Страница 3 - ИНС ТРУКцИИ ПО БЕЗОПАСНОС ТИ
Предостережение о пожаре Не следует оставлять без присмотра работающую СВЧ-печь. Слишком высокий уровень мощности или слишкомбольшое время приготовления могут привести кперегреву пищи и пожару.Электрическая розетка должна находиться неподалеку,чтобы устройство можно было легко выключить из сетив ава...
Страница 5 - Предупреждение ожогов
PYCCKИЙ 5 Нагревание напитков в СВЧ- печи может привести к тому, что они забурлят и вскипят, спустя некоторое время. Поэтому следует осторожно обращаться с контейнером. Чтобы предотвратить внезапное выливание кипящейжидкости, которое может привести к ожогам, примитеследующие меры:1. Размешивайте жид...
Страница 6 - Другие предупреждения
www.electrolux.com 6 способностями; лицам, не имеющим опыта работы с устройством и не знающим как им пользоваться, за исключением случаев, когда устройство используется перечисленными выше лицами под присмотром или руководством лиц, обеспечивающих безопасное использование и понимание связанных с ним...
Страница 7 - СхЕМА УС ТРОЙС ТВА; СВЧ-ПЕЧь И АКСЕССУАРы
PYCCKИЙ 7 СхЕМА УС ТРОЙС ТВА СВЧ-ПЕЧь И АКСЕССУАРы Убедитесь в наличии следующих аксессуаров: Вращающаяся подставка Опора вращающейся подставки • Поместите опору вращающейся подставки на дноуглубления. • Затем поместите вращающуюся подставку на опору. • Чтобы не повредить вращающуюся подставку, неза...
Страница 8 - ЭКОНОМИЧНыЙ РЕЖИМ
www.electrolux.com 8 ПЕРЕД ПЕРВыМ ИСПОЛьЗОВАНИЕМ ПАНЕ Ль УПРАВЛЕНИя 1 2 3 4 5 6 7 Указатели на цИфРОВОМ ДИСПЛЕЕ СВЧ-излучение Часы Стадии приготовления Плюс/минус Индикаторы АВТОМАТИЧЕСКОгО ПРИгОТОВЛЕНИя Кнопка АВТОМАТИЧЕСКОгО ПРИгОТОВЛЕНИя Кнопка АВТОМАТИЧЕСКОЙ РАЗМОРОЗКИ Кнопка УРОВНя МОщНОСТИ Руч...
Страница 10 - ИСПОЛьЗОВАНИЕ СВЧ-ПЕЧИ; ПРИгОТОВЛЕНИЕ ПИщИ В МИКРОВОЛНОВОЙ ПЕЧИ; Характеристики пищи
www.electrolux.com 10 ИСПОЛьЗОВАНИЕ СВЧ-ПЕЧИ ПРИгОТОВЛЕНИЕ ПИщИ В МИКРОВОЛНОВОЙ ПЕЧИ Чтобы приготовить или разморозить пищу вСВЧ-печи, энергия СВЧ-излучения должна бытьспособна проходить сквозь контейнер инагревать пищу. Поэтому важно выбиратьподходящую посуду.Круглые или овальные блюдапредпочтитель...
Страница 11 - Посуда
PYCCKИЙ 11 ПОСУДА ДЛя СВЧ-ПЕЧЕЙ ПРИгОТОВЛЕНИЕ ПИщИ ВМИКРОВОЛНОВОЙ ПЕЧИ Посуда Для СВЧ-печей Комментарии Алюминиеваяфольга/контейнеры изфольги 4 / 8 Для защиты пищи от перегрева могут применяться маленькиекусочки алюминиевой фольги. Держите фольгу на расстоянии неменее 2 см от стенок печи, чтобы не в...
Страница 12 - Рекомендуемое использование; РУЧНАя РАЗМОРОЗКА
www.electrolux.com 12 УРОВНИ МОщНОС ТИ СВЧ- ИЗЛУЧЕНИя Ваша печь имеет 6 уровней мощности. Настройкамощности Рекомендуемое использование 900 Вт/ВыСОКАя Используется для быстрого приготовления или разогрева супа, запеканки,консервов, горячих напитков, овощей, рыбы и т. д. 630 Вт Используется для более...
Страница 13 - КУхОННыЙ ТАЙМЕР; ПРИБАВьТЕ 30 СЕКУНД; Прямой запуск; ПЛюС И МИНУС
PYCCKИЙ 13 КУхОННыЙ ТАЙМЕР Пример: Чтобы выставить на кухонном таймере 7 минут.1. 7 раз нажмите кнопку УРОВНя МОщНОСТИ. 2. Введите время, повернув ручку ТАЙМЕР/ВЕС по часовой стрелке илипротив часовой стрелки до тех пор, покана дисплее не появятся цифры 7.00. 3. Нажмите кнопку START/+30. 4. Посмотри...
Страница 14 - Автоматического Приготовления; Пища
www.electrolux.com 14 ПРИгОТОВЛЕНИЕ ПИщИ ЗА НЕСКОЛьКО С ТА ДИЙ Микроволновую печь можнозапрограммировать максимум за 3 стадии. Пример: Чтобы готовить: 5 минут с мощностью 900 Вт (стадия 1) и16 минут с мощностью 270 Вт (стадия 2),выполните следующие действия. Стадия 1 1. Нажмите один раз кнопку УРОВН...
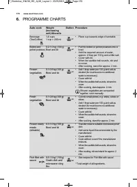
Страница 16 - ТАБЛИцы ПРОгРАММ
www.electrolux.com 16 ТАБЛИцы ПРОгРАММ ТАБЛИцы АВТОМАТИЧЕСКОгО ПРИгОТОВЛЕНИя И АВТОМАТИЧЕСКОЙРАЗМОРОЗКИ Автоматическогоприготовления Вес (шагувеличения)/приспособления Кнопка Процедура Напиток(чай/кофе) 1–6 чашки1 чашка=200 мл • Поставьте чашку у края вращающейся подставки. Вареныйкартофель икартофе...
Страница 18 - РЕцЕПТы ДЛя АВТОМАТИЧЕСКОгО ПРИгОТОВЛЕНИя; Рыбное филе с соусом карри; ПОНИЖЕННыЙ УРОВЕНь МОщНОС ТИ; Рыбное филе с пикантным соусом
www.electrolux.com 18 РЕцЕПТы ДЛя АВТОМАТИЧЕСКОгО ПРИгОТОВЛЕНИя 1. Смешайте ингредиенты для соуса.2. Поместите рыбное филе в круглую форму для запекания, направив кусочки тонкимисторонами к центру, и посыпьте солью. 3. Залейте рыбное филе соусом.4. Накройте блюдо липкой пленкой для микроволновых печ...
Страница 19 - Разморозка; КУЛИНАРНыЕ ТАБЛИцы; Разогревание пищи и напитков; метод
PYCCKИЙ 19 * охлажденный Разморозка Значения времени, приведенные в таблице, даются для примера. Они могут варьироваться взависимости от температуры замерзания, качества и веса продуктов. Пища Количество-г- Уровеньмощности Время-мин- метод Времянастаивания-мин- гуляш 500 270 Вт 8-9 помешивайте во вр...
Страница 21 - УхОД И ОЧИС ТКА; Панель управления
PYCCKИЙ 21 УхОД И ОЧИС ТКА ОСТОРОЖНО: НЕИСПОльЗУЙТЕ ПРОмЫ-шлЕННЫЕОЧИСТИТЕлИ ДляПЕЧЕЙ,ПАРООЧИСТИТЕлИ,АБРАЗИВНЫЕ СИльНО-ДЕЙСТВУющИЕЧИСТящИЕ СРЕДСТВА,люБЫЕ ХИмИКАТЫ,СОДЕР-ЖАщИЕГИДРООКИСь НАТРИяИлИ ГУБКИ ДляПОСУДЫ ПРИ ОЧИСТКЕлюБОЙ ДЕТАлИмИКРОВОлНОВОЙПЕЧИ.РЕГУляРНО ЧИСТИТЕПЕЧь, УДАляя ОСТАТКИПИщИ. Неспос...
Страница 22 - Дверца; Не
www.electrolux.com 22 влажной тканью илигубкой после каждогоиспользования, покапечь еще горячая. Еслипятна не удаетсяочистить, используйтежидкое мыло инесколько раз протритеих мягкой тканью, чтобыудалить все остатки. Неснимайте крышкуволновода. 2. Убедитесь в том, что мыло или вода непроникают в мал...
Страница 23 - ТЕхНИЧЕСКИЕ хАРАК ТЕРИС ТИКИ; Проблема
PYCCKИЙ 23 ЧТО ДЕ ЛАТь, ЕС ЛИ... ТЕхНИЧЕСКИЕ хАРАК ТЕРИС ТИКИ Проблема Проверки... Микроволновоеустройство неправильноработает? • Предохранители в блоке предохранителей работают. • Электричество не отключалось. • Если предохранители продолжают выходить из строя, обратитесь кквалифицированному электр...
Страница 24 - УС ТАНОВКА; микроволновую печь можно установить в положение; Положение Размер ниши; УС ТАНОВКА ОБОРУДОВАНИя
www.electrolux.com 24 УС ТАНОВКА микроволновую печь можно установить в положение A или Б: Положение Размер ниши ш Г В A 560 x 550 x 450 Б 560 x 500 x 450 Измерения в (мм) УС ТАНОВКА ОБОРУДОВАНИя 1. Снимите всю упаковку и внимательно осмотрите ее на предмет повреждений. 2. Установите фиксирующие крюч...
Страница 25 - Розетку не нужно размещать за шкафом.; ЭЛЕК ТРИЧЕСКИЕ СОЕДИНЕНИя
PYCCKИЙ 25 ПОДК ЛюЧЕНИЕ УС ТРОЙС ТВА КИС ТОЧНИКУ ПИТАНИя • Электрическая розетка должнанаходиться неподалеку, чтобыустройство можно было легковыключить из сети в аварийнойситуации. Кроме того, можно изолировать печь отисточника питания, встроиввыключатель в фиксированнуюпроводку согласно правилам мо...
Страница 26 - УПАКОВОЧНыЕ МАТЕРИА Лы; У ТИЛИЗАцИя С ТАРОЙ ТЕхНИКИ; ЭКОЛОгИЧЕСКАя ИНфОРМАцИя
www.electrolux.com 26 УПАКОВОЧНыЕ МАТЕРИА Лы Микроволновые печи ELECTROLUX необходимоэффективно упаковывать для защиты во времятранспортировки. Используется толькоминимально необходимая упаковка.Упаковочные материалы (например, фольга илипенополистирол) могут представлять угрозудля детей. Угроза уду...