРЕД ПЕРВыМ ИСПОЛьЗОВАНИЕМ ПАНЕ Ль УПРАВЛЕНИя 1 2 3 4 5 6 7 Указатели на цИфРОВОМ ДИСПЛЕЕ СВЧ-излучение Часы Стадии приготовления Плюс/минус Индикаторы АВТОМАТИЧЕСКОгО ПРИгОТОВЛЕНИя Кнопка АВТОМАТИЧЕСКОгО ПРИгОТОВЛЕНИя Кнопка АВТОМАТИЧЕСКОЙ РАЗМОРОЗКИ Кнопка УРОВНя МОщНОСТИ Руч...
www.electrolux.com 10 ИСПОЛьЗОВАНИЕ СВЧ-ПЕЧИ ПРИгОТОВЛЕНИЕ ПИщИ В МИКРОВОЛНОВОЙ ПЕЧИ Чтобы приготовить или разморозить пищу вСВЧ-печи, энергия СВЧ-излучения должна бытьспособна проходить сквозь контейнер инагревать пищу. Поэтому важно выбиратьподходящую посуду.Круглые или овальные блюдапредпочтитель...
PYCCKИЙ 11 ПОСУДА ДЛя СВЧ-ПЕЧЕЙ ПРИгОТОВЛЕНИЕ ПИщИ ВМИКРОВОЛНОВОЙ ПЕЧИ Посуда Для СВЧ-печей Комментарии Алюминиеваяфольга/контейнеры изфольги 4 / 8 Для защиты пищи от перегрева могут применяться маленькиекусочки алюминиевой фольги. Держите фольгу на расстоянии неменее 2 см от стенок печи, чтобы не в...
www.electrolux.com 12 УРОВНИ МОщНОС ТИ СВЧ- ИЗЛУЧЕНИя Ваша печь имеет 6 уровней мощности. Настройкамощности Рекомендуемое использование 900 Вт/ВыСОКАя Используется для быстрого приготовления или разогрева супа, запеканки,консервов, горячих напитков, овощей, рыбы и т. д. 630 Вт Используется для более...
PYCCKИЙ 13 КУхОННыЙ ТАЙМЕР Пример: Чтобы выставить на кухонном таймере 7 минут.1. 7 раз нажмите кнопку УРОВНя МОщНОСТИ. 2. Введите время, повернув ручку ТАЙМЕР/ВЕС по часовой стрелке илипротив часовой стрелки до тех пор, покана дисплее не появятся цифры 7.00. 3. Нажмите кнопку START/+30. 4. Посмотри...
www.electrolux.com 14 ПРИгОТОВЛЕНИЕ ПИщИ ЗА НЕСКОЛьКО С ТА ДИЙ Микроволновую печь можнозапрограммировать максимум за 3 стадии. Пример: Чтобы готовить: 5 минут с мощностью 900 Вт (стадия 1) и16 минут с мощностью 270 Вт (стадия 2),выполните следующие действия. Стадия 1 1. Нажмите один раз кнопку УРОВН...
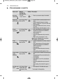
www.electrolux.com 16 ТАБЛИцы ПРОгРАММ ТАБЛИцы АВТОМАТИЧЕСКОгО ПРИгОТОВЛЕНИя И АВТОМАТИЧЕСКОЙРАЗМОРОЗКИ Автоматическогоприготовления Вес (шагувеличения)/приспособления Кнопка Процедура Напиток(чай/кофе) 1–6 чашки1 чашка=200 мл • Поставьте чашку у края вращающейся подставки. Вареныйкартофель икартофе...
www.electrolux.com 18 РЕцЕПТы ДЛя АВТОМАТИЧЕСКОгО ПРИгОТОВЛЕНИя 1. Смешайте ингредиенты для соуса.2. Поместите рыбное филе в круглую форму для запекания, направив кусочки тонкимисторонами к центру, и посыпьте солью. 3. Залейте рыбное филе соусом.4. Накройте блюдо липкой пленкой для микроволновых печ...
PYCCKИЙ 19 * охлажденный Разморозка Значения времени, приведенные в таблице, даются для примера. Они могут варьироваться взависимости от температуры замерзания, качества и веса продуктов. Пища Количество-г- Уровеньмощности Время-мин- метод Времянастаивания-мин- гуляш 500 270 Вт 8-9 помешивайте во вр...
PYCCKИЙ 21 УхОД И ОЧИС ТКА ОСТОРОЖНО: НЕИСПОльЗУЙТЕ ПРОмЫ-шлЕННЫЕОЧИСТИТЕлИ ДляПЕЧЕЙ,ПАРООЧИСТИТЕлИ,АБРАЗИВНЫЕ СИльНО-ДЕЙСТВУющИЕЧИСТящИЕ СРЕДСТВА,люБЫЕ ХИмИКАТЫ,СОДЕР-ЖАщИЕГИДРООКИСь НАТРИяИлИ ГУБКИ ДляПОСУДЫ ПРИ ОЧИСТКЕлюБОЙ ДЕТАлИмИКРОВОлНОВОЙПЕЧИ.РЕГУляРНО ЧИСТИТЕПЕЧь, УДАляя ОСТАТКИПИщИ. Неспос...
www.electrolux.com 22 влажной тканью илигубкой после каждогоиспользования, покапечь еще горячая. Еслипятна не удаетсяочистить, используйтежидкое мыло инесколько раз протритеих мягкой тканью, чтобыудалить все остатки. Неснимайте крышкуволновода. 2. Убедитесь в том, что мыло или вода непроникают в мал...
PYCCKИЙ 23 ЧТО ДЕ ЛАТь, ЕС ЛИ... ТЕхНИЧЕСКИЕ хАРАК ТЕРИС ТИКИ Проблема Проверки... Микроволновоеустройство неправильноработает? • Предохранители в блоке предохранителей работают. • Электричество не отключалось. • Если предохранители продолжают выходить из строя, обратитесь кквалифицированному электр...
www.electrolux.com 24 УС ТАНОВКА микроволновую печь можно установить в положение A или Б: Положение Размер ниши ш Г В A 560 x 550 x 450 Б 560 x 500 x 450 Измерения в (мм) УС ТАНОВКА ОБОРУДОВАНИя 1. Снимите всю упаковку и внимательно осмотрите ее на предмет повреждений. 2. Установите фиксирующие крюч...
PYCCKИЙ 25 ПОДК ЛюЧЕНИЕ УС ТРОЙС ТВА КИС ТОЧНИКУ ПИТАНИя • Электрическая розетка должнанаходиться неподалеку, чтобыустройство можно было легковыключить из сети в аварийнойситуации. Кроме того, можно изолировать печь отисточника питания, встроиввыключатель в фиксированнуюпроводку согласно правилам мо...
www.electrolux.com 26 УПАКОВОЧНыЕ МАТЕРИА Лы Микроволновые печи ELECTROLUX необходимоэффективно упаковывать для защиты во времятранспортировки. Используется толькоминимально необходимая упаковка.Упаковочные материалы (например, фольга илипенополистирол) могут представлять угрозудля детей. Угроза уду...
Electrolux Микроволновые печи Инструкции
-
Electrolux EMM 20000 OK
Инструкция по эксплуатации
-
Electrolux EMM 21150 S
Инструкция по эксплуатации
-
Electrolux EMM20000OC
Инструкция по эксплуатации
-
Electrolux EMM21000S
Инструкция по эксплуатации
-
Electrolux EMM21000W
Инструкция по эксплуатации
-
Electrolux EMS 17216 X
Инструкция по эксплуатации
-
Electrolux EMS 2105 S
Инструкция по эксплуатации
-
Electrolux EMS 2120 S
Инструкция по эксплуатации
-
Electrolux EMS 26204 OK
Инструкция по эксплуатации
-
Electrolux EMS 2840 S
Инструкция по эксплуатации
-
Electrolux EMS17006OX
Инструкция по эксплуатации
-
Electrolux EMS20300OX
Инструкция по эксплуатации
-
Electrolux EMS21400S
Инструкция по эксплуатации
-
Electrolux EMS26004OK
Инструкция по эксплуатации
-
Electrolux EMS26004OW
Инструкция по эксплуатации
-
Electrolux EMS26204
Инструкция по эксплуатации
-
Electrolux EMS26204OX
Инструкция по эксплуатации
-
Electrolux EMS30400OX
Инструкция по эксплуатации
-
Electrolux EMT 25203 OC
Инструкция по эксплуатации
-
Electrolux EMT 25203 OK
Инструкция по эксплуатации