Страница 2 - СОДЕРЖАНИЕ; МЫ ДУМАЕМ О ВАС; ПОДДЕРЖКА ПОТРЕБИТЕЛЕЙ И СЕРВИСНОЕ
СОДЕРЖАНИЕ 1. СВЕДЕНИЯ ПО ТЕХНИКЕ БЕЗОПАСНОСТИ.................................................3 2. УКАЗАНИЯ ПО БЕЗОПАСНОСТИ................................................................... 6 3. УСТАНОВКА.................................................................................................
Страница 3 - СВЕДЕНИЯ ПО ТЕХНИКЕ БЕЗОПАСНОСТИ; возможностями
Право на изменения сохраняется. 1. СВЕДЕНИЯ ПО ТЕХНИКЕ БЕЗОПАСНОСТИ Перед установкой и эксплуатацией прибора внимательно ознакомьтесь с настоящей Инструкцией. Производитель не несет ответственности за какие-либо травмы или ущерб, возникший вследствие неправильной установки или эксплуатации. Всегда х...
Страница 4 - Общие правила техники безопасности
• Очистка и доступное пользователю техническое обслуживание прибора не должно производиться детьми без присмотра. 1.2 Общие правила техники безопасности • Установка прибора и замена кабеля должна осуществляться только квалифицированным персоналом! • При подключении данного прибора к электросети необ...
Страница 6 - УКАЗАНИЯ ПО БЕЗОПАСНОСТИ; электросети
авторизованным сервисным центром или специалистом с аналогичной квалификацией. • Касаясь ящика для хранения, будьте осторожны. Он может сильно нагреваться. • В соответствии с правилами монтажа должен быть обеспечен метод разъединения цепи. • ВНИМАНИЕ: Используйте только защиту варочной поверхности, ...
Страница 9 - прибора; Технические данные
соответствующее покрытие) какими-либо моющими средствами. 2.5 Внутреннее освещение • В приборе используется модуль подсветки или галогеновая лампа, предназначенная специально для бытовых приборов. Не используйте их для освещения дома. ВНИМАНИЕ! Существует опасность поражения электрическим током. • П...
Страница 10 - Выравнивание прибора
Класс энергопотребле‐ ния A Прибор класса 1 Размеры мм Высота 858 Ширина 500 Глубина 600 3.3 Выравнивание прибора Для выравнивания по высоте верхней части прибора с другими поверхностями используйте маленькие ножки в нижней части прибора. 3.4 Защита от опрокидывания Перед установкой защиты от опроки...
Страница 11 - подключение
2. Отверстие для крепления находится слева на задней стороне прибора. Поднимите переднюю часть прибора и поместите его между кухонными шкафами. Если расстояние между кухонными шкафами больше, чем ширина прибора, следует установить его так, чтобы зазоры с обеих сторон были одинаковыми. При изменении ...
Страница 12 - Функциональные элементы варочной поверхности
4. ОПИСАНИЕ ИЗДЕЛИЯ 4.1 Общий обзор 12 1 1 2 7 3 5 4 6 8 9 10 11 2 3 4 1 1 Ручки управления варочной панелью 2 Ручка регулировки температуры 3 Индикатор/символ температуры 4 Электронный программатор 5 Световой индикатор/символ/ индикатор варочной панели 6 Ручка выбора режимов духового шкафа 7 Кнопка...
Страница 13 - ПЕРЕД ПЕРВЫМ ИСПОЛЬЗОВАНИЕМ; Установка текущего; времени; Изменение времени; разогрев
5. ПЕРЕД ПЕРВЫМ ИСПОЛЬЗОВАНИЕМ ВНИМАНИЕ! См. главы, содержащие Сведения по технике безопасности. 5.1 Первая чистка Извлеките все аксессуары из духового шкафа. См. Главу «Уход и очистка». Перед первым использованием духовой шкаф и аксессуары следует очистить. Установите аксессуары обратно на их места...
Страница 14 - ИСПОЛЬЗОВАНИЕ; Настройка мощности; нагрева; Включение и выключение; тепла; ВАРОЧНАЯ ПАНЕЛЬ – УКАЗАНИЯ И; РЕКОМЕНДАЦИИ
6. ВАРОЧНАЯ ПАНЕЛЬ - ЕЖЕДНЕВНОЕ ИСПОЛЬЗОВАНИЕ ВНИМАНИЕ! См. главы, содержащие Сведения по технике безопасности. 6.1 Настройка мощности нагрева Символ Функция Положение «Выкл» Двойная конфорка 1 - 9 Установки мощности на‐ грева Используйте остаточное тепло для снижения энергопотребления. Выключайте к...
Страница 15 - Примеры использования; варочной панели
7.2 Примеры использования варочной панели Приведенные в таблице данные являются ориентировочными. Мощность нагрева Назначение: Время (мин) Советы 1 Сохранение приготовлен‐ ных блюд теплыми. по го‐ товно‐ сти Готовьте под крышкой. 1 - 2 Голландский соус, раста‐ пливание: сливочного ма‐ сла, шоколада,...
Страница 16 - Чистка варочной панели; Включение и выключение
8. ВАРОЧНАЯ ПАНЕЛЬ - УХОД И ЧИСТКА ВНИМАНИЕ! См. главы, содержащие Сведения по технике безопасности. 8.1 Общая информация • Варочную поверхность необходимо мыть после каждого использования. • Следите за тем, чтобы дно посуды всегда было чистым. • Царапины или темные пятна на поверхности не влияют на...
Страница 17 - Предохранительный; термостат
2. Поворотом ручки термостата выберите нужную температуру. 3. Для выключения прибора переведите ручки выбора режимов и температуры духового шкафа в положение «Выкл». 9.2 Предохранительный термостат Неправильная эксплуатация или неисправность какого-либо компонента может привести к опасному перегреву...
Страница 18 - PlusSteam
Символ Режимы нагре‐ ва Применение Влажный горя‐ чий воздух Данная функция специально разработана для обеспечения экономии электроэнергии. Инструкции по приготовлению приведены в Разделе Влажный горячий воздух Главы «Указания и рекомендации». Дверца духово‐ го шкафа не должна открываться, так как эт...
Страница 19 - Таблица функций часов
ПРЕДУПРЕЖДЕНИЕ Не наполняйте выемку камеры духового шкафа водой во время приготовления или когда прибор горячий. 7. Для выключения прибора нажмите на кнопку «Плюс Пар» и переведите ручки выбора режимов и температуры духового шкафа в положение «Выкл». Индикатор кнопки «Плюс Пар» погаснет. 8. Удалите ...
Страница 20 - «ДЛИТЕЛЬНОСТЬ»; Установка функции; «ОКОНЧАНИЕ»; Установка функции; «ОТСРОЧКА ПУСКА»; Установка ТАЙМЕРА
Функция часов Применение ТАЙМЕР Установка таймера обратного отсчета. Эта функция не влияет на работу прибора. Таймер можно вклю‐ чить в любое время, даже если прибор выключен. 10.4 Установка функции «ДЛИТЕЛЬНОСТЬ» 1. Выберите режим нагрева и задайте температуру духового шкафа. 2. Нажимайте на кнопку...
Страница 21 - ДОПОЛНИТЕЛЬНЫХ ПРИНАДЛЕЖНОСТЕЙ; Установка аксессуаров; ДУХОВОЙ ШКАФ – УКАЗАНИЯ И
4. Переведите переключатель режимов духового шкафа и ручку термостата в положение «Выкл». 10.8 Отмена функций часов. 1. Нажимайте на кнопку до тех пор, пока не замигает символ требуемой функции. 2. Нажмите и удерживайте в нажатом положении. Через несколько секунд соответствующая функция будет отключ...
Страница 22 - Общая информация; выпечных блюд; Приготовление мяса и; рыбы; Время приготовления
12.1 Общая информация • В приборе предусмотрено четыре уровня положения противней. Положения противней отсчитываются от дна прибора. • Прибор оснащен специальной системой для циркуляции воздуха и постоянной переработки пара. Эта система позволяет готовить под воздействием пара и получать хорошо прож...
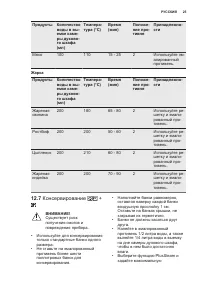
Страница 25 - Консервирование
Продукты Количество воды в вы‐ емке каме‐ ры духово‐ го шкафа (мл) Темпера‐ тура (°C) Время (мин) Положе‐ ние про‐ тивня Принадлежно‐ сти Мясо 100 110 15 - 25 2 Используйте эм‐ алированный противень. Жарка Продукты Количество воды в вы‐ емке каме‐ ры духово‐ го шкафа (мл) Темпера‐ тура (°C) Время (м...
Страница 27 - Щадящий режим конвекции
12.8 Щадящий режим конвекции Высушивание Продукты Температура (°C) Время (час) Положение противня1 положение 2 положения Овощи Фасоль 60 - 70 7 - 9 2 1 / 3 Рубленый пе‐ рец 60 - 70 10 - 12 2 1 / 3 Овощи для су‐ па 60 - 70 9 - 11 2 1 / 3 Нарезанные грибы 50 - 60 13 - 15 2 1 / 3 Зелень 40 - 50 3 - 5 2...
Страница 29 - Быстрое грилирование
Продукты Температура (°C) Время (мин) Положение противня Свиные жареные отбивные котлеты 190 - 210 30 - 35 3 Рыба, целиком 200 - 220 40 - 70 2 12.10 Быстрое грилирование Продукты Температура (°C) Время (мин) Положение противня Половинка цыпленка 230 50 - 60 2 Свиные жареные отбивные котлеты 230 40 -...
Страница 30 - Влажный горячий воздух
Продукты Температура (°C) Время (мин) Положение противня Рождественский пирог 150 - 160 40 - 50 2 Песочное пирожное 170 - 190 50 - 60 2 Безе 110 - 120 30 - 40 2 Картофельная Запе‐ канка 180 - 200 40 - 50 2 Лазанья 170 - 190 30 - 50 2 Запеченные макароны 170 - 190 50 - 60 2 Пицца 190 - 200 25 - 35 2 ...
Страница 32 - Информация для тестирующих организаций
Продукты Темпе‐ ратура (°C) Время (мин) Поло‐ жение про‐ тивня Принадлежности Тарталетки 170 20 - 30 2 эмалированный противень или глубокий эмалированный противень для гриля ВегетарианскоеСмесь овощей в пакетах 400 г 200 20 - 30 2 эмалированный противень или глубокий эмалированный противень для грил...
Страница 34 - относительно очистки; Модели из нержавеющей; стали или алюминия
13. ДУХОВОЙ ШКАФ - УХОД И ЧИСТКА ВНИМАНИЕ! См. главы, содержащие Сведения по технике безопасности. 13.1 Примечание относительно очистки • Переднюю часть духового шкафа протирайте мягкой тканью, смоченной в теплой воде с моющим средством. • Для очистки металлических поверхностей используйте специальн...
Страница 35 - Снятие и установка; стеклянных панелей духового
13.4 Снятие и установка стеклянных панелей духового шкафа Внутренние стеклянные панели извлекаются для чистки. Количество стеклянных панелей зависит от конкретной модели. ВНИМАНИЕ! Во время процедуры очистки дверца духового шкафа должна быть приоткрыта. Случайное закрывание полностью открытой дверцы...
Страница 36 - Извлечение ящика; Задняя лампа; ПОИСК И УСТРАНЕНИЕ НЕИСПРАВНОСТЕЙ
13.5 Извлечение ящика ВНИМАНИЕ! Не храните в ящике воспламеняющиеся материалы (например, чистящие средства, полиэтиленовые пакеты, кухонные рукавицы, бумагу или чистящие аэрозоли). При работе духового шкафа ящик сильно нагревается. Существует риск возгорания Ящик под духовым шкафом извлекается для у...
Страница 38 - обращения в сервис-центр
Неисправность Возможная причина Решение Духовой шкаф не вклю‐ чается или не работает. При этом на дисплее от‐ ображается код «400» и выдается звуковой сиг‐ нал. Духовой шкаф не под‐ ключен к сети электропи‐ тания надлежащим об‐ разом. Проверьте правильность подключения духового шкафа и наличие напря...
Страница 39 - ЭНЕРГЕТИЧЕСКАЯ ЭФФЕКТИВНОСТЬ; Варочная панель –; Экономия электроэнергии
Рекомендуем записать их здесь:Модель (MOD.) ......................................... Код изделия (PNC) ......................................... Серийный номер (S.N.) ......................................... 15. ЭНЕРГЕТИЧЕСКАЯ ЭФФЕКТИВНОСТЬ 15.1 Варочная панель – Экономия электроэнергии Используя ...
Страница 40 - ОХРАНА ОКРУЖАЮЩЕЙ СРЕДЫ
16. ОХРАНА ОКРУЖАЮЩЕЙ СРЕДЫ Материалы с символом следует сдавать на переработку. Положите упаковку в соответствующие контейнеры для сбора вторичного сырья. Принимая участие в переработке старого электробытового оборудования, Вы помогаете защитить окружающую среду и здоровье человека. Не выбрасывайте...